Skip to content

Học tập lớp 12

  • Trắc nghiệm Holland
  • Tính điểm xét tuyển
  • Danh sách trường Đại học
  • Kết quả bài thi

Học tập lớp 12

  • Home » 
  • Toán lớp 11

20 Bài tập Công thức lượng giác (sách mới) có đáp án – Toán 11

By Admin Lop12.com 23/02/2026 0

Bài tập Toán 11 Công thức lượng giác

A. Bài tập Công thức lượng giác

Bài 1. Tính sin2a và tan2a biết cos a = 14 và 3π2<a<2π.

Hướng dẫn giải

Vì 3π2<a<2πnên sina < 0.

Ta có:

sin2a + cos2a = 1 ⇒ sin2a = 1 – cos2a = 1 – Lý thuyết Toán 11 Kết nối tri thức Bài 2: Công thức lượng giác = 1516

⇒ sina = −154.

Ta có: sin2a = 2sina cosa = 2.Lý thuyết Toán 11 Kết nối tri thức Bài 2: Công thức lượng giác.14 = –158

Ta có: tana = sinacosa=−15

⇒tan2a=2tana1−tan2a=Lý thuyết Toán 11 Kết nối tri thức Bài 2: Công thức lượng giác==−215−14=157.

Bài 2. Tính

a) sinLý thuyết Toán 11 Kết nối tri thức Bài 2: Công thức lượng giác biết sin a = 34 và 0 < a < π2;

b) cos3π8.cosπ8 + sin3π8.sinπ8.

Hướng dẫn giải

a) Vì 0<a<π2 nên cosa > 0.

Ta có: sin2a + cos2a = 1 ⇒ cos2a = 1 – sin2a = 1-Lý thuyết Toán 11 Kết nối tri thức Bài 2: Công thức lượng giác=716

⇒ cosa = null.

Vậy sinLý thuyết Toán 11 Kết nối tri thức Bài 2: Công thức lượng giác=sinacosπ3−cosasinπ3=34.12−74.32=3−218 .

Lý thuyết Toán 11 Kết nối tri thức Bài 2: Công thức lượng giác

Suy ra: cos3π8.cosπ8+sin3π8.sinπ8=24+24=22.

Bài 3. Tính

a) cos(–15°) + cos255°;

b) sin13π24sin5π24.

Hướng dẫn giải

a) Ta có:

cos(-15o) + cos255o = 2.cos−15°+255°2.cos−15°−255°2

= 2.cos120o.cos(135o) = 2Lý thuyết Toán 11 Kết nối tri thức Bài 2: Công thức lượng giác

Vậy cos(–15°) + cos255° = 22.

b) Ta có:

Lý thuyết Toán 11 Kết nối tri thức Bài 2: Công thức lượng giác

Vậy sin13π24sin5π24=1+24.

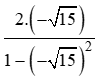
Bài 4. Rút gọn biểu thức sau:

Lý thuyết Toán 11 Chân trời sáng tạo Bài 3: Các công thức lượng giác

Hướng dẫn giải

Lý thuyết Toán 11 Chân trời sáng tạo Bài 3: Các công thức lượng giác

⇔ P=−2sinx

Vậy P = −2sin x.

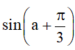
Bài 5. Chứng minh rằng: cosα−sinα=2cos(α+π4).

Hướng dẫn giải

Ta có:

Lý thuyết Toán 11 Chân trời sáng tạo Bài 3: Các công thức lượng giác

Bài 6. Cho sinα=13 và π2<α<π. Tính các giá trị lượng giác của góc 2α.

Hướng dẫn giải

Do π2<α<π ⇒ cos α < 0.

Ta có: cos2α=1−sin2α=89

⇒ cosα=−223 (do cos α < 0).

Lý thuyết Toán 11 Chân trời sáng tạo Bài 3: Các công thức lượng giác

tan2α=sin2αcos2α=−429.97=−427.

cot2α=1tan2α=−728.

Bài 7. Tính α + β biết tanα=25,  tanβ=37.

Hướng dẫn giải

Áp dụng công thức cộng đối với tang, ta được: Lý thuyết Toán 11 Cánh diều Bài 2: Các phép biến đổi lượng giác

Vậy α+β=π4.

