Skip to content

Học tập lớp 12

  • Trắc nghiệm Holland
  • Tính điểm xét tuyển
  • Danh sách trường Đại học
  • Kết quả bài thi

Học tập lớp 12

  • Home » 
  • Toán lớp 11

20 Bài tập Phương trình lượng giác cơ bản (sách mới) có đáp án – Toán 11

By Admin Lop12.com 23/02/2026 0

Bài tập Toán 11 Phương trình lượng giác cơ bản

A. Bài tập Phương trình lượng giác cơ bản

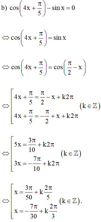
Bài 1. Giải các phương trình sau:

Lý thuyết Toán 11 Cánh diều Bài 4: Phương trình lượng giác cơ bản

Hướng dẫn giải

Lý thuyết Toán 11 Cánh diều Bài 4: Phương trình lượng giác cơ bản

Lý thuyết Toán 11 Cánh diều Bài 4: Phương trình lượng giác cơ bản

Lý thuyết Toán 11 Cánh diều Bài 4: Phương trình lượng giác cơ bản

Lý thuyết Toán 11 Cánh diều Bài 4: Phương trình lượng giác cơ bản

Lý thuyết Toán 11 Cánh diều Bài 4: Phương trình lượng giác cơ bản

⇔ x = –60° + k360° (k ∈ ℤ).

Vậy phương trình đã cho có nghiệm là x = –60° + k360° (k ∈ ℤ).

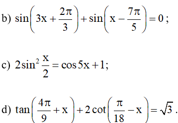
Bài 2. Giải các phương trình sau:

a) sinx.cos2x = sin2x.cos3x;

Lý thuyết Toán 11 Cánh diều Bài 4: Phương trình lượng giác cơ bản

Hướng dẫn giải

a) sinx.cos2x = sin2x.cos3x.

Lý thuyết Toán 11 Cánh diều Bài 4: Phương trình lượng giác cơ bản

Lý thuyết Toán 11 Cánh diều Bài 4: Phương trình lượng giác cơ bản

Lý thuyết Toán 11 Cánh diều Bài 4: Phương trình lượng giác cơ bản

c) 2sin2x2=cos5x+1.

⇔cos5x+1−2sin2x2=0.

⇔ cos5x + cosx = 0.

⇔ 2cos3x.cos2x = 0.

Lý thuyết Toán 11 Cánh diều Bài 4: Phương trình lượng giác cơ bản

Lý thuyết Toán 11 Cánh diều Bài 4: Phương trình lượng giác cơ bản

Vậy phương trình đã cho có nghiệm là Lý thuyết Toán 11 Cánh diều Bài 4: Phương trình lượng giác cơ bản.

Bài 3.

a) Cho phương trình sinx3=m2+9, m là tham số. Với giá trị nào của m thì phương trình đã cho vô nghiệm?

b) Cho phương trình Lý thuyết Toán 11 Cánh diều Bài 4: Phương trình lượng giác cơ bản, m là tham số. Với giá trị nào của m thì phương trình đã cho có nghiệm?

Hướng dẫn giải

a) TXĐ: D = ℝ.

Phương trình sinx3=m2+9 vô nghiệm ⇔ |m2 + 9| > 1.

⇔ m2 + 9 > 1.

⇔ m2 > –8, ∀m ∈ ℝ.

Vậy phương trình sinx3=m2+9 vô nghiệm, ∀m ∈ ℝ.

b) TXĐ: D = ℝ.

Phương trình Lý thuyết Toán 11 Cánh diều Bài 4: Phương trình lượng giác cơ bản có nghiệm Lý thuyết Toán 11 Cánh diều Bài 4: Phương trình lượng giác cơ bản

Lý thuyết Toán 11 Cánh diều Bài 4: Phương trình lượng giác cơ bản

Bài 4. Giả sử một vật dao động điều hòa xung quanh vị trí cân bằng theo phương trình Lý thuyết Toán 11 Cánh diều Bài 4: Phương trình lượng giác cơ bản, với t là thời gian tính bằng giây và x là quãng đường tính bằng cm. Hãy cho biết trong khoảng thời gian từ 0 đến 5 giây, vật đi qua vị trí cân bằng bao nhiêu lần?

Hướng dẫn giải

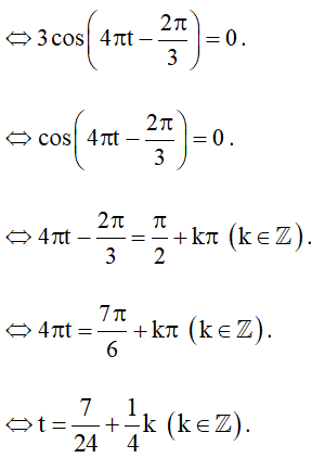
Yêu cầu bài toán ⇔ Tìm t sao cho x = 0, với 0 ≤ t ≤ 5.

Ta có x = 0.

Lý thuyết Toán 11 Cánh diều Bài 4: Phương trình lượng giác cơ bản

Ta có 0 ≤ t ≤ 5.

⇔0≤724+14k≤5.

⇔−724≤14k≤11324.

⇔−76≤k≤1136.

Mà k ∈ ℤ nên k ∈ {–1; 0; 1; 2; 3; 4; 5; 6; 7; 8; 9; 10; 11; 12; 13; 14; 15; 16; 17; 18}.

Có tất cả 20 giá trị k thỏa mãn.

Vậy trong khoảng thời gian từ 0 đến 5 giây, vật đi qua vị trí cân bằng 20 lần.

Bài 5. Giải các phương trình sau:

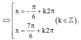
a) sin x = −32 ;

b) cot (2x – 3) = cotπ7 .

Hướng dẫn giải

a) sin x = −32

⇔ sinx = sinLý thuyết Toán 11 Kết nối tri thức Bài 4: Phương trình lượng giác cơ bản

Lý thuyết Toán 11 Kết nối tri thức Bài 4: Phương trình lượng giác cơ bản

b) cot (2x – 3) = cotπ7

⇔ 2x – 3 = π7+kπ

⇔ x = π+2114+kπ2 (k ∈ ℤ).

Bài 6. Giải các phương trình sau:

a) sin x + cos 2x = 0;

b) cos2x = – cos 5x.

Hướng dẫn giải

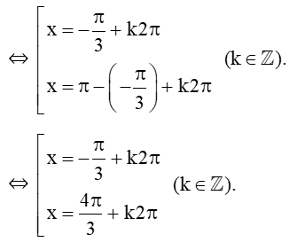
a) Ta có sin x + cos 2x = 0

⇔ sin x + 1 – 2sin2 x = 0

⇔ – 2sin2 x + sin x + 1 = 0

⇔ Lý thuyết Toán 11 Kết nối tri thức Bài 4: Phương trình lượng giác cơ bản

+ Với sin x = 1 ta có: sinx = 1 ⇔ x=π2+k2π,(k∈ℤ).

+ Với sin x = −12 , ta có: sin x = −12 Lý thuyết Toán 11 Kết nối tri thức Bài 4: Phương trình lượng giác cơ bản

Lý thuyết Toán 11 Kết nối tri thức Bài 4: Phương trình lượng giác cơ bản

Vậy x=−π6+k2π,x=7π6+k2π,x=π2+k2π,(k∈ℤ).

b) Ta có cos2x = – cos 5x ⇔ cos2x = cosπ−5x

Lý thuyết Toán 11 Kết nối tri thức Bài 4: Phương trình lượng giác cơ bản

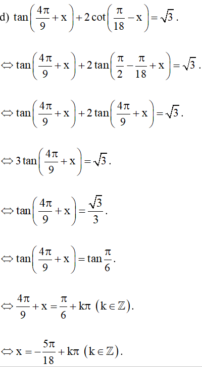
Bài 7. Giải các phương trình lượng giác sau:

a) 2sin2x + 2sinx.cosx – 5cos2x = 0

b) 3sinx−cosx=2

Hướng dẫn giải

a) 2sin2x+2sinx.cosx−5cos2x=0

⇔ 2tan2x+3tanx−5=0

Lý thuyết Toán 11 Chân trời sáng tạo Bài 5: Phương trình lượng giác

Vậy phương trình đã cho có nghiệm là x=π4+kπ hoặc x≈1,2+kπ (k ∈ ℤ).

b) 3sinx−cosx=2

⇔ 32sinx−12cosx=22

⇔ sinx.cosπ6−cosx.sinπ6=22

⇔ sinx−π6=sinπ4

Lý thuyết Toán 11 Chân trời sáng tạo Bài 5: Phương trình lượng giác

Vậy phương trình đã cho có nghiệm là x=5π12+2kπ hoặc x=11π12+2kπ (k ∈ ℤ).

Bài 8. Giải phương trình: cos3x.tan5x = sin7x.

Hướng dẫn giải

Điều kiện cos 5x ≠ 0

Khi đó phương trình đã cho trở thành

2sin5x.cos3x = 2sin7x.cos5x

⇔ sin8x = sin12x

Lý thuyết Toán 11 Chân trời sáng tạo Bài 5: Phương trình lượng giác

• Với x=kπ2 thì ta có:

cos5x=cos5kπ2=coskπ2+2kπ=coskπ2≠0

⇔ k = 2m (m ∈ ℤ)

• Với x=π20+kπ10 thì ta có:

cos5x=cosπ4+kπ2≠0

 Vậy phương trình đã cho có nghiệm là x=mπ;  x=π20+kπ10 (m, k ∈ ℤ).

Bài 9. Tìm x ∈ [0; 14] sao cho: cos3x – 4cos2x + 3cos x – 4 = 0. (1)

Hướng dẫn giải

Ta có: cos3x = 4cos3x – 3cosx

(1) ⇔ cos3x + 3cos x – 4(1 + cos2x) = 0

⇔ 4cos3x – 8cos2x = 0

⇔ 4cos3x.(cos x – 2) = 0

⇔ cos x = 0

⇔ x=π2+kπ (k ∈ ℤ)

Vì x ∈ [0; 14] ⇒ {x∈π2;3π2;5π2;7π2.}

Vậy {x∈π2;3π2;5π2;7π2.}

B. Lý thuyết Phương trình lượng giác cơ bản

1. Phương trình tương đương

– Hai phương trình được gọi là tương đương nếu chúng có cùng tập nghiệm.

– Để chỉ sự tương đương của các phương trình, người ta dùng kí hiệu “⇔”.

Ví dụ: Hai phương trình x2 – 9 = 0 và 3x2 – 27 = 0 có cùng tập nghiệm {–3; 3} nên hai phương trình này tương đương.

2. Phương trình sin x = m

Xét phương trình sin x = m.

• Nếu |m| > 1 thì phương trình vô nghiệm.

• Nếu |m| ≤ 1 thì phương trình có nghiệm:

x = α + k2π, k ∈ ℤ

và x = π – α + k2π, k ∈ ℤ,

với α là góc thuộc [−π2;π2] sao cho sin α = m.

Chú ý:

Một số trường hợp đặc biệt:

• sin x = 1 ⇔ x=π2+k2π,  k∈ℤ;              

• sin x = −1 ⇔ x=−π2+k2π,  k∈ℤ;

• sin x = 0 ⇔ x = kπ,  k∈ℤ.

Ta có:

• sin u = sin v ⇔ u = v + k2π, k ∈ ℤ hoặc u = π – v + k2π, k ∈ ℤ.

• sin x = sin a° ⇔ x = a° + k360°, k ∈ ℤ hoặc x = 180° − a° + k360°, k ∈ ℤ.

Ví dụ: sinx=32⇔x=π3+k2πx=2π3+k2π  k∈ℤ.

3. Phương trình cos x = m

Xét phương trình cos x = m.

• Nếu |m| > 1 thì phương trình vô nghiệm.

• Nếu |m| ≤ 1 thì phương trình có nghiệm:

x = α + k2π, k ∈ ℤ

và x = – α + k2π, k ∈ ℤ,

với α là góc thuộc [0; π] sao cho cos α = m.

Chú ý:

Một số trường hợp đặc biệt:

• cos x = 1 ⇔ x = k2π, k ∈ ℤ;  

• cos x = −1 ⇔ x = π + k2π, k ∈ ℤ;

• cos x = 0 ⇔ x=π2+kπ,  k∈ℤ.

Ta có:

• cos u = cos v ⇔ u = v + k2π, k ∈ ℤ hoặc u = –v + k2π, k ∈ ℤ.

• cos x = cos a° ⇔ x = a° + k360°, k ∈ ℤ hoặc x = −a° + k360°, k ∈ ℤ.

Ví dụ: cos x = cos 15° ⇔ x = 15° + k360° hoặc x = −15° + k360°, k ∈ ℤ.

4. Phương trình tan x = m

Với mọi số thực m, phương trình tan x = m có nghiệm

x = α + kπ, k ∈ ℤ,

với α là góc thuộc −π2;π2 sao cho tan α = m.

Chú ý: tan x = tan a° ⇔ x = a° + k180°, k ∈ ℤ.

Ví dụ: tan x = 0 ⇔ x = kπ, k ∈ ℤ.

5. Phương trình cot x = m

Với mọi số thực m, phương trình cot x = m có nghiệm

x = α + kπ, k ∈ ℤ,

với α là góc thuộc (0; π) sao cho cot α = m.

Chú ý: cot x = cot a° ⇔ x = a° + k.180°, k ∈ ℤ.

Ví dụ: cot x = 1 ⇔ x=π4+kπ,  k∈ℤ.

6. Giải phương trình lượng giác bằng máy tính cầm tay

Ấn liên tiếp các phím SHIFT, sin/cos/tan và giá trị lượng giác của góc lượng giác bất kỳ để tìm ra góc lượng giác đó theo đơn vị radian hoặc theo đơn vị độ.

Chú ý: để giải phương trình cot x = m (m ≠ 0), ta giải phương trình tanx=1m.

Video bài giảng Toán 11 Bài 4: Phương trình lượng giác cơ bản – Kết nối tri thức

 

Tags : Tags bài tập Toán 11
Share
facebookShare on Facebook

Bài liên quan

Giải SGK Toán 11 Bài 12 (Kết nối tri thức): Đường thẳng và mặt phẳng song song

Giải SGK Toán 11 Bài 23 (Kết nối tri thức): Đường thẳng vuông góc với mặt phẳng

Giải SGK Toán 11 (Kết nối tri thức): Bài tập ôn tập cuối năm

Sách bài tập Toán 11 Bài 13 (Kết nối tri thức): Hai mặt phẳng song song

Sách bài tập Toán 11 Bài 26 (Kết nối tri thức): Khoảng cách

Giải Chuyên đề Toán 11 Kết nối tri thức Bài 4: Phép quay và phép đối xứng tâm

20 câu Trắc nghiệm Công thức lượng giác (Kết nối tri thức 2025) có đáp án – Toán lớp 11

20 Bài tập Giới hạn của hàm số (sách mới) có đáp án – Toán 11

0 Góp ý
Phản hồi nội tuyến
Xem tất cả bình luận

Mục lục

  1. Giải SGK Toán 11 Bài 1 (Kết nối tri thức): Giá trị lượng giác của góc lượng giác
  2. Giải SGK Toán 11 Bài 2 (Kết nối tri thức): Công thức lượng giác
  3. Giải SGK Toán 11 Bài 3 (Kết nối tri thức): Hàm số lượng giác
  4. Giải SGK Toán 11 Bài 4 (Kết nối tri thức): Phương trình lượng giác cơ bản
  5. Giải SGK Toán 11 (Kết nối tri thức) Bài tập cuối chương 1 trang 40
  6. Giải SGK Toán 11 Bài 5 (Kết nối tri thức): Dãy số
  7. Giải SGK Toán 11 Bài 6 (Kết nối tri thức): Cấp số cộng
  8. Giải SGK Toán 11 Bài 7 (Kết nối tri thức): Cấp số nhân
  9. Giải SGK Toán 11 (Kết nối tri thức) Bài tập cuối chương 2 trang 56
  10. Giải SGK Toán 11 Bài 8 (Kết nối tri thức): Mẫu số liệu ghép nhóm
  11. Giải SGK Toán 11 Bài 9 (Kết nối tri thức): Các số đặc trưng đo xu thế trung tâm
  12. Giải SGK Toán 11 (Kết nối tri thức) Bài tập cuối chương 3 trang 69
  13. Giải SGK Toán 11 Bài 10 (Kết nối tri thức): Đường thẳng và mặt phẳng trong không gian
  14. Giải SGK Toán 11 Bài 11 (Kết nối tri thức): Hai đường thẳng song song
  15. Giải SGK Toán 11 Bài 12 (Kết nối tri thức): Đường thẳng và mặt phẳng song song
  16. Giải SGK Toán 11 Bài 13 (Kết nối tri thức): Hai mặt phẳng song song
  17. Giải SGK Toán 11 Bài 14 (Kết nối tri thức): Phép chiếu song song
  18. Giải SGK Toán 11 (Kết nối tri thức): Bài tập cuối chương 4
  19. Giải SGK Toán 11 Bài 15 (Kết nối tri thức): Giới hạn của dãy số
  20. Giải SGK Toán 11 Bài 16 (Kết nối tri thức): Giới hạn của hàm số

Copyright © 2026 Học tập lớp 12 - Sách Toán - Học Tập AI
  • Sitemap
  • Chính sách
  • Giới thiệu
  • Hướng dẫn
  • Kết quả
  • Liên hệ
Back to Top
Menu
  • Sitemap
  • Chính sách
  • Giới thiệu
  • Hướng dẫn
  • Kết quả
  • Liên hệ
wpDiscuz