Skip to content

Học tập lớp 12

  • Trắc nghiệm Holland
  • Tính điểm xét tuyển
  • Danh sách trường Đại học
  • Kết quả bài thi

Học tập lớp 12

  • Home » 
  • Toán lớp 11

20 câu Trắc nghiệm Phương trình lượng giác cơ bản (Kết nối tri thức 2025) có đáp án – Toán lớp 11

By Admin Lop12.com 23/02/2026 0

Trắc nghiệm Toán 11 Bài 4: Phương trình lượng giác cơ bản

Câu 1. Phương trình sin2x = cosx có nghiệm là

12 Bài tập Phương trình lượng giác cơ bản (có đáp án) | Kết nối tri thức Trắc nghiệm Toán 11

Hướng dẫn giải

Đáp án đúng là: A

sin2x = cosx ⇔ sin2x = sinπ2−x⇔12 Bài tập Phương trình lượng giác cơ bản (có đáp án) | Kết nối tri thức Trắc nghiệm Toán 11

Câu 2. Giải phương trình 3tan2x – 3 = 0.

A. x=π3+kπ2k∈ℤ.   B. x=π3+kπk∈ℤ.

C. x=π6+kπ2k∈ℤ.   D. x=π6+kπk∈ℤ.

Hướng dẫn giải

Đáp án đúng là: C

3tan2x – 3 = 0 ⇔ tan2x = 3 ⇔ 2x = π3+kπ⇔x=π6+kπ2k∈ℤ.

Câu 3. Phương trình lượng giác 3cot – 3 = 0 có nghiệm là:

A. x=π6+kπk∈ℤ.   B. x=π3+kπk∈ℤ.

C. x=π3+k2πk∈ℤ.   D. Vô nghiệm.

Hướng dẫn giải

Đáp án đúng là: B

Ta có 3cotx – 3 = 0 ⇔cotx = 33 ⇔cotx = cotπ3⇔x=π3+kπ,k∈ℤ.

Câu 4. Tìm tất cả các giá trị thực của tham số m để phương trình cosx – m = 0 vô nghiệm.

A. m∈−∞;−1∪1;+∞.   B. m∈1;+∞.

C. m∈[-1;1].             D. m∈−∞;−1.

Hướng dẫn giải

Đáp án đúng là: A

Áp dụng điều kiện có nghiệm của phương trình cosx = a.

– Phương trình có nghiệm khi |a|≤1.

– Phương trình vô nghiệm khi |a|>1.

Phương trình cosx – m = 0 ⇔ cosx = m.

Do đó, phương trình cosx = m vô nghiệm ⇔ |m|>112 Bài tập Phương trình lượng giác cơ bản (có đáp án) | Kết nối tri thức Trắc nghiệm Toán 11

Câu 5. Tổng tất cả các nghiệm của phương trình cos(sinx) = 1 trên [0;2π] bằng:

A. 0.   B. π.   C. 2π.   D. 3π.

Hướng dẫn giải

Đáp án đúng là: B

Ta có x∈[0;2π] ⇒sinx∈[-1;1]

Khi đó: cos(sinx) = 1⇔sinx = k2π (k∈ℤ) với -1≤k2π≤1 ⇔ k = 0.

Phương trình trở thành sinx = 0 ⇔ x = mπ⇔12 Bài tập Phương trình lượng giác cơ bản (có đáp án) | Kết nối tri thức Trắc nghiệm Toán 11

Vậy tổng tất cả các nghiệm của phương trình cos(sinx) = 1 trên [0;2π] bằng π.

Câu 6. Nghiệm của phương trình sinx = -1là:

A. x = –π2+kπ (k∈ℤ).   B. x = –π2+k2π (k∈ℤ).

C. x = kπ (k∈ℤ)  . D. x = 3π2+kπ (k∈ℤ).

Hướng dẫn giải

Đáp án đúng là: B

sinx = -1 ⇔x = –π2+k2π, k∈ℤ.

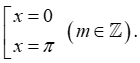
Câu 7. Nghiệm của phương trình cosx = 1là:

A. x = kπ (k∈ℤ).   B. x = π2+k2π (k∈ℤ).

C. x = k2π (k∈ℤ).   D. x = π2+kπ (k∈ℤ).

Hướng dẫn giải

Đáp án đúng là: C

cosx = 1 ⇔ x = k2π, k∈ℤ.

Câu 8. Tìm tất cả các giá trị thực của tham số m để phương trình sinx = m có nghiệm.

A. m≤1.   B. m≥-1.   C. -1≤m≤1.   D. m≤-1.

Hướng dẫn giải

Đáp án đúng là: C

Với mọi x∈ℝ, ta luôn có -1≤m≤1.

Do đó, phương trình sinx = m có nghiệm khi và chỉ khi -1≤m≤1.

Câu 9. Nghiệm của phương trình 3+3tanx = 0 là:

A. x=π3+kπk∈ℤ.   B. x=π2+k2πk∈ℤ.

C. x=−π6+kπk∈ℤ.   D. x=π2+kπk∈ℤ.

Hướng dẫn giải

Đáp án đúng là: C

3 + 3tanx = 0 ⇔ tanx = –33 ⇔ x = –π6+kπk∈ℤ.

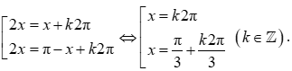
Câu 10. Tập nghiệm của phương trình sin2x = sinx là

12 Bài tập Phương trình lượng giác cơ bản (có đáp án) | Kết nối tri thức Trắc nghiệm Toán 11

Hướng dẫn giải

Đáp án đúng là: B

Ta có sin2x = sinx ⇔12 Bài tập Phương trình lượng giác cơ bản (có đáp án) | Kết nối tri thức Trắc nghiệm Toán 11

Câu 11. Số nghiệm của phương trình sinx+π4=22 trên đoạn [0;π] là:

A. 4.   B. 1.   C. 2.   D. 3.

Hướng dẫn giải

Đáp án đúng là: C

Đặt x+π4=α. Khi đó ta có phương trình sinα=22.

