Skip to content

Học tập lớp 12

  • Trắc nghiệm Holland
  • Tính điểm xét tuyển
  • Danh sách trường Đại học
  • Kết quả bài thi

Học tập lớp 12

  • Home » 
  • Toán lớp 11

20 Bài tập Góc lượng giác. Giá trị lượng giác của góc lượng giác (sách mới) có đáp án – Toán 11

By Admin Lop12.com 23/02/2026 0

Bài tập Toán 11 Góc lượng giác. Giá trị lượng giác của góc lượng giác

A. Bài tập Góc lượng giác. Giá trị lượng giác của góc lượng giác

Bài 1. Trên một đường tròn có bán kính bằng 5 cm, tìm độ dài của cung có số đo 2π3 .

Hướng dẫn giải

Ta có R = 5 cm; α=2π3. Suy ra l = Rα = 5.2π3 ≈ 10,5 (cm).

Vậy độ dài cung tròn là 10,5 cm.

Bài 2. Tính các giá trị lượng giác của góc α, biết sinα = −25 và 3π2<α<2π .

Hướng dẫn giải

Vì 3π2<α<2π nên cos α > 0. Mặt khác, từ sin2 α + cos2 α = 1 suy ra

Lý thuyết Toán 11 Kết nối tri thức Bài 1: Giá trị lượng giác của góc lượng giác

Do đó, tanα=sinαcosα=−25215=−22121 và cotα=cosαsinα=215−25=−212 .

Bài 3. Tính

a) Lý thuyết Toán 11 Kết nối tri thức Bài 1: Giá trị lượng giác của góc lượng giác ;

b) tan(–780°).

Hướng dẫn giải

a) Lý thuyết Toán 11 Kết nối tri thức Bài 1: Giá trị lượng giác của góc lượng giác.

b) tan(– 780°) = tan(–60° – 2.360°) = tan(–60°) = – tan60° = −3.

Bài 4. Dùng máy tính cầm tay để:

a) Đổi 56°32’ sang rađian.

b) Tính Lý thuyết Toán 11 Kết nối tri thức Bài 1: Giá trị lượng giác của góc lượng giác.

Hướng dẫn giải

a) Để đổi 56°32’ sang rađian ta bấm lần lượt như sau:

Lý thuyết Toán 11 Kết nối tri thức Bài 1: Giá trị lượng giác của góc lượng giác

Màn hình hiển thị kết quả: 0,9866928038

Vậy 56°32’ bằng 0,9866928038 rađian.

b) Để tính Lý thuyết Toán 11 Kết nối tri thức Bài 1: Giá trị lượng giác của góc lượng giác ta bấm lần lượt như sau:

Lý thuyết Toán 11 Kết nối tri thức Bài 1: Giá trị lượng giác của góc lượng giác

Màn hình hiển thị kết quả: 1,253960338

Vậy Lý thuyết Toán 11 Kết nối tri thức Bài 1: Giá trị lượng giác của góc lượng giác bằng 1,253960338.

Bài 5. Đổi số đo của các góc sau đây sang radian:

a) −125°;

b) 42°;

Hướng dẫn giải

a) Ta có: −125°=π.(−125)180  rad=−25π36  rad.

b) Ta có: 42°=42π180  rad=7π30  rad.

Bài 6. Đổi số đo của các góc sau đây sang độ:

a) 3π7;

b) 2π9;

Hướng dẫn giải

Lý thuyết Toán 11 Chân trời sáng tạo Bài 1: Góc lượng giác

Bài 7. Biểu diễn trên đường tròn lượng giác góc lượng giác có số đo 135°:

Hướng dẫn giải

Ta có: 135°=45°+14 . 360°.

Vậy điểm biểu diễn góc lượng giác có số đo 135° là điểm M nằm trên phần đường tròn lượng giác thuộc góc phần tư thứ II sao cho AOM^=135°.

