Trắc nghiệm Toán 7 Bài 3: Lũy thừa với số mũ tự nhiên của 1 số hữu tỉ
I. Nhận biết
Câu 1. Trong số những khẳng định sau, khẳng định nào sai?
A.
B.
C.
D. ( x ≠ 0; m ≥ n ).
Hướng dẫn giải
Đáp án: C
Giải thích: Theo quy ước: với x ≠ 0; nên khẳng định sai là C.
Câu 2. Trong số những khẳng định sau, khẳng định nào sai?
A. ;
B. ;
C. ;
D. ( x ≠ 0; m ≥ n ).
Hướng dẫn giải
Đáp án: C
Giải thích:
Theo định nghĩa: nên khẳng định sai là khẳng định C.
Câu 3. Tính giá trị biểu thức .
A. ;
B. ;
C. ;
D. .
Hướng dẫn giải
Đáp án: B
Giải thích:
Vậy đáp án đúng là B.
Câu 4. Tính giá trị biểu thức

Hướng dẫn giải
Đáp án: C
Giải thích:
Theo quy ước: và nên ta có
Vậy đáp án đúng là C.
Câu 5. Tính giá trị biểu thức

Hướng dẫn giải
Đáp án: B
Giải thích: Theo định nghĩa: nên ta có
Vậy đáp án đúng là B.
II. Thông hiểu
Câu 1. Tính giá trị biểu thức A =
A. 0;
B. – 1;
C. 1;
D. 2.
Hướng dẫn giải
Đáp án: A
Giải thích:
Sử dụng và ta có:
A =
Vậy đáp án đúng là A.
Câu 2. Tìm x sao cho .
A. 0;
B. -1;
C. 2;
D. 1.
Hướng dẫn giải
Đáp án: C
Giải thích:
Câu 3. Tính giá trị biểu thức
A. 3;
B. ;
C. ;
D. .
Hướng dẫn giải
Đáp án: A
Giải thích:
Ta có:
Vậy đáp án đúng là A.
Câu 4. Cho (x + 1)5 = – 32
A. x = 1;
B. x = 2;
C. x = – 3;
D. Không tồn tại x.
Hướng dẫn giải
Đáp án: D
Giải thích:
Xét phương trình (x + 1)5 = – 32
⇔ (x + 1)5 = ( – 2)5
⇔ x + 1 = – 2
⇔ x = – 2 – 1
⇔ x = – 3
Vậy x = – 3.
Câu 5. Cho biểu thức 2x + 3x – (7x)3. Giá trị của biểu thức khi x = 1.
A. – 338;
B. – 16 802;
C. – 2,5;
D. – 478.
Hướng dẫn giải
Đáp án: A
Giải thích:
Thay x = 1 vào biểu thức 2x + 3x – (7x)3 ta được: 21 + 3.1 – (71)3 = – 338.
Vậy giá trị biểu thức khi x = 1 là – 338.
Câu 6. Tìm số tự nhiên n thỏa mãn 6n + 6n+3 = 217
A. 1;
B. 2;
C. -1;
D. 0.
Hướng dẫn giải
Đáp án: D
Giải thích:
6n + 6n+3 = 217
⇔ 6n + 6n.63 = 217
⇔ 6n.(1 + 63) = 217
⟺
⟺ n = 0.
Vậy đáp án đúng là D.
Câu 7. Cho hai biểu thức A = 72 và B = 22 + 32 + 62. Nhận xét nào dưới đây là đúng:
A. A > B;
B. A < B;
C. A = 2B;
D. A = B.
Hướng dẫn giải
Đáp án: D
Giải thích:
Ta có: B = 22 + 32 + 62 = 4 + 9 + 36 = 49 = 72 = A.
Suy ra A = B.
Vậy đáp án đúng là D.
III. Vận dụng
Câu 1. Tính giá trị biểu thức A =

Hướng dẫn giải
Đáp án: A
Giải thích:

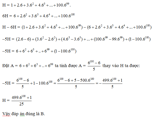
Câu 2. Tính giá trị biểu thức H =

Hướng dẫn giải
Đáp án: B
Giải thích:

Câu 3. Tính giá trị biểu thức M =
A. 0;
B. 1;
C. -1;
D. 2.
Hướng dẫn giải
Đáp án: D
Giải thích:

Xem thêm các bài trắc nghiệm Toán 7 Kết nối tri thức hay, chi tiết khác:
Trắc nghiệm Cộng, trừ, nhân, chia số hữu tỉ
Trắc nghiệm Lũy thừa với số mũ tự nhiên của 1 số hữu tỉ
Trắc nghiệm Thứ tự thực hiện các phép tính. Quy tắc chuyển vế
Trắc nghiệm Bài ôn tập cuối chương 1
Trắc nghiệm Làm quen với số thập phân vô hạn tuần hoàn