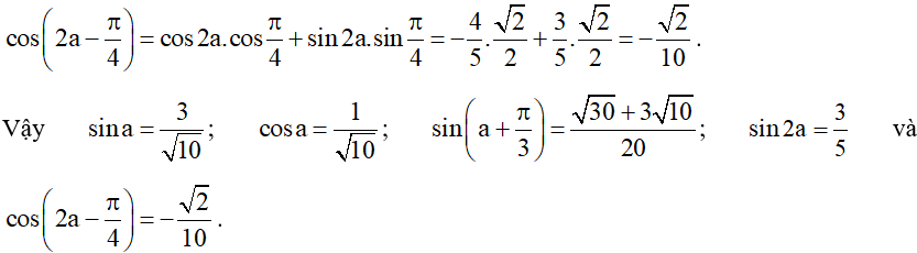
Bài 8. Cho cos2a=−45, với π4<a<π2. Tính sina, cosa, Lý thuyết Toán 11 Cánh diều Bài 2: Các phép biến đổi lượng giác, sin2a, Lý thuyết Toán 11 Cánh diều Bài 2: Các phép biến đổi lượng giác.

Hướng dẫn giải

Vì π4<a<π2 nên sina > 0, cosa > 0.

• Áp dụng công thức hạ bậc, ta được: sin2a=1−cos2a2=1+452=910

Suy ra sina=310 (do sina > 0)

• Áp dụng công thức hạ bậc, ta được: cos2a=1+cos2a2=1−452=110.

Suy ra cosa=110.

• Áp dụng công thức cộng đối với sin, ta được:

Lý thuyết Toán 11 Cánh diều Bài 2: Các phép biến đổi lượng giác

=310.12+110.32=30+31020.

• Áp dụng công thức nhân đôi, ta được:

sin2a=2sinacosa=2.310.110=35.

• Áp dụng công thức cộng đối với côsin, ta được:

Lý thuyết Toán 11 Cánh diều Bài 2: Các phép biến đổi lượng giác

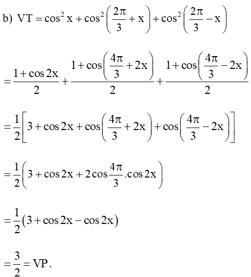
Bài 9. Chứng minh rằng:

a) cos3x.sinx−sin3x.cosx=14sin4x;

Lý thuyết Toán 11 Cánh diều Bài 2: Các phép biến đổi lượng giác

Hướng dẫn giải

a) VT = cos3x.sinx – sin3x.cosx

= cosx.sinx.(cos2x – sin2x)

=12sin2x.cos2x

=14sin4x = VP.

Vậy ta có điều phải chứng minh.

Lý thuyết Toán 11 Cánh diều Bài 2: Các phép biến đổi lượng giác

Bài 10. Cho ∆ABC. Chứng minh rằng:

a) sinA+sinB+sinC=4cosA2cosB2cosC2;

b) sinA+sinBcosA+cosB=cotC2;

c) sin2A+sin2B+sin2C=2SR2, với R là bán kính đường tròn ngoại tiếp ∆ABC và S là diện tích ∆ABC.

Hướng dẫn giải

∆ABC, có: A^+B^+C^=180°, suy ra A^+B^=180°−C^

Do đó A^+B^2=90°−C^2.

Lý thuyết Toán 11 Cánh diều Bài 2: Các phép biến đổi lượng giác

b) VT=sinA+sinBcosA+cosB=2sinA+B2cosA−B22cosA+B2cosA−B2

Lý thuyết Toán 11 Cánh diều Bài 2: Các phép biến đổi lượng giác

Vậy ta có điều phải chứng minh.

c) VT = sin2A + sin2B + sin2C

= 2sin(A + B).cos(A – B) + 2sinC.cosC

= 2sin(180° – C).cos(A – B) + 2sinC.cosC

= 2sinC.cos(A – B) + 2sinC.cosC

= 2sinC.[cos(A – B) + cosC]

= 2sinC.[cos(A – B) + cos(180° – A – B)]

= 2sinC.[cos(A – B) – cos(A + B)]

= –4sinC.sinA.sin(–B)

= 4sinA.sinB.sinC

=4.a2R.b2R.c2R=abc4R.2R2=2SR2=VP.

Vậy ta có điều phải chứng minh.

Bài 11. Khẳng định nào sau đây đúng?

A. sin(2018a) = 2018sina.cosa.

B. sin(2018a) = 2018sin(1009a).cos(1009a).

C. sin(2018a) = 2sinacosa.

D. sin(2018a) = 2sin(1009a).cos(1009a).

Hướng dẫn giải

Đáp án đúng là: D

Áp dụng công thức sin2α = 2sinα.cosα ta được

sin(2018a) = 2sin(1009a).cos(1009a).

