Giải bài tập Toán lớp 7 Luyện tập chung trang 14
Video bài giảng Luyện tập chung trang 14 – Kết nối tri thức
Giải Toán 7 trang 14 Tập 1
Bài 1.12 trang 14 Toán lớp 7: So sánh:
a) và 17,75
b) và -7,125.
Phương pháp giải:
+Viết các số thập phân dưới dạng phân số
+So sánh phân số
Lời giải:
a) Ta có:
Vì 492 < 497 nên hay
b) Ta có:
Vì 520 > 513 nên -520 < -512. Do đó, hay < -7,125
Giải Toán 7 trang 15 Tập 1
Bài 1.13 trang 15 Toán lớp 7: Bảng sau cho biết các điểm đông đặc và điểm sôi của sáu nguyên tố được gọi là khí hiếm.

a) Khí hiếm nào có điểm đông đặc nhỏ hơn điểm đông đặc của Krypton?
b) Khí hiếm nào có điểm sôi lớn hơn điểm sôi của Argon?
c) Hãy sắp xếp các khí hiếm theo thứ tự điểm đông đặc tăng dần;
d) Hãy sắp xếp các khí hiếm theo thứ tự điểm sôi giảm dần.
Phương pháp giải:
So sánh các số hữu tỉ âm.
Nếu a < b thì –a > -b
Lời giải:
a) Điểm đông đặc của Krypton là: -156,6C
Vì -272,2 < -248,67 < -189,2 < -156,6 nên các khí hiếm có điểm đông đặc nhỏ hơn điểm đông đặc của Krypton là: Argon, Neon, Helium.
b) Điểm sôi của Argon là: -185,7 C
Vì -61,8 > -107,1 > -152,3 > -185,7 nên các khí hiếm nào có điểm sôi lớn hơn điểm sôi của Argon là:
Radon, Xenon, Krypton.
c) Vì -272,2 < -248,67 < -189,2 < -156,6 < -111,9 < -71,0.
Các khí hiếm theo thứ tự điểm đông đặc tăng dần là: Argon, Neon, Helium, Krypton, Xenon, Radon.
d) Vì -61,8 > -107,1 > -152,3 > -185,7 > -245,72 > -268,6.
Các khí hiếm theo thứ tự điểm sôi giảm dần là: Radon, Xenon, Krypton, Argon, Neon, Helium.
Bài 1.14 trang 15 Toán lớp 7: Theo đài khí tượng thủy văn tỉnh Lào Cai, ngày 10-01-2021, nhiệt độ thấp nhất tại thị xã Sa Pa là -0,7C; nhiệt độ tại thành phố Lào Cai khoảng 9,6C. Hỏi nhiệt độ tại thành phố Lào Cai cao hơn nhiệt độ tại thị xã Sa Pa bao nhiêu độ C?
Phương pháp giải:
Thực hiện các phép trừ các số liệu nhiệt độ
Lời giải:
Nhiệt độ tại thành phố Lào Cai cao hơn nhiệt độ tại thị xã Sa Pa là:
9,6 – (-0,7) = 10,3C
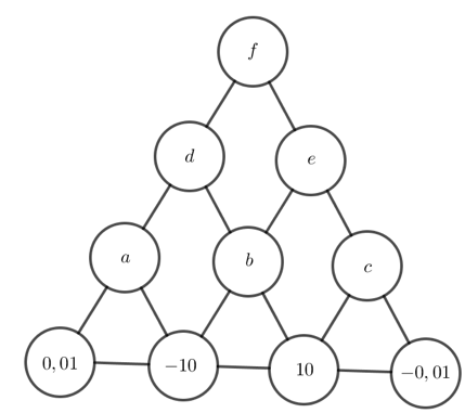
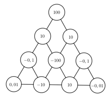
Bài 1.15 trang 15 Toán lớp 7: Thay mỗi dấu “?” bằng số thích hợp để hoàn thiện sơ đồ Hình 1.11, biết số trong mỗi ô ở hàng trên bằng tích của hai số trong hai ô kề nó ở hàng dưới.

Phương pháp giải:
Tìm các ô từ dưới lên trên
Lời giải:
Đặt các ô lần lượt là a, b, c, d, e, f như hình sau:

Áp dụng quy tắc của đề bài, ta tính được: a = 0,01.(–10) = –0,1;
b = (–10).10 = –100;
c = 10.( –0,01) = –0,1;
d = a.b = (–0,1).( –100) = 10;
e = b.c = (–100).( –0,1) = 10;
f = d.e = 10.10 = 100.
Khi đó ta có bảng sau:

Bài 1.16 trang 15 Toán lớp 7: Tính giá trị của các biểu thức sau:
Phương pháp giải:
a) Tính các biểu thức trong ngoặc trước, rồi thực hiện phép chia số hữu tỉ.
Muốn cộng (hoặc trừ) hai phân số khác mẫu số, ta quy đồng mẫu số hai phân số, rồi cộng (hoặc trừ) hai phân số đó.
b) Tính tử số, mẫu số của phân số rồi thực hiện phép trừ số hữu tỉ.
Lời giải:
Chú ý: Khi thực hiện phép cộng hai phân số, nếu phân số thu được chưa tối giản thì ta rút gọn thành phân số tối giản.
Bài 1.17 trang 15 Toán lớp 7: Tính một cách hợp lí:
Phương pháp giải:
Viết các số thập phân, hỗn số dưới dạng phân số
Áp dụng tính chất phân phối của phép nhân với phép cộng.
Lời giải:
Chú ý: Nếu phân số chưa tối giản, ta nên tối giản phân số trước để việc tính toán được thuận tiện hơn.
Xem thêm các bài giải SGK Toán lớp 7 Kết nối tri thức hay, chi tiết khác:
Bài 2: Cộng, trừ, nhân, chia số hữu tỉ
Bài 3: Lũy thừa với số mũ tự nhiên của một số hữu tỉ
Bài 4: Thứ tự thực hiện các phép tính. Quy tắc chuyển vế
Luyện tập chung trang 23