Lý thuyết Toán 11 Chân trời sáng tạo Bài 1: Góc lượng giác

Bài 8. Tính các giá trị lượng giác của góc α biết:

a) tanα=−45 biết 3π2<α<2π.

b) cotα=−197 biết π2<α<π.

Hướng dẫn giải

a) Do 3π2<α<2π nên sin α < 0, cos α > 0, cot α < 0.

Ta có:

cotα=1tanα⇒cotα=−54.

Lý thuyết Toán 11 Chân trời sáng tạo Bài 2: Giá trị lượng giác của một góc lượng giác

tanα=sinαcosα⇒sinα=tanα.cosα=−45.541=−44141.

b) Do π2<α<π nên sin α > 0, cos α < 0, tan α < 0.

Ta có:

tanα=1cotα⇒tanα=−719.

Lý thuyết Toán 11 Chân trời sáng tạo Bài 2: Giá trị lượng giác của một góc lượng giác

Mà cos α < 0 ⇒ cosα=−19410.

Lý thuyết Toán 11 Chân trời sáng tạo Bài 2: Giá trị lượng giác của một góc lượng giác

Bài 9. Rút gọn các biểu thức sau:

a) A = (1 – sin2α).cot2α + 1 – cot2α;

b) B=2cos2α−1sinα+cosα.

Hướng dẫn giải

a) A = (1 – sin2α).cot2α + 1 – cot2α

⇔ A = cot2α – sin2α.cot2α + 1 – cot2α

⇔ A=1−sin2α.cos2αsin2α=sin2α.

b) B=2cos2α−1sinα+cosα

⇔ B=cos2α−sin2αsinα+cosα

⇔ B = cos α – sin α.

Bài 10. Cho tanα=35. Tính: A=sinαcosαsin2α−cos2α.

Hướng dẫn giải

Chia cả tử và mẫu của biểu thức A cho cos2α ta được:

A=sinαcosαsin2α−cos2α=tanαtan2α−1=−1516.

Bài 11. Tìm các giá trị lượng giác của góc lượng giác α=3π4.

Hướng dẫn giải

Lấy điểm M trên đường tròn lượng giác sao cho OA,OM=α=3π4 (hình vẽ).

Lý thuyết Toán 11 Cánh diều Bài 1: Góc lượng giác. Giá trị lượng giác của góc lượng giác

Gọi H, K lần lượt là hình chiếu của điểm M lên các trục Ox, Oy.

Khi đó AOM^=3π4.

Suy ra BOM^=KOM^=3π4−π2=π4.

Tam giác KOM vuông tại K, có:

⦁ OK=OM.cosKOM^=1.cosπ4=22;

⦁ MK=OM.sinKOM^=1.sinπ4=22.

Suy ra tọa độ Lý thuyết Toán 11 Cánh diều Bài 1: Góc lượng giác. Giá trị lượng giác của góc lượng giác.

Vậy sin3π4=−22; cos3π4=22; tan3π4=sin3π4cos3π4=−1 và cot3π4=cos3π4sin3π4=−1.

Bài 12. Tìm số đo α của góc lượng giác (Ou, Ov) với 0 ≤ α ≤ 2π (0° ≤ α ≤ 360°), biết một góc lượng giác có cùng tia đầu, tia cuối với góc đó có số đo là:

a) 33π4;

b) −291983π3;

c) 3270°.

Hướng dẫn giải

a) Ta có: Lý thuyết Toán 11 Cánh diều Bài 1: Góc lượng giác. Giá trị lượng giác của góc lượng giác.

Vì 0 ≤ α ≤ 2π nên 0≤33π4+k2π≤2π.

⇔−33π4≤k2π≤−25π4.

⇔−338≤k≤−258.

Mà k ∈ ℤ, suy ra k = –4.

Vậy Lý thuyết Toán 11 Cánh diều Bài 1: Góc lượng giác. Giá trị lượng giác của góc lượng giác.

b) Ta có: Lý thuyết Toán 11 Cánh diều Bài 1: Góc lượng giác. Giá trị lượng giác của góc lượng giác.

