Giải bài tập Toán lớp 7 Bài 6: Số vô tỉ. Căn bậc hai số học
Video bài giảng Số vô tỉ. Căn bậc hai số học – Kết nối tri thức
1. Số vô tỉ
Giải Toán 7 trang 29 Tập 1
HĐ 1 trang 29 Toán lớp 7: Cắt một hình vuông cạnh bằng 2 dm, rồi cắt nó thành bốn tam giác vuông bằng nhau dọc theo hai đường chéo của hình vuông (H.2.2.a)

Phương pháp giải:
Cắt theo mô tả của đề bài
Lời giải:
Bước 1: Cắt một hình vuông cạnh bằng 2 dm
Bước 2: Cắt hình vuông thành bốn tam giác vuông bằng nhau dọc theo hai đường chéo của hình vuông.
HĐ 2 trang 29 Toán lớp 7: Lấy hai trong bốn tam giác nhận được ở trên ghép thành một hình vuông (H.2.2.b). Em hãy tính diện tích hình vuông nhận được.

Phương pháp giải:
Ghép 2 tam giác như hình.
Diện tích hình vuông = Diện tích hình vuông ban đầu (cạnh 2 dm) : 2
Lời giải:
Lấy hai trong bốn tam giác nhận được ở trên ghép thành một hình vuông.
Vì 2 tam giác vuông chiếm một nửa hình vuông ban đầu nên
Diện tích hình vuông thu được là:
2.2:2= 2 (dm2)
HĐ 3 trang 29 Toán 7: Dùng thước có vạch chia để đo độ dài cạnh hình vuông nhận được trong HĐ2. Độ dài cạnh hình vuông này bằng bao nhiêu đềximét ?
Phương pháp giải:
Bước 1: Dùng thước đo cạnh hình vuông nhận được trong HĐ2, ta được số liệu có đơn vị cm.
Bước 2: Đổi đơn vị cm sang dm.
Lời giải:
Dùng thước đo ta được cạnh hình vuông dài khoảng 14 cm.
Ta có: 14 cm = 1,4 dm
Giải Toán 7 trang 30 Tập 1
Vận dụng trang 30 Toán lớp 7: Người xưa đã tính đường kính thân cây theo quy tắc “quân bát, phát tam, tổn ngũ, quân nhị”, tức là lấy chu vi thân cây chia làm 8 phần bằng nhau (quân bát); bớt đi ba phần (phát tam) còn lại 5 phần (tổn ngũ) rồi chia đôi kết quả (quân nhị). Hãy cho biết người xưa đã ước lượng số bằng bao nhiêu?
Phương pháp giải:
Từ công thức tính chu vi đường tròn: C = . d
Thực hiện theo quy tắc “quân bát, phát tam, tổn ngũ, quân nhị”
Lời giải:
Theo quy tắc “quân bát, phát tam, tổn ngũ, quân nhị”, có:
Theo công thức, có:
Như vậy, người xưa đã ước lượng số bằng .
2. Căn bậc hai số học
Luyện tập 1 trang 30 Toán lớp 7: Tính:
Phương pháp giải:
thì ta có:
Lời giải:
a) Vì nên
b) Vì nên
c) Vì 2021 > 0 nên
Vận dụng 1 trang 30 Toán lớp 7: Sàn thi đấu bộ môn cử tạ có dạng một hình vuông, diện tích 144m2. Em hãy tính chu vi của sàn thi đấu đó
Phương pháp giải:
Tìm cạnh a của hình vuông có diện tích S:
Tính chu vi hình vuông cạnh a là: C = 4.a
Lời giải:
Cạnh của sàn thi đấu là: (m)
Chu vi của sàn thi đấu là: 4. 12 = 48 (m)
3. Tính căn bậc hai số học bằng máy tính cầm tay
Giải Toán 7 trang 31 Tập 1
Luyện tập 2 trang 31 Toán lớp 7: Sử dụng máy tính cầm tay tính các căn bậc hai số học sau (làm tròn kết quả với độ chính xác 0,005, nếu cần).
Phương pháp giải:
+ Bước 1: Bấm máy tính, tính các căn bậc hai.
+ Bước 2: Xác định hàng làm tròn.

+ Bước 3: Làm tròn theo quy tắc làm tròn số thập phân.
– Đối với chữ số hàng làm tròn:
+ Giữ nguyên nếu chữ số ngay bên phải nhỏ hơn 5;
+Tăng 1 đơn vị nếu chữ số ngay bên phải lớn hơn hoặc bằng 5
– Đối với chữ số sau hàng làm tròn:
+ Bỏ đi nếu ở phần thập phân;
+ Thay bằng các chữ số 0 nếu ở phần số nguyên
Lời giải:
Độ chính xác 0,005 tức là ta cần làm tròn đến hàng phần trăm
Vận dụng 2 trang 31 Toán lớp 7: Kim tự tháp Kheops là công trình kiến trúc nổi tiếng thế giới. Để xây dựng được công trình này, người ta phải sử dụng tới hơn 2,5 triệu mét khối đá, với diện tích đáy lên tới 52 198,16 m2 (Theo khoahoc.tv).Biết rằng đáy của kim tự tháp Kheops có dạng một hình vuông. Tính độ dài cạnh đáy của kim tự tháp này (làm tròn kết quả đến chữ số thập phân thứ nhất).

Phương pháp giải:
Tính cạnh a của hình vuông có diện tích S:
Làm tròn theo quy tắc làm tròn số thập phân.
– Đối với chữ số hàng làm tròn:
+ Giữ nguyên nếu chữ số ngay bên phải nhỏ hơn 5;
+Tăng 1 đơn vị nếu chữ số ngay bên phải lớn hơn hoặc bằng 5
– Đối với chữ số sau hàng làm tròn:
+ Bỏ đi nếu ở phần thập phân;
+ Thay bằng các chữ số 0 nếu ở phần số nguyên
Lời giải:
Độ dài cạnh đáy của kim tự tháp này là: (m)
Làm tròn đến chữ số thập phân thứ nhất, ta được: 228,5 m.
Giải Toán 7 trang 32 Tập 1
Bài tập
Bài 2.6 trang 32 Toán lớp 7: Cho biết . Hãy tính
Phương pháp giải:
thì (x > 0)
Lời giải:
= 153.
Bài 2.7 trang 32 Toán lớp 7: Từ các số là bình phương của 12 số tự nhiên đầu tiên, em hãy tìm căn bậc hai số học của các số sau:
a) 9; b) 16;
c) 81; d) 121
Phương pháp giải:
thì (x > 0)
Lời giải:
a) Vì nên
b) Vì nên
c) Vì nên
d) Vì nên
Bài 2.8 trang 32 Toán lớp 7: Khi tìm căn bậc hai số học của một số tự nhiên ta thường phân tích số đó ra thừa số nguyên tố. Chẳng hạn:
Vì nên
Tính căn bậc hai số học của 129 600.
Phương pháp giải:
Phân tích 129 600 ra thừa số nguyên tố, rồi đưa về dạng
Lời giải:
Ta có: nên
Bài 2.9 trang 32 Toán lớp 7: Tính độ dài các cạnh của hình vuông có diện tích bằng
a) 81 dm2; b) 3 600 m2; c) 1 ha
Phương pháp giải:
Tìm căn bậc hai số học của một số.
Chú ý đơn vị.
Lời giải:
a) Độ dài các cạnh của hình vuông là: (dm)
b) Độ dài các cạnh của hình vuông là: (m)
c) Đổi 1 ha = 10 000 m2
Độ dài các cạnh của hình vuông là: (m)
Chú ý: Câu c cần đổi đơn vị trước khi tìm căn bậc hai số học.
Bài 2.10 trang 32 Toán lớp 7: Sử dụng máy tính cầm tay tìm căn bậc hai số học của các số sau rồi làm tròn các kết quả với độ chính xác 0,005.
a) 3; b) 41; c) 2 021
Phương pháp giải:
* Bấm máy tính tìm căn bậc hai số học.
* Làm tròn theo quy tắc làm tròn số thập phân.
– Đối với chữ số hàng làm tròn:
+ Giữ nguyên nếu chữ số ngay bên phải nhỏ hơn 5;
+Tăng 1 đơn vị nếu chữ số ngay bên phải lớn hơn hoặc bằng 5
– Đối với chữ số sau hàng làm tròn:
+ Bỏ đi nếu ở phần thập phân;
+ Thay bằng các chữ số 0 nếu ở phần số nguyên
Lời giải:
Làm tròn các kết quả với độ chính xác 0,005 tức là làm tròn đến hàng phần trăm.
Bài 2.11 trang 32 Toán lớp 7: Biết rằng bình phương độ dài đường chéo của một hình chữ nhật bằng tổng các bình phương độ dài hai cạnh của nó. Một hình chữ nhật có chiều dài là 8 dm và chiều rộng là 5 dm. Độ dài đường chéo của hình chữ nhật đó bằng bao nhiêu đềximét (làm tròn kết quả đến hàng phần mười)?

Phương pháp giải:
Bước 1: Tính tổng các bình phương độ dài hai cạnh của hình chữ nhật.
Bước 2: Tìm căn bậc hai số học của tổng vừa tìm được bằng máy tính cầm tay
Bước 3: Làm tròn kết quả đến hàng phần mười.
Lời giải:
Ta có: Bình phương độ dài đường chéo của một hình chữ nhật là:
Độ dài đường chéo của một hình chữ nhật là: (dm)
Làm tròn kết quả này ta được: 9,4 dm
Chú ý: Độ dài đường chéo của một hình chữ nhật bằng căn bậc hai số học của tổng các bình phương độ dài hai cạnh của nó
Bài 2.12 trang 32 Toán lớp 7: Để lát một mảnh sân hình vuông có diện tích 100 m2, người ta cần dùng bao nhiêu viên gạch hình vuông có cạnh dài 50 cm (coi các mạch ghép là không đáng kể)?
Phương pháp giải:
Bước 1: Tìm diện tích 1 viên gạch
Bước 2: Đổi các số liệu về cùng đơn vị
Bước 3: Tìm số viên gạch
Lời giải:
Diện tích 1 viên gạch là: 502 = 2500 (cm2) = 0,25 m2.
Số viên gạch cần là: 100 : 0,25 = 400 (viên)
Lý thuyết Số vô tỉ. Căn bậc hai số học
1. Số vô tỉ
• Số thập phân không phải số thập phân hữu hạn cũng không phải số thập phân vô hạn tuần hoàn được gọi là số thập phân vô hạn không tuần hoàn.
• Số vô tỉ là số viết được dưới dạng số thập phân vô hạn không tuần hoàn.
Tập hợp các số vô tỉ kí hiệu là .
Ví dụ:
+ Tỉ số giữa chu vi và đường kính của một đường tròn luôn là số π (đọc là pi) và bằng 3,14159265358… đây là số vô tỉ.
Chú ý:
• Ta làm tròn số thập phân vô hạn như làm tròn số thập phân hữu hạn.
Ví dụ: Chẳng hạn ta làm tròn số 0,215679012… đến chữ số thập phân thứ ba.
Ta thấy chữ số thập phân thứ 4 là 6 > 5 nên làm tròn số 0,215679012… đến chữ số thập phân thứ ba ta được kết quả là 0,216.
2. Căn bậc hai số học
• Căn bậc hai số học của một số a không âm, kí hiệu là , là số x không âm sao cho x2 = a.
• Theo định nghĩa căn bậc hai số học ta có: với a ≥ 0.
Ví dụ:
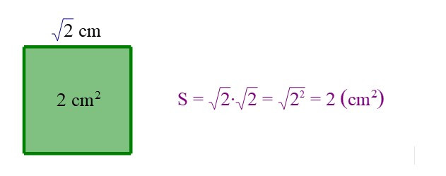
+ Hình vuông có diện tích là 2 cm2 thì độ dài cạnh hình vuông gọi là căn bậc hai số học của 2 và bằng cm.

+ Tính: a) ; b)
Hướng dẫn giải
a) Vì 82 = 64 và 8 > 0 nên = 8;
b) Vì 159 > 0 nên = 159.
3. Tính căn bậc hai số học bằng máy tính cầm tay
• Căn bậc hai số học của một số tự nhiên không chính phương luôn là một số vô tỉ.
• Cách tính căn bậc hai số học của một số a không âm bằng máy tính cầm tay
Phép tính:
Ấn các phím theo thứ tự: (a là một số không âm bất kì trên bàn phím máy tính)

Ví dụ:
+ Muốn tính căn bậc hai số học của 2, ta có phép tính là và ấn máy tính như sau:

Ta được kết quả hiển thị trên màn hình là: 1,414213562
Đây là kết quả đã được làm tròn đến số thập phân số 9
Nên ta có: ≈ 1,414213562.
Chú ý:
• Màn hình máy tính cầm tay chỉ hiển thị được một số hữu hạn chữ số nên các kết quả là số thập phân vô hạn (tuần hoàn hay không tuần hoàn) đều được làm tròn.
Xem thêm các bài giải SGK Toán lớp 7 Kết nối tri thức hay, chi tiết khác:
Bài 5: Làm quen với số thập phân vô hạn tuần hoàn
Bài 7: Tập hợp các số thực
Luyện tập chung trang 37
Bài tập cuối chương 2