Skip to content

Học tập lớp 12

  • Trắc nghiệm Holland
  • Tính điểm xét tuyển
  • Danh sách trường Đại học
  • Kết quả bài thi

Học tập lớp 12

  • Home » 
  • Toán lớp 11

20 Bài tập Cấp số nhân (sách mới) có đáp án – Toán 11

By Admin Lop12.com 23/02/2026 0

Bài tập Toán 11 Cấp số nhân

A. Bài tập Cấp số nhân

Bài 1: Xác định công bội, số hạng thứ 5, số hạng tổng quát và số hạng thứ 100 của mỗi cấp số nhân sau:

a) 1, 3, 9, …;

b) 3, −13,127, ….

Hướng dẫn giải

a) Ta thấy: 3 : 1 = 3, 9 : 3 = 3

Suy ra công bội q = 3

Số hạng tổng quát của cấp số nhân là: un = 3n–1.

Số hạng thứ 5: u5 = 35–1 = 81.

Số hạng thứ 100: u100 = 3100–1 = 399.

b) Ta thấy:Lý thuyết Toán 11 Kết nối tri thức Bài 7: Cấp số nhân

Suy ra cấp số nhân có công bội q = –19.

Số hạng tổng quát của cấp số nhân là: un = 3.Lý thuyết Toán 11 Kết nối tri thức Bài 7: Cấp số nhân.

Số hạng thứ 5: u5 = 3.Lý thuyết Toán 11 Kết nối tri thức Bài 7: Cấp số nhân= 12187.

Số hạng thứ 100: u100 =3.Lý thuyết Toán 11 Kết nối tri thức Bài 7: Cấp số nhân

Bài 2: Viết năm số hạng đầu của dãy số (un) sau và xem nó có phải là cấp số nhân không. Nếu nó là cấp số nhân, hãy tìm công bội q và viết công thức số hạng tổng quát của nó dưới dạng un = u1 . qn–1.

a) un = 4n;

b) un = 3n;

c) u1 = 2, un = nun–1.

Hướng dẫn giải

a) Năm số hạng đầu của dãy là: 4, 8, 12, 16, 20

Ta có: 8 : 4 = 2 ≠ 12 : 8 = 32 nên (un) không phải là cấp số nhân.

b) Năm số hạng đầu của dãy là: 3; 9; 27; 81; 243

Ta có: unun−1=3n3n−1=3 với mọi n ≥ 2

Suy ra dãy số là cấp số nhân với u1 = 3 và công bội q = 3.

Số hạng tổng quát: un = 3 . 3n–1.

c) Năm số hạng đầu của dãy là: 2; 4; 12; 48; 240

Ta có: 4 : 2 = 2 ≠ 12 : 4 = 3 nên (un) không phải là cấp số nhân.

Bài 3: Một cấp số nhân có số hạng thứ 6 bằng 10 240 và số hạng thứ 3 bằng 160. Tìm số hạng thứ 50 của cấp số nhân này.

Hướng dẫn giải

Giả sử u1 là số hạng đầu và q là công bội của cấp số nhân đó. Ta có:

u6 = u1 . q5 = 10 240 (1)

u3 = u1 . q2 = 160 (2)

Lấy (1) chia vế theo vế (2) ta được: q3 = 64. Suy ra q = 4.

Với q = 4, ta tính được u­1 = 10.

Suy ra công thức số hạng tổng quát của cấp số nhân là: un = 10 . 4n–1

Vậy số hạng thứ 50 của cấp số nhân này là u50 = 10 . 450–1 = 10 . 449.

Bài 4: Một cấp số nhân có số hạng đầu bằng 4 và công bội bằng 2. Hỏi phải lấy tổng của bao nhiêu số hạng đầu của cấp số nhân này để có tổng bằng 131 068?

Hướng dẫn giải

Số hạng tổng quát của cấp số nhân là: un = 4 . 2n–1.

Gọi n là số các số hạng cần lấy tổng, ta có

131 068 = Sn = Lý thuyết Toán 11 Kết nối tri thức Bài 7: Cấp số nhân = 4 . 2n – 4

Suy ra: 2n = 32768 = 215, do đó n = 15.

Vậy ta phải lấy 15 số hạng đầu của cấp số nhân.

Bài 5. Cho cấp số nhân (un) có u2 = 2 và u5 = 16. Tìm q và u1 của cấp số nhân đã cho.

Hướng dẫn giải

Ta có:

• u2 = u1.q ⇔ 2 = u1.q

• u5 = u1.q4 ⇔ 16 = u1.q4

Khi đó u5u2=u1.q4u1.q=q3 ⇔ q3 = 8 ⇔ q = 2.

Do đó u1 = 1.

Vậy q = 2 và u1 = 1.

Bài 6. Dãy số (un) có un = 4.3n có phải là cấp số nhân không? Nếu phải hãy xác định công bội?

A. q = 3;

B. q = 2;

C. q = 4;

D. q = 1.

Hướng dẫn giải

Đáp án đúng là: A

Ta có: un+1un=4.3n+14.3n=3 không phụ thuộc vào n.

Vậy dãy số (un) là một cấp số nhân với công bội q = 3.

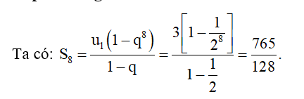
Bài 7. Cho cấp số nhân (un) có u1 = 3 và q=12. Tính tổng 8 số hạng đầu tiên của cấp số nhân đã cho.

A. 765256;

B. 765128;

C. 265756;

D. 128265.

Hướng dẫn giải

Đáp án đúng là: B

Lý thuyết Toán 11 Chân trời sáng tạo Bài 3: Cấp số nhân

Bài 8. Trong các dãy số sau, dãy số nào là cấp số nhân? Vì sao?

a) –2, 4, –8, 16, –32, 64, –128, 256.

b) 1, 4, 9, 16, 25, 36, 49, 64, 81, 100.

Hướng dẫn giải

a) Từ số hạng thứ hai của dãy số ta thấy số hạng sau gấp –2 lần số hạng trước của dãy.

Vì vậy dãy –2, 4, –8, 16, –32, 64, –128, 256 là cấp số nhân với số hạng đầu u1 = –2 và công bội q = –2.

b) Ta có 41≠94 nên dãy 1, 4, 9, 16, 25, 36, 49, 64, 81, 100 không phải là cấp số nhân.

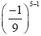
Bài 9. Cho dãy số (un) có un = (–1)n+1 . 32n+1. Chứng minh dãy (un) là một cấp số nhân. Chỉ rõ u1 và công bội q.

Hướng dẫn giải

Ta xét tỉ số:

Lý thuyết Toán 11 Cánh diều Bài 3: Cấp số nhân.

Suy ra dãy số (un) là một cấp số nhân có công bội q = –9 và u1 = (–1)1+1 . 32.1+1 = 27.

Vậy u1 = 27 và q = –9.

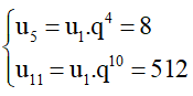
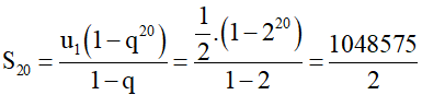
Bài 10. Cho cấp số nhân (un) có u5 = 8 và u11 = 512.

a) Tính số hạng đầu u1 và công bội q của cấp số nhân (biết công bội q > 0).

b) Tính u20 và S20.

Hướng dẫn giải

a) Ta có Lý thuyết Toán 11 Cánh diều Bài 3: Cấp số nhân

Do q > 0 nên u11u5=u1.q10u1.q4=q6=64⇒q=2 (do q > 0).

Thay q = 2 trở lại hệ ta được u1 = 12.

Vậy cấp số nhân đã cho có u1 = 12 và q = 2.

b) Ta có u20 = u1.q20 – 1 = u1.q19 = 12.219=218=262144.

Lý thuyết Toán 11 Cánh diều Bài 3: Cấp số nhân.

Vậy u20 = 262144 và S20=10485752.

B. Lý thuyết Cấp số nhân

1. Cấp số nhân

– Cấp số nhân là một dãy số (hữu hạn hoặc vô hạn) mà trong đó, kể từ số hạng thứ hai, mỗi số hạng đều bằng tích của số hạng đứng ngay trước nó với một số q không đổi, nghĩa là:

un + 1 = un . q với n ∈ ℕ*.

Số q được gọi là công bội của cấp số nhân.

Ví dụ: Cho cấp số nhân (un) có u1 = 3, u2 = −6. Tìm công bội của cấp số nhân đã cho.

Hướng dẫn giải

Ta có: u2 = u1 . q ⇔ −6 = 3.q ⇔ q = −2.

Vậy công bội của cấp số nhân đã cho là −2.

2. Số hạng tổng quát của cấp số nhân

Định lí 1: Nếu một cấp số nhân (un) có số hạng đầu u1 và công bội q thì số hạng tổng quát un của nó được xác định bởi công thức:

un = u1 . qn – 1, n ≥ 2.

Ví dụ: Cho cấp số nhân (un) có u1 = 8 và q = −2. Tìm số hạng thứ năm của cấp số nhân đã cho.

Ta có: u5 = u1 . q5 – 1 = 8 . (−2)4 = 8 . 16 = 128.

Vậy số hạng thứ năm của cấp số nhân (un) là 128.

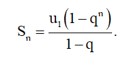
3. Tổng của n số hạng đầu tiên của cấp số nhân

Định lí 2: Giả sử (un) là một cấp số nhân có công bội q ≠ 1. Đặt Sn = u1 + u2 + … + un, khi đó:

Cấp số nhân (Lý thuyết Toán lớp 11) | Chân trời sáng tạo

Chú ý: Khi q = 1 thì Sn = n . u1.

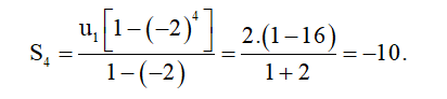
Ví dụ: Cho cấp số nhân (un) có u1 = 2, u2 = −4. Tính S4 của cấp số nhân đã cho.

Hướng dẫn giải

Ta có: u2 = u1 . q ⇔ −4 = 2.q ⇔ q = −2.

Cấp số nhân (Lý thuyết Toán lớp 11) | Chân trời sáng tạo

Video bài giảng Toán 11 Bài 7: Cấp số nhân – Kết nối tri thức

Tags : Tags bài tập Toán 11
Share
facebookShare on Facebook

Bài liên quan

Giải SGK Toán 11 Bài 12 (Kết nối tri thức): Đường thẳng và mặt phẳng song song

Giải SGK Toán 11 Bài 23 (Kết nối tri thức): Đường thẳng vuông góc với mặt phẳng

Giải SGK Toán 11 (Kết nối tri thức): Bài tập ôn tập cuối năm

Sách bài tập Toán 11 Bài 13 (Kết nối tri thức): Hai mặt phẳng song song

Sách bài tập Toán 11 Bài 26 (Kết nối tri thức): Khoảng cách

Giải Chuyên đề Toán 11 Kết nối tri thức Bài 4: Phép quay và phép đối xứng tâm

20 câu Trắc nghiệm Công thức lượng giác (Kết nối tri thức 2025) có đáp án – Toán lớp 11

20 Bài tập Giới hạn của hàm số (sách mới) có đáp án – Toán 11

0 Góp ý
Phản hồi nội tuyến
Xem tất cả bình luận

Mục lục

  1. Giải SGK Toán 11 Bài 1 (Kết nối tri thức): Giá trị lượng giác của góc lượng giác
  2. Giải SGK Toán 11 Bài 2 (Kết nối tri thức): Công thức lượng giác
  3. Giải SGK Toán 11 Bài 3 (Kết nối tri thức): Hàm số lượng giác
  4. Giải SGK Toán 11 Bài 4 (Kết nối tri thức): Phương trình lượng giác cơ bản
  5. Giải SGK Toán 11 (Kết nối tri thức) Bài tập cuối chương 1 trang 40
  6. Giải SGK Toán 11 Bài 5 (Kết nối tri thức): Dãy số
  7. Giải SGK Toán 11 Bài 6 (Kết nối tri thức): Cấp số cộng
  8. Giải SGK Toán 11 Bài 7 (Kết nối tri thức): Cấp số nhân
  9. Giải SGK Toán 11 (Kết nối tri thức) Bài tập cuối chương 2 trang 56
  10. Giải SGK Toán 11 Bài 8 (Kết nối tri thức): Mẫu số liệu ghép nhóm
  11. Giải SGK Toán 11 Bài 9 (Kết nối tri thức): Các số đặc trưng đo xu thế trung tâm
  12. Giải SGK Toán 11 (Kết nối tri thức) Bài tập cuối chương 3 trang 69
  13. Giải SGK Toán 11 Bài 10 (Kết nối tri thức): Đường thẳng và mặt phẳng trong không gian
  14. Giải SGK Toán 11 Bài 11 (Kết nối tri thức): Hai đường thẳng song song
  15. Giải SGK Toán 11 Bài 12 (Kết nối tri thức): Đường thẳng và mặt phẳng song song
  16. Giải SGK Toán 11 Bài 13 (Kết nối tri thức): Hai mặt phẳng song song
  17. Giải SGK Toán 11 Bài 14 (Kết nối tri thức): Phép chiếu song song
  18. Giải SGK Toán 11 (Kết nối tri thức): Bài tập cuối chương 4
  19. Giải SGK Toán 11 Bài 15 (Kết nối tri thức): Giới hạn của dãy số
  20. Giải SGK Toán 11 Bài 16 (Kết nối tri thức): Giới hạn của hàm số

Copyright © 2026 Học tập lớp 12 - Sách Toán - Học Tập AI
  • Sitemap
  • Chính sách
  • Giới thiệu
  • Hướng dẫn
  • Kết quả
  • Liên hệ
Back to Top
Menu
  • Sitemap
  • Chính sách
  • Giới thiệu
  • Hướng dẫn
  • Kết quả
  • Liên hệ
wpDiscuz