Vì 0 ≤ α ≤ 2π nên 0≤−291983π3+k2π≤2π.

⇔291983π3≤k2π≤291989π3.

⇔2919836≤k≤2919896.

Mà k ∈ ℤ, suy ra k = 48664.

Vậy α=−291983π3+48664.2π=π3.

c) Ta có: (Ou,Ov) = α = 3270° + k.360° (k ∈ ℤ).

Vì 0° ≤ α ≤ 360° nên 0° ≤ 3270° + k.360° ≤  360°.

⇔ –3270° ≤ k.360° ≤  –2910°.

⇔−10912≤k≤−9712.

Mà k ∈ ℤ, suy ra k = –9.

Vậy α = 3270° + (–9).360° = 30°.

Bài 13.

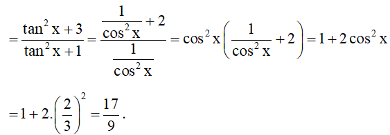
a) Cho cosx=23. Tính A=tanx+3cotxtanx+cotx.

b) Cho sinx=−45 và 3π2<x<2π. Tính B=sinx+3cosxtanx.

c) Cho tanx = 3. Tính C=sinx−cosxsin3x+3cos3x+2sinx.

Hướng dẫn giải

a) Ta có A=tanx+3cotxtanx+cotx=tanx+3.1tanxtanx+1tanx (do cosx ≠ 0)

                 Lý thuyết Toán 11 Cánh diều Bài 1: Góc lượng giác. Giá trị lượng giác của góc lượng giác

b) Vì 3π2<x<2π nên cosx > 0.

Ta có sin2x + cos2x = 1, suy ra

Lý thuyết Toán 11 Cánh diều Bài 1: Góc lượng giác. Giá trị lượng giác của góc lượng giác.

⇔cosx=35 (do cosx > 0).

Suy ra tanx=sinxcosx=−45:35=−43.

Khi đó B=sinx+3cosxtanx=−45+3.35−43=−34.

c) Do tanx = 3 nên cosx ≠ 0.

Chia cả tử và mẫu của C cho cos3x, ta được:

C=sinxcos3x−cosxcos3xsin3xcos3x+3+2.sinxcos3x

Lý thuyết Toán 11 Cánh diều Bài 1: Góc lượng giác. Giá trị lượng giác của góc lượng giác

Bài 14. Cho tam giác ABC. Chứng minh rằng:

Lý thuyết Toán 11 Cánh diều Bài 1: Góc lượng giác. Giá trị lượng giác của góc lượng giác

Hướng dẫn giải

Tam giác ABC, có: A^+B^+C^=180°

Suy ra A^+2B^+C^=180°+B^ và B^+C^=180°−A^.

Lý thuyết Toán 11 Cánh diều Bài 1: Góc lượng giác. Giá trị lượng giác của góc lượng giác Lý thuyết Toán 11 Cánh diều Bài 1: Góc lượng giác. Giá trị lượng giác của góc lượng giác

VP = tanA.cot(B + C) = tanA.cot(180° – A) = tanA.(–cotA) = –tanA.cotA = –1 .

Khi đó VT = VP (= –1).

Vậy ta có điều phải chứng minh.

Bài 15. Một bánh xe có bán kính R = 2,4 m quay một góc bằng 30°. Tính độ dài đường đi của một điểm bất kì trên vành bánh xe.

Hướng dẫn giải

Ta xem vành bánh xe là một đường tròn có bán kính R = 2,4 m.

Độ dài đường đi của một điểm bất kì trên vành bánh xe là độ dài của cung tròn có số đo 30°.

Vậy độ dài đường đi cần tìm là 30°.2π.R360°=30°.2π.2,4360°=0,4 m.

Câu 16. Tính độ dài l của cung trên đường tròn có bán kính bằng 20cm và số đo π16.

A. l = 3,93cm.   

B. l = 2,94cm.   

C. l = 3,39cm   

D. l = 1,49cm

Hướng dẫn giải

Đáp án đúng là:A

Áp dụng công thức l=Rα=20.π16≈3,93cm.

Câu 17. Đổi số đo của góc 70o sang đơn vị radian.

A. 70π.   

B. 718.   

C. 7π18.   

D. 718π.

Hướng dẫn giải

Đáp án đúng là:C

Áp dụng công thức α=a.π180 với α tính bằng radian, a tính bằng độ.

Ta có α=a.π180=70π180=7π18 .

Câu 18. Khẳng định nào sau đây là đúng khi nói về “đường tròn lượng giác”?

A. Mỗi đường tròn là một đường tròn lượng giác.

B. Mỗi đường tròn có bán kính R = 1 là một đường tròn lượng giác.

C. Mỗi đường tròn có bán kính R = 1, tâm trùng với gốc tọa độ là một đường tròn lượng giác.

D. Mỗi đường tròn định hướng có bán kính R = 1, tâm trùng với gốc tọa độ là một đường tròn lượng giác.

Hướng dẫn giải

Đáp án đúng là: D

B. Lý thuyết Góc lượng giác. Giá trị lượng giác của góc lượng giác

1. Góc lượng giác

1.1. Góc hình học và số đo của chúng

– Góc (còn được gọi là góc hình học) là hình gồm hai tia chung gốc. Mỗi góc có một số đo, đơn vị đo góc (hình học) là độ. Số đo của một góc (hình học) không vượt quá 180°.

Một đơn vị khác được sử dụng nhiều khi đo góc là radian (đọc là ra-đi-an), viết tắt là rad.

Góc lượng giác. Giá trị lượng giác của góc lượng giác (Lý thuyết Toán lớp 11) | Cánh diều

Nhận xét:

Góc lượng giác. Giá trị lượng giác của góc lượng giác (Lý thuyết Toán lớp 11) | Cánh diều

Chú ý: Người ta thường không viết chữ radian hay rad sau số đo của góc.

Chẳng hạn, π2 rad cũng được viết là π2.

Ví dụ 1. Hãy hoàn thành bảng chuyển đổi số đo độ và số đo radian của một góc sau:

Góc lượng giác. Giá trị lượng giác của góc lượng giác (Lý thuyết Toán lớp 11) | Cánh diều

Hướng dẫn giải

Ta có Góc lượng giác. Giá trị lượng giác của góc lượng giác (Lý thuyết Toán lớp 11) | Cánh diều

Thực hiện tương tự như trên, ta thu được bảng sau:

Góc lượng giác. Giá trị lượng giác của góc lượng giác (Lý thuyết Toán lớp 11) | Cánh diều1.2 Góc lượng giác và số đo của chúng

a) Khái niệm

Quy ước chọn chiều dương là chiều ngược chiều quay của kim đồng hồ và chiều cùng chiều quay của kim đồng hồ gọi là chiều âm.

Góc lượng giác: Cho hai tia Ou, Ov. Nếu tia Om quay chỉ theo chiều dương (hay chỉ theo chiều âm) xuất phát từ tia Ou đến trùng với tia Ov thì ta nói: Tia Om quét một góc lượng giác với tia đầu Ou và tia cuối Ov, kí hiệu là (Ou, Ov).

Ví dụ 2.

+ Trong hình bên dưới, ta thấy tia Om quay theo chiều dương, xuất phát từ tia Ob đến trùng với tia Oa. Do đó góc lượng giác là (Ob, Oa), với tia đầu là Ob, tia cuối là Oa.

Góc lượng giác. Giá trị lượng giác của góc lượng giác (Lý thuyết Toán lớp 11) | Cánh diều

+ Trong hình bên dưới, ta thấy tia Om quay theo chiều âm, xuất phát từ tia Oc đến trùng với tia Od. Do đó góc lượng giác là (Oc, Od), với tia đầu là Oc, tia cuối là Od.

Góc lượng giác. Giá trị lượng giác của góc lượng giác (Lý thuyết Toán lớp 11) | Cánh diều

Nhận xét:

– Khi tia Om quay góc a° thì góc lượng giác mà tia đó quét nên có số đo a° (hay πa180 rad).

– Mỗi một góc lượng giác đều có một số đo, đơn vị đo góc lượng giác là độ hoặc radian.

– Nếu góc lượng giác (Ou, Ov) có số đo bằng α thì ta kí hiệu là sđ(Ou, Ov) = α hoặc (Ou, Ov) = α.

Ví dụ 3.

+ Khi tia Om quay góc 420°, với tia đầu là Od, tia cuối là Og thì góc lượng giác (Od, Og) mà tia Om quét nên có số đo bằng 420°. Ta kí hiệu là sđ(Od, Og) = 420° hoặc (Od, Og) = 420°.

+ Khi tia Om quay góc 2π3, với tia đầu là Oh, tia cuối là Ok thì góc lượng giác (Oh, Ok) mà tia Om quét nên có số đo bằng 2π3. Ta kí hiệu là sđ(Oh, Ok) = 2π3 hoặc (Oh, Ok) = 2π3.

– Mỗi góc lượng giác gốc O được xác định bởi tia đầu Ou, tia cuối Ov và số đo của góc đó.

Ví dụ 3. Hãy biểu diễn trên mặt phẳng góc lượng giác trong mỗi trường hợp sau:

a) Góc lượng giác gốc O có tia đầu Oy, tia cuối Oz và có số đo là –450°.

b) Góc lượng giác gốc O có tia đầu Oh, tia cuối Ok và có số đo 9π4.

Hướng dẫn giải

a) Ta có –450° = (–360°) + (–90°).

Vì –450° < 0° nên góc lượng giác đã cho quay theo chiều âm.

Vậy góc lượng giác gốc O có tia đầu Oy, tia cuối Oz và có số đo là –450° được biểu diễn trên mặt phẳng góc lượng giác như sau:

Góc lượng giác. Giá trị lượng giác của góc lượng giác (Lý thuyết Toán lớp 11) | Cánh diều

b) Ta có 9π4=8π4+π4=2π+π4.

Vì 9π4>0 nên góc lượng giác đã cho quay theo chiều dương.

Vậy góc lượng giác gốc O có tia đầu Oh, tia cuối Ok và có số đo 9π4 được biểu diễn trên mặt phẳng góc lượng giác như sau:

Góc lượng giác. Giá trị lượng giác của góc lượng giác (Lý thuyết Toán lớp 11) | Cánh diều

b) Tính chất

Định lí: Nếu một góc lượng giác có số đo α° (hay α radian) thì mọi góc lượng giác có cùng tia đầu, tia cuối với góc lượng giác đó có số đo dạng: α° + k360° (hay α + k2π), với k là số nguyên, mỗi góc ứng với một giá trị của k.

Ví dụ 4.

+ Công thức biểu thị số đo của các góc lượng giác có cùng tia đầu, tia cuối với góc lượng giác có số đo bằng 145° là: 145° + k360°, k là số nguyên.

+ Công thức biểu thị số đo của các góc lượng giác có cùng tia đầu, tia cuối với góc lượng giác có số đo bằng −π6 là: −π6+k2π, k là số nguyên.

Định lí (hệ thức Chasles): Với ba tia tùy ý Ou, Ov, Ow, ta có:

(Ou, Ov) + (Ov, Ow) = (Ou, Ow) + k2π (k ∈ ℤ).

Ví dụ 5. Cho góc lượng giác (Ov, Ow) có số đo là π3, góc lượng giác (Ou, Ow) có số đo là −5π6. Tìm số đo của góc lượng giác (Ou, Ov).

Hướng dẫn giải

Áp dụng hệ thức Chasles, ta có: (Ou, Ov) = (Ou, Ow) – (Ov, Ow) + k2π (k ∈ ℤ).

=−5π6−π3+k2π (k ∈ ℤ).

=−7π6+k2π (k ∈ ℤ).

