Skip to content

Học tập lớp 12

  • Trắc nghiệm Holland
  • Tính điểm xét tuyển
  • Danh sách trường Đại học
  • Kết quả bài thi

Học tập lớp 12

  • Home » 
  • Toán lớp 9

Giải SGK Toán 9 (Kết nối tri thức): Giải phương trình, hệ phương trình và vẽ đồ thị hàm số với phần mềm GeoGebra

By Admin Lop12.com 20/02/2026 0

Giải bài tập Toán 9 Giải phương trình, hệ phương trình và vẽ đồ thị hàm số với phần mềm GeoGebra

Thực hành 1 trang 114 Toán 9 Tập 2: Giải các phương trình sau:

a) x2 – 4x + 10 = 0;

b) x+9x−1=7 ;

c) x2−23−1x−23=0;

d) x+1x−1+x−1x+1=4x2−1..

Lời giải:

Bước 1. Khởi động phần mềm Geogebrra Thực hành 1 trang 114 Toán 9 Tập 2 | Kết nối tri thức Giải Toán 9, chọn Complex Adaptive System (CAS).

Bước 2. Ta dùng lệnh Solve (<phương trình>) hoặc Solitions (<phương trình>) trên ô lệnh của cửa sổ CAS để giải phương trình.

a) x2 – 4x + 10 = 0

Ta nhập Solve (x^2 – 4x + 10 = 0), ta thu được kết quả như hình vẽ.

Thực hành 1 trang 114 Toán 9 Tập 2 | Kết nối tri thức Giải Toán 9

Vậy phương trình đã cho vô nghiệm.

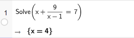
b) x+9x−1=7

Ta nhập Solve (x + 9/(x – 1) = 7), ta thu được kết quả như hình vẽ.

Thực hành 1 trang 114 Toán 9 Tập 2 | Kết nối tri thức Giải Toán 9

Vậy phương trình đã cho có nghiệm x = 4.

c) x2−23−1x−23=0

Ta nhập Solve (x^2 – 2(sqrt(3) – 1) – 2sqrt(3) = 0), ta thu được kết quả như hình vẽ.

Thực hành 1 trang 114 Toán 9 Tập 2 | Kết nối tri thức Giải Toán 9

Vậy phương trình đã cho có hai nghiệm x = 3 – 3 và x = 3 + 1.

d) x+1x−1+x−1x+1=4x2−1.

Ta nhập Solve ((x + 1)/(x – 1) + (x – 1)/(x + 1)  = 4/(x^2 – 1)), ta thu được kết quả như hình vẽ.

Thực hành 1 trang 114 Toán 9 Tập 2 | Kết nối tri thức Giải Toán 9

Vậy phương trình đã cho vô nghiệm.

Thực hành 2 trang 114 Toán 9 Tập 2: Giải các hệ phương trình sau:

a) 3x−2y=42x+y=5;

b) x+y=53x+33y=6;

c) 3x+2y=02x−3y=0;

d) x5−1+3y=11−3x+y5=1.

Lời giải:

Bước 1. Khởi động phần mềm Geogebrra Thực hành 2 trang 114 Toán 9 Tập 2 | Kết nối tri thức Giải Toán 9, chọn Complex Adaptive System (CAS).

Bước 2.

Cách 1: Ta dùng lệnh Solve ({<phương trình thứ nhất>, <phương trình thứ hai>}), {<biến số thứ nhất>, <biến số thứ hai>}), hoặc Solitions ({<phương trình thứ nhất>, <phương trình thứ hai>}), {<biến số thứ nhất>, <biến số thứ hai>}) trên ô lệnh của cửa sổ CAS để giải hệ phương trình.

Cách 2: Sử dụng câu lệnh Intersect ({<phương trình thứ nhất>, (<phương trình thứ hai>}) trên ô lệnh của cửa sổ CAS để tìm tọa độ giao điểm của hai đường thẳng có phương trình tương ứng.

a) 3x−2y=42x+y=5

Ta nhập Solve ({3x – 2y = 4, 2x + y = 5}, {x, y}), ta thu được kết quả như hình vẽ.

Thực hành 2 trang 114 Toán 9 Tập 2 | Kết nối tri thức Giải Toán 9

Vậy hệ phương trình đã cho có nghiệm là x = 2; y = 1.

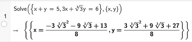
b) x+y=53x+33y=6

Ta nhập Solve ({x + y = 5, 3x + cbrt(3)y = 6}, {x, y}), ta thu được kết quả như hình vẽ.

Thực hành 2 trang 114 Toán 9 Tập 2 | Kết nối tri thức Giải Toán 9

Vậy hệ phương trình đã cho có nghiệm là x=−3332−933+138 ; y=3332+933+278.

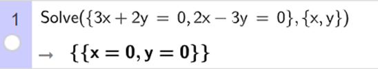
c) 3x+2y=02x−3y=0

Ta nhập Solve ({3x + 2y = 0, 2x – 3y = 0}, {x, y}), ta thu được kết quả như hình vẽ.

Thực hành 2 trang 114 Toán 9 Tập 2 | Kết nối tri thức Giải Toán 9

Vậy hệ phương trình đã cho có nghiệm là x = 0; y = 0.

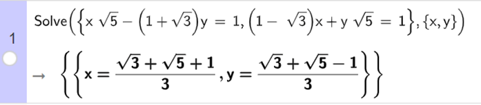
c) x5−1+3y=11−3x+y5=1

Ta nhập Solve ({x sqrt(5) – (1 + sqrt(3))y = 1, (1 – sqrt(3))x – y sqrt(5) = 1}, {x, y}), ta thu được kết quả như hình vẽ.

Thực hành 2 trang 114 Toán 9 Tập 2 | Kết nối tri thức Giải Toán 9

Vậy hệ phương trình đã cho có nghiệm là x=3+5+13 ; y=3+5−13.

Thực hành 3 trang 114 Toán 9 Tập 2: Cho đường thẳng (d): y = 2x + 3 và parabol (P): y = x2.

a) Vẽ đường thẳng (d) và parabol (P) trên cùng một mặt phẳng tọa độ.

b) Tìm tọa độ giao điểm của (d) và (P).

Lời giải:

Khởi động GeoGebra và đồng thời chọn hai chế độ Graphic 2 và CAS để vẽ đồ thị của đường thẳng (d): y = 2x + 3 và parabol (P): y = x2.

a) Nhập công thức hàm số y = x2 và y = 2x + 3 vào từng ô lệnh trong cửa sổ CAS.

Nháy chuột chọn nút Thực hành 3 trang 114 Toán 9 Tập 2 | Kết nối tri thức Giải Toán 9 ở đầu mỗi ô lệnh để vẽ đồ thị hàm số trong cửa sổ Graphic 2.

Thực hành 3 trang 114 Toán 9 Tập 2 | Kết nối tri thức Giải Toán 9

Ta vẽ đường thẳng (d) và parabol (P) trên cùng một mặt phẳng tọa độ như sau:

Thực hành 3 trang 114 Toán 9 Tập 2 | Kết nối tri thức Giải Toán 9

b) Sử dụng câu lệnh Intersect ({<phương trình thứ nhất>, (<phương trình thứ hai>}) trên ô lệnh của cửa sổ CAS để tìm tọa độ giao điểm của hai đường thẳng có phương trình tương ứng.

Ta nhập Intersect ({y = x2, y = 2x + 3), ta thu được kết quả như hình vẽ.

Thực hành 3 trang 114 Toán 9 Tập 2 | Kết nối tri thức Giải Toán 9

Vậy hai hàm số đã cho giao nhau tại hai điểm là 3+1+1 ; 3+23+1+2, −3+1+1 ; 3−23+1+2.

