Giải bài tập Toán lớp 7 Luyện tập chung trang 37
Video bài giảng Luyện tập chung trang 37 – Kết nối tri thức
Giải Toán 7 trang 38 Tập 1
Bài 2.19 trang 38 Toán lớp 7: Cho bốn phân số: 
a) Phân số nào trong những phân số trên không viết được dưới dạng số thập phân hữu hạn?
b) Cho biết
, hãy so sánh phân số tìm được trong câu a) với 
Phương pháp giải:
a) Cách 1: Viết các phân số dưới dạng số thập phân rồi nhận biết số thập phân hữu hạn.
Cách 2: Sử dụng nhận xét ở phần Em có biết trang 28: Nếu một phân số tối giản có mẫu dương mà mẫu không có ước nguyên tố khác 2 và 5 thì phân số đó viết được dưới dạng số thập phân hữu hạn.
b) Viết phân số đó dưới dạng số thập phân rồi so sánh.
Lời giải:
a)
Cách 1:

Như vậy, trong những phân số trên, phân số không viết được dưới dạng số thập phân hữu hạn là: 
Cách 2: Vì các phân số trên đều tối giản và có mẫu dương
Ta có:
nên chỉ có 91 có ước nguyên tố khác 2,5 nên
không viết được dưới dạng số thập phân hữu hạn
b) Ta có:
= 1,(461538) = 1,461538461538…..
Quan sát chữ số thập phân thứ 2 của 2 số, vì 1 < 6 nên
< 1,461538461538…..
Vậy
> 
Bài 2.20 trang 38 Toán lớp 7: a) Viết các phân số sau dưới dạng số thập phân vô hạn tuần hoàn (dùng dấu ngoặc để chỉ rõ chu kì): 
Em có nhận xét gì về kết quả nhận được?
b) Em hãy dự đoán dạng thập phân của
?
Phương pháp giải:
Bước 1: Thực hiện phép chia.
Bước 2: Quan sát và viết kết quả thành dạng thập phân vô hạn tuần hoàn
Lời giải:
a)
– Viết dạng thập phân vô hạn tuần hoàn:
và 
– Nhận xét:
Dạng thập phân vô hạn tuần hoàn của phân số có dạng
như sau:
= 0,(0…001) ( n chữ số 9); ( n-1 chữ số 0)
b) Dự đoán kết quả của 
Theo nhận xét ở câu a ta có:
Bài 2.21 trang 38 Toán lớp 7: Viết
và
dưới dạng số thập phân vô hạn tuần hoàn.
Phương pháp giải:
Bước 1: Thực hiện phép chia 5:9 và 5:99 để thu được kết quả là số thập phân
Bước 2: Nhận ra chu kì của mỗi số thập phân
Lời giải:
Ta có: = 5.0,(1) = 0,(5);
= 5.0,(01) = 0,(05)
Bài 2.22 trang 38 Toán lớp 7: Nam vẽ một phần trục số trên vở ô li và đánh dấu ba điểm A, B,C như sau:

a) Hãy cho biết hai điểm A,B biểu diễn những số thập phân nào?
b) Làm tròn số thập phân được biểu diễn bởi điểm C với độ chính xác 0,05.
Phương pháp giải:
a) Đếm số vạch chia trên một đơn vị
Tìm khoảng cách từ mỗi điểm đến điểm mốc 13,14
b) Làm tròn số thập phân được biểu diễn bởi điểm C với độ chính xác 0,05 tức là làm tròn đến chữ số thập phân thứ nhất.
Lời giải:
Trong hình đã cho, đoạn thẳng đơn vị (từ 13 đến 14) được chia làm 2 đoạn bằng nhau, mỗi đoạn có độ dài bằng đoạn đơn vị cũ.
Chia đoạn có độ dài 0,5 thành 5 đoạn bằng nhau, mỗi đoạn có độ dài bằng
a) Điểm A nằm bên phải điểm 13 và cách điểm 13 một khoảng bằng 4 đoạn 0,1 nên điểm A biểu diễn số 13 + 4 . 0,1 = 13,4.
Điểm B nằm bên phải điểm 14 và cách điểm 14 một khoảng bằng 2 đoạn 0,1 nên điểm B biểu diễn số 14 + 2 . 0,1 = 14,2.
b) Giả sử điểm D là điểm nằm bên phải điểm 14 và cách điểm 14 một khoảng bằng 6 đoạn 0,1 (như hình vẽ) nên điểm D biểu diễn số 14 + 6 . 0,1 = 14,6.

Quan sát hình ta thấy điểm C nằm sau điểm 14 (nằm bên phải điểm 14) và nằm trước điểm D (nằm bên trái điểm D) với khoảng cách rất nhỏ. Do vậy ta làm tròn số thập phân được biểu diễn bởi điểm C với độ chính xác 0,05 (làm tròn đến hàng phần mười) sẽ có kết quả xấp xỉ số thập phân biểu diễn bởi điểm D là 14,6.
Vậy số thập phân được biểu diễn bởi điểm C xấp xỉ bằng 14,6.
Bài 2.23 trang 38 Toán lớp 7: Thay dấu “?” bằng chữ số thích hợp.

Phương pháp giải:
So sánh các chữ số ở vị trí tương ứng của hai số thập phân
Chú ý: Để so sánh 2 số thập phân âm, ta so sánh 2 số thập phân đối của chúng.
Lời giải:
a)
=
111…
Do đó
khi
1111….
Ta có hai số thập phân có cùng phần nguyên bằng –7.
Mà 2 > 1 nên để
1111…. thì số cần điền vào dấu “?” là 0.
Khi đó ![]()
Vậy ? = 0.
b) Ta có hai số thập phân có cùng phần nguyên bằng –15.
Mà 3 = 3, 0 < 1 nên để
thì số cần điền vào dấu “?” là 9.
Do đó
.
Vậy ? = 9.
Bài 2.24 trang 38 Toán lớp 7: So sánh:
a) 12,26 và 12,(24); b) 31,3(5) và 29,9(8)
Phương pháp giải:
So sánh các chữ số ở vị trí tương ứng của hai số thập phân
Lời giải:
a) Ta có: 12,(24) = 12,242424….
Đi từ trái sang phải, chữ số thập phân thứ 2 của 2 số khác nhau. Vì 6 > 4 nên 12,26 >12,(24)
b)
Đi từ trái sang phải, chữ số ở hàng chục của 2 số khác nhau. 3 > 2 nên 31,3(5) > 29,9(8)
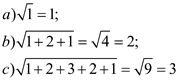
Bài 2.25 trang 38 Toán lớp 7: Tính:

Phương pháp giải:
Tính biểu thức dưới dấu căn rồi tìm căn bậc hai số học của số đó
Lời giải:

Chú ý:
Ta cần tính biểu thức dưới dấu căn rồi mới tính căn bậc hai số học.
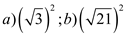
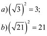
Bài 2.26 trang 38 Toán lớp 7: Tính:

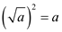
Phương pháp giải:

Lời giải:

Xem thêm các bài giải SGK Toán lớp 7 Kết nối tri thức hay, chi tiết khác:
Bài 7: Tập hợp các số thực
Bài tập cuối chương 2
Bài 8: Góc ở vị trí đặc biệt. Tia phân giác của một góc
Bài 9: Hai đường thẳng song song và dấu hiệu nhận biết