Vậy Ou,  Ov=−7π6+k2π (k ∈ ℤ).

2. Giá trị lượng giác của góc lượng giác

2.1. Đường tròn lượng giác

Trong mặt phẳng tọa độ Oxy, ta quy ước: Chiều ngược chiều quay của kim đồng hồ là chiều dương và chiều quay của kim đồng hồ là chiều âm. Như vậy, mặt phẳng tọa độ Oxy đã được định hướng.

Đường tròn lượng giác: Trong mặt phẳng tọa độ đã được định hướng Oxy, lấy điểm A(1; 0). Đường tròn tâm O bán kính OA = 1 được gọi là đường tròn lượng giác (hay đường tròn đơn vị) gốc A.

Góc lượng giác. Giá trị lượng giác của góc lượng giác (Lý thuyết Toán lớp 11) | Cánh diều

Chú ý: Các điểm B(0; 1), A’(–1; 0), B’(0; –1) nằm trên đường tròn lượng giác.

Ví dụ 6. Xác định điểm M, N trên đường tròn lượng giác thỏa mãn các trường hợp sau:

a) (OA, OM) = –240°.

Góc lượng giác. Giá trị lượng giác của góc lượng giác (Lý thuyết Toán lớp 11) | Cánh diều

Hướng dẫn giải

a) Vì –240° < 0° nên góc lượng giác (OA, OM) quay theo chiều âm.

Ta có –240° = (–180°) + (–60°).

Do đó góc –240° quay theo chiều âm nửa vòng tròn (từ điểm A đến điểm A’) và một phần ba của nửa vòng tròn tiếp theo (từ điểm A’ đến điểm M).

Chia cung A’A thành ba phần bằng nhau, ta xác định được vị trí của điểm M được biểu diễn như hình bên dưới.

Góc lượng giác. Giá trị lượng giác của góc lượng giác (Lý thuyết Toán lớp 11) | Cánh diều

b) Vì π4>0 nên góc lượng giác (OA, ON) quay theo chiều dương.

Gọi N là điểm chính giữa cung AB trên đường tròn lượng giác.

Khi đó vị trí của điểm N thỏa mãn OA,  ON=π4 được biểu diễn như hình bên dưới.

Góc lượng giác. Giá trị lượng giác của góc lượng giác (Lý thuyết Toán lớp 11) | Cánh diều

2.2. Giá trị lượng giác của góc lượng giác

– Trong trường hợp tổng quát, với mỗi góc lượng giác α, lấy điểm M trên đường tròn lượng giác sao cho (OA, OM) = α (Hình vẽ).

Góc lượng giác. Giá trị lượng giác của góc lượng giác (Lý thuyết Toán lớp 11) | Cánh diều

Gọi tọa độ của điểm M trong hệ tọa độ Oxy là (x; y).

⦁ Hoành độ x của điểm M gọi là côsin của góc lượng giác α và kí hiệu cosα, cosα = x.

⦁ Tung độ y của điểm M gọi là sin của góc lượng giác α và kí hiệu sinα, sinα = y.

⦁ Nếu cosα ≠ 0 thì tỉ số sinαcosα gọi là tang của góc lượng giác α và kí hiệu tanα, tanα=sinαcosα.

⦁ Nếu sinα ≠ 0 thì tỉ số cosαsinα gọi là côtang của góc lượng giác α và kí hiệu là cotα, cotα=cosαsinα.

– Dấu của các giá trị lượng giác của góc α = (OA, OM) phụ thuộc vào vị trí điểm M trên đường tròn lượng giác ­(Hình vẽ).

Góc lượng giác. Giá trị lượng giác của góc lượng giác (Lý thuyết Toán lớp 11) | Cánh diều

Bảng xác định dấu của các giá trị lượng giác như sau:

Góc lượng giác. Giá trị lượng giác của góc lượng giác (Lý thuyết Toán lớp 11) | Cánh diều

Ví dụ 7. Xét dấu các giá trị lượng giác của góc lượng giác α=2π3.

Hướng dẫn giải

Do Góc lượng giác. Giá trị lượng giác của góc lượng giác (Lý thuyết Toán lớp 11) | Cánh diều

Các công thức lượng giác cơ bản:

⦁ cos2α + sin2α = 1, với mọi α;

⦁ tanα=1cotα, với cosα ≠ 0, sinα ≠ 0;

⦁ 1+tan2α=1cos2α, với cosα ≠ 0;

⦁ 1+cot2α=1sin2α, với sinα ≠ 0.

Ví dụ 8. Cho góc lượng giác α sao cho 3π2<α<2π và cosα=15. Tính sinα, tanα, cotα.

Hướng dẫn giải

Góc lượng giác. Giá trị lượng giác của góc lượng giác (Lý thuyết Toán lớp 11) | Cánh diều

Bảng dưới đây nêu lên các giá trị lượng giác của một số góc đặc biệt:

Góc lượng giác. Giá trị lượng giác của góc lượng giác (Lý thuyết Toán lớp 11) | Cánh diều

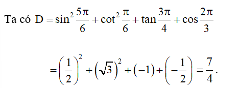
Ví dụ 9. Tính giá trị của biểu thức D=sin25π6+cot2π6+tan3π4+cos2π3.

Hướng dẫn giải

Góc lượng giác. Giá trị lượng giác của góc lượng giác (Lý thuyết Toán lớp 11) | Cánh diều

2.3. Giá trị lượng giác của các góc có liên quan đặc biệt

– Hai góc đối nhau (α và – α):

Góc lượng giác. Giá trị lượng giác của góc lượng giác (Lý thuyết Toán lớp 11) | Cánh diều

– Hai góc bù nhau (α và π – α):

Góc lượng giác. Giá trị lượng giác của góc lượng giác (Lý thuyết Toán lớp 11) | Cánh diều

– Hai góc phụ nhau (α và π2−α):

Góc lượng giác. Giá trị lượng giác của góc lượng giác (Lý thuyết Toán lớp 11) | Cánh diều

– Hai góc hơn kém nhau π (α và α + π):

Góc lượng giác. Giá trị lượng giác của góc lượng giác (Lý thuyết Toán lớp 11) | Cánh diều

Ví dụ 10. Tính:

a) Góc lượng giác. Giá trị lượng giác của góc lượng giác (Lý thuyết Toán lớp 11) | Cánh diều

b) N = cos20° + cos40° + cos60° + cos120° + cos140° + cos160°.

Hướng dẫn giải

a) Góc lượng giác. Giá trị lượng giác của góc lượng giác (Lý thuyết Toán lớp 11) | Cánh diều

Góc lượng giác. Giá trị lượng giác của góc lượng giác (Lý thuyết Toán lớp 11) | Cánh diều

=−sinπ6−tanπ4

=−12−1=−32.

b) N = cos20° + cos40° + cos60° + cos120° + cos140° + cos160°

= cos20° + cos40° + cos60° + cos(180° – 60°) + cos(180° – 40°) + cos(180° – 20°)

= cos20° + cos40° + cos60° – cos60° – cos40° – cos20°

= (cos20° – cos20°) + (cos40° – cos40°) + (cos60° – cos60°)

= 0.

2.4. Sử dụng máy tính cầm tay để tính giá trị lượng giác của một góc lượng giác

Ta có thể sử dụng máy tính cầm tay để tính giá trị lượng giác (đúng hoặc gần đúng) của một góc lượng giác khi biết số đo của góc đó. Cụ thể như sau:

⦁ Nếu đơn vị của góc lượng giác là độ (°), trước hết, ta chuyển máy tính sang chế độ “độ”.

Góc lượng giác. Giá trị lượng giác của góc lượng giác (Lý thuyết Toán lớp 11) | Cánh diều

⦁ Nếu đơn vị của góc lượng giác là radian (rad), trước hết, ta chuyển máy tính sang chế độ “radian”.

Góc lượng giác. Giá trị lượng giác của góc lượng giác (Lý thuyết Toán lớp 11) | Cánh diều

Video bài giảng Toán 11 Bài 1: Giá trị lượng giác của góc lượng giác – Kết nối tri thức

 

Tags : Tags bài tập Toán 11
Share
facebookShare on Facebook

Bài liên quan

Giải SGK Toán 11 Bài 12 (Kết nối tri thức): Đường thẳng và mặt phẳng song song

Giải SGK Toán 11 Bài 23 (Kết nối tri thức): Đường thẳng vuông góc với mặt phẳng

Giải SGK Toán 11 (Kết nối tri thức): Bài tập ôn tập cuối năm

Sách bài tập Toán 11 Bài 13 (Kết nối tri thức): Hai mặt phẳng song song

Sách bài tập Toán 11 Bài 26 (Kết nối tri thức): Khoảng cách

Giải Chuyên đề Toán 11 Kết nối tri thức Bài 4: Phép quay và phép đối xứng tâm

20 câu Trắc nghiệm Công thức lượng giác (Kết nối tri thức 2025) có đáp án – Toán lớp 11

20 Bài tập Giới hạn của hàm số (sách mới) có đáp án – Toán 11

0 Góp ý
Phản hồi nội tuyến
Xem tất cả bình luận

Mục lục

  1. Giải SGK Toán 11 Bài 1 (Kết nối tri thức): Giá trị lượng giác của góc lượng giác
  2. Giải SGK Toán 11 Bài 2 (Kết nối tri thức): Công thức lượng giác
  3. Giải SGK Toán 11 Bài 3 (Kết nối tri thức): Hàm số lượng giác
  4. Giải SGK Toán 11 Bài 4 (Kết nối tri thức): Phương trình lượng giác cơ bản
  5. Giải SGK Toán 11 (Kết nối tri thức) Bài tập cuối chương 1 trang 40
  6. Giải SGK Toán 11 Bài 5 (Kết nối tri thức): Dãy số
  7. Giải SGK Toán 11 Bài 6 (Kết nối tri thức): Cấp số cộng
  8. Giải SGK Toán 11 Bài 7 (Kết nối tri thức): Cấp số nhân
  9. Giải SGK Toán 11 (Kết nối tri thức) Bài tập cuối chương 2 trang 56
  10. Giải SGK Toán 11 Bài 8 (Kết nối tri thức): Mẫu số liệu ghép nhóm
  11. Giải SGK Toán 11 Bài 9 (Kết nối tri thức): Các số đặc trưng đo xu thế trung tâm
  12. Giải SGK Toán 11 (Kết nối tri thức) Bài tập cuối chương 3 trang 69
  13. Giải SGK Toán 11 Bài 10 (Kết nối tri thức): Đường thẳng và mặt phẳng trong không gian
  14. Giải SGK Toán 11 Bài 11 (Kết nối tri thức): Hai đường thẳng song song
  15. Giải SGK Toán 11 Bài 12 (Kết nối tri thức): Đường thẳng và mặt phẳng song song
  16. Giải SGK Toán 11 Bài 13 (Kết nối tri thức): Hai mặt phẳng song song
  17. Giải SGK Toán 11 Bài 14 (Kết nối tri thức): Phép chiếu song song
  18. Giải SGK Toán 11 (Kết nối tri thức): Bài tập cuối chương 4
  19. Giải SGK Toán 11 Bài 15 (Kết nối tri thức): Giới hạn của dãy số
  20. Giải SGK Toán 11 Bài 16 (Kết nối tri thức): Giới hạn của hàm số

Copyright © 2026 Học tập lớp 12 - Sách Toán - Học Tập AI
  • Sitemap
  • Chính sách
  • Giới thiệu
  • Hướng dẫn
  • Kết quả
  • Liên hệ
Back to Top
Menu
  • Sitemap
  • Chính sách
  • Giới thiệu
  • Hướng dẫn
  • Kết quả
  • Liên hệ
wpDiscuz