Xem thêm các bài giải bài tập Toán lớp 9 Kết nối tri thức hay, chi tiết khác:

Bài tập cuối chương X

Giải phương trình, hệ phương trình và vẽ đồ thị hàm số với phần mềm GeoGebra

Vẽ hình đơn giản với phần mềm GeoGebra

Xác định tần số, tần số tương đối, vẽ các biểu đồ biểu diễn bảng tần số, tần số tương đối bằng Excel

Gene trội trong các thế hệ lai

BÀI TẬP ÔN TẬP CUỐI NĂM

Tags : Tags Giải sgk Toán 9
Share
facebookShare on Facebook

Bài liên quan

Giải SGK Toán 9 Bài 7 (Kết nối tri thức): Căn bậc hai và căn thức bậc hai

Giải SGK Toán 9 Bài 17 (Kết nối tri thức): Vị trí tương đối của hai đường tròn

Giải SGK Toán 9 (Kết nối tri thức): Bài tập cuối chương 7

Giải SGK Toán 9 (Kết nối tri thức): Vẽ hình đơn giản với phần mềm GeoGebra

Sách bài tập Toán 9 (Kết nối tri thức): Bài tập cuối chương 4

20 Bài tập Tính chất của phép khai phương lớp 9 (sách mới) có đáp án

Giải SGK Toán 9 Bài 8 (Kết nối tri thức): Khai căn bậc hai với phép nhân và phép chia

Giải SGK Toán 9 (Kết nối tri thức): Luyện tập chung trang 108

0 Góp ý
Phản hồi nội tuyến
Xem tất cả bình luận

Mục lục

  1. Giải SGK Toán 9 Bài 1 (Kết nối tri thức): Khái niệm phương trình và hệ hai phương trình bậc nhất hai ẩn
  2. Giải SGK Toán 9 Bài 2 (Kết nối tri thức): Giải hệ hai phương trình bậc nhất hai ẩn
  3. Giải SGK Toán 9 (Kết nối tri thức): Luyện tập chung trang 19
  4. Giải SGK Toán 9 Bài 3 (Kết nối tri thức): Giải bài toán bằng cách lập hệ phương trình
  5. Giải SGK Toán 9 (Kết nối tri thức): Bài tập cuối chương 1 trang 24
  6. Giải SGK Toán 9 Bài 4 (Kết nối tri thức): Phương trình quy về phương trình bậc nhất một ẩn
  7. Giải SGK Toán 9 Bài 5 (Kết nối tri thức): Bất đẳng thức và tính chất
  8. Giải SGK Toán 9 (Kết nối tri thức): Luyện tập chung trang 36
  9. Giải SGK Toán 9 Bài 6 (Kết nối tri thức): Bất phương trình bậc nhất một ẩn
  10. Giải SGK Toán 9 (Kết nối tri thức): Bài tập cuối chương 2 trang 42
  11. Giải SGK Toán 9 Bài 7 (Kết nối tri thức): Căn bậc hai và căn thức bậc hai
  12. Giải SGK Toán 9 Bài 8 (Kết nối tri thức): Khai căn bậc hai với phép nhân và phép chia
  13. Giải SGK Toán 9 (Kết nối tri thức): Luyện tập chung trang 52
  14. Giải SGK Toán 9 Bài 9 (Kết nối tri thức): Biến đổi đơn giản và rút gọn biểu thức chứa căn thức bậc hai
  15. Giải SGK Toán 9 Bài 10 (Kết nối tri thức): Căn bậc ba và căn thức bậc ba
  16. Giải SGK Toán 9 (Kết nối tri thức): Luyện tập chung trang 63
  17. Giải SGK Toán 9 (Kết nối tri thức): Bài tập cuối chương 3 trang 65
  18. Giải SGK Toán 9 Bài 11 (Kết nối tri thức): Tỉ số lượng giác của góc nhọn
  19. Giải SGK Toán 9 Bài 12 (Kết nối tri thức): Một số hệ thức giữa cạnh, góc trong tam giác vuông và ứng dụng
  20. Giải SGK Toán 9 (Kết nối tri thức): Luyện tập chung trang 80

Copyright © 2026 Học tập lớp 12 - Sách Toán - Học Tập AI
  • Sitemap
  • Chính sách
  • Giới thiệu
  • Hướng dẫn
  • Kết quả
  • Liên hệ
Back to Top
Menu
  • Sitemap
  • Chính sách
  • Giới thiệu
  • Hướng dẫn
  • Kết quả
  • Liên hệ
wpDiscuz