12 Bài tập Phương trình lượng giác cơ bản (có đáp án) | Kết nối tri thức Trắc nghiệm Toán 11

Xét đường thẳng y=22 và đồ thị hàm số y = sina trên đoạn [0;π]:

Từ đồ thị hàm số trên ta thấy đường thẳng y=22 cắt đồ thị số y = sina trên đoạn [0;π] tại hai điểm có hoành độ lần lượt là α1=π4 và α2=3π4.

Mà x+π4=α, khi đó ta sẽ tìm được 2 giá trị x là x1 = 0 và x2=π2.

Câu 12. Giá trị m để phương trình 5sinx – m = tan2x(sinx – 1) có đúng 3 nghiệm thuộc −π;π2 là

A. −1<m≤52.   B. 0<m≤5.   C. 0≤m≤112.   D. -1<m≤6.

Hướng dẫn giải

Đáp án đúng là: C

Điều kiện cosx≠0⇔x≠π2+kπk∈ℤ.

Ta có: 5sinx – m = tan2x(sinx – 1)⇔5sinx – m = sin2x1−sinx1+sinx(sinx-1)

⇔6sin2x – (m-5)sinx – m = 0

Đặt t = sinx => t∈(-1;1)

PT trở thành 6t2 – (m-5)t – m = 0 (1)

YCBT ⇔ PT (1) có 2 nghiệm phân biệt thỏa −1<t1<0≤t2<1

12 Bài tập Phương trình lượng giác cơ bản (có đáp án) | Kết nối tri thức Trắc nghiệm Toán 11

Tags : Tags Trắc nghiệm Toán 11
Share
facebookShare on Facebook

Bài liên quan

Giải SGK Toán 11 Bài 12 (Kết nối tri thức): Đường thẳng và mặt phẳng song song

Giải SGK Toán 11 Bài 23 (Kết nối tri thức): Đường thẳng vuông góc với mặt phẳng

Giải SGK Toán 11 (Kết nối tri thức): Bài tập ôn tập cuối năm

Sách bài tập Toán 11 Bài 13 (Kết nối tri thức): Hai mặt phẳng song song

Sách bài tập Toán 11 Bài 26 (Kết nối tri thức): Khoảng cách

Giải Chuyên đề Toán 11 Kết nối tri thức Bài 4: Phép quay và phép đối xứng tâm

20 câu Trắc nghiệm Công thức lượng giác (Kết nối tri thức 2025) có đáp án – Toán lớp 11

20 Bài tập Giới hạn của hàm số (sách mới) có đáp án – Toán 11

0 Góp ý
Phản hồi nội tuyến
Xem tất cả bình luận

Mục lục

  1. Giải SGK Toán 11 Bài 1 (Kết nối tri thức): Giá trị lượng giác của góc lượng giác
  2. Giải SGK Toán 11 Bài 2 (Kết nối tri thức): Công thức lượng giác
  3. Giải SGK Toán 11 Bài 3 (Kết nối tri thức): Hàm số lượng giác
  4. Giải SGK Toán 11 Bài 4 (Kết nối tri thức): Phương trình lượng giác cơ bản
  5. Giải SGK Toán 11 (Kết nối tri thức) Bài tập cuối chương 1 trang 40
  6. Giải SGK Toán 11 Bài 5 (Kết nối tri thức): Dãy số
  7. Giải SGK Toán 11 Bài 6 (Kết nối tri thức): Cấp số cộng
  8. Giải SGK Toán 11 Bài 7 (Kết nối tri thức): Cấp số nhân
  9. Giải SGK Toán 11 (Kết nối tri thức) Bài tập cuối chương 2 trang 56
  10. Giải SGK Toán 11 Bài 8 (Kết nối tri thức): Mẫu số liệu ghép nhóm
  11. Giải SGK Toán 11 Bài 9 (Kết nối tri thức): Các số đặc trưng đo xu thế trung tâm
  12. Giải SGK Toán 11 (Kết nối tri thức) Bài tập cuối chương 3 trang 69
  13. Giải SGK Toán 11 Bài 10 (Kết nối tri thức): Đường thẳng và mặt phẳng trong không gian
  14. Giải SGK Toán 11 Bài 11 (Kết nối tri thức): Hai đường thẳng song song
  15. Giải SGK Toán 11 Bài 12 (Kết nối tri thức): Đường thẳng và mặt phẳng song song
  16. Giải SGK Toán 11 Bài 13 (Kết nối tri thức): Hai mặt phẳng song song
  17. Giải SGK Toán 11 Bài 14 (Kết nối tri thức): Phép chiếu song song
  18. Giải SGK Toán 11 (Kết nối tri thức): Bài tập cuối chương 4
  19. Giải SGK Toán 11 Bài 15 (Kết nối tri thức): Giới hạn của dãy số
  20. Giải SGK Toán 11 Bài 16 (Kết nối tri thức): Giới hạn của hàm số

Copyright © 2026 Học tập lớp 12 - Sách Toán - Học Tập AI
  • Sitemap
  • Chính sách
  • Giới thiệu
  • Hướng dẫn
  • Kết quả
  • Liên hệ
Back to Top
Menu
  • Sitemap
  • Chính sách
  • Giới thiệu
  • Hướng dẫn
  • Kết quả
  • Liên hệ
wpDiscuz