Bài 12. Khẳng định nào sai trong các khẳng định sau?

A. sin2x=1−cos2x2.

B. cos2x=1+cos2x2.

C. sinx=2sinx2cosx2.

D. cos3x=cos3x−sin3x.

Hướng dẫn giải

Đáp án đúng là: D

Ta có cos3x = 4cos3x – 3cosx.

Bài 13. Công thức nào sau đây đúng?

A. cos3a = 3cosa – 4cos3a. 

B. cos3a = 4cos3a – 3cosa.

C. cos3a = 3cos3a – 4cosa.

D. cos3a = 4cosa – 3cos3a.

Hướng dẫn giải

Đáp án đúng là: B

Bài 14. Nếu tan(a+b) = 7, tan(a-b) = 4 thì giá trị đúng của tan2a là

A. −1127.   

B. 1127.   

C. −1327.    

D. 1327

Hướng dẫn giải

Đáp án đúng là: A

Ta có tan2a = tan[(a+b)+(a-b)] = tana+b+tana−b1+tana+b.tana−b=7+41−7.4=−1127.

Bài 15. Cho x, y là các góc nhọn và dương thỏa mãn cotx = 34., coty = 17. Tổng x+y bằng

A. π4.   

B. 3π4.   

C. π3.   

D. π.

Hướng dẫn giải

Đáp án đúng là: B

Ta có cot(x+y) = cotx.coty−1cotx+coty=34.17−134+17=−1.

Mặt khác 0<x,y<π2 suy ra 0<x+y<π. Do đó x+y = 3π4.

Bài 16. Trong ∆ABC, nếu sinBsinC= 2cosA thì ∆ABC là tam giác có tính chất nào sau đây?

A. Cân tại B.   

B. Cân tại A.   

C. Cân tại C.   

D. Vuông tại B.

Hướng dẫn giải

Đáp án đúng là: A

Ta có sinBsinC= 2cosA⇒sinB = 2sinC.cosA = sin(C+A)+sin(C-A)

Mặt khác A+B+C = π⇒B = π-(A+C) ⇒sinB = sin(A+C).

Do đó, ta được sin(C-A) = 0⇒A = C.

B. Lý thuyết Công thức lượng giác

1. Công thức cộng

cos (a – b) = cosa cosb + sina sinb

cos (a + b) = cosa cosb – sina sinb

sin (a – b) = sina cosb – cosa sinb

sin (a + b) = sina cosb + cosa sinb

tan (a-b) = tana−tanb1+tanatanb

tan (a+b) = tana+tanb1–tanatanb

(giả thiết các biểu thức đều có nghĩa).

Ví dụ: Không dùng máy tính, hãy tính sinCông thức lượng giác (Lý thuyết Toán lớp 11) | Kết nối tri thức và tan 15°.

Hướng dẫn giải

Ta có

sin Công thức lượng giác (Lý thuyết Toán lớp 11) | Kết nối tri thức = -sin7π6 = -sinCông thức lượng giác (Lý thuyết Toán lớp 11) | Kết nối tri thức

= -sinπcosπ6 – cosπsinπ6 = -0.32 – (-1).12 = 12.

Ta có

tan15o = tan(60o – 45o) = tan60°−tan45°1+tan60°.tan45°

=3−11+3.1=3−13+1=2−3

2. Công thức nhân đôi

sin2a = 2sina cosa

cos2a = cos2a – sin2a = 2cos2 – 1 = 1 – 2sin2a

tan2a = 2tana1−tan2a.

Chú ý: Từ công thức nhân đôi suy ra công thức hạ bậc:

cos2a=1+cos2a2

sin2a=1−cos2a2.

Ví dụ: Biết sinα = 25 và 0 < α < π2 . Tính sin2α ; cos2α và tan2α.

Hướng dẫn giải

Vì 0 < α < π2 nên cosα > 0.

Ta có:

sin2α + cos2α = 1 ⇒ cos2α = 1 – sin2α = 1-Công thức lượng giác (Lý thuyết Toán lớp 11) | Kết nối tri thức= 2125

⇒ cosα = 215.

Ta có: sin2α = 2sinα cosα = 2.25.215=42125

cos2α = 1 – 2sin2α = 1 – 2.Công thức lượng giác (Lý thuyết Toán lớp 11) | Kết nối tri thức= 1725

tanα=sinαcosα=22121

⇒ tan2α=2tanα1−tan2α=Công thức lượng giác (Lý thuyết Toán lớp 11) | Kết nối tri thức=42117.

3. Công thức biến đổi tích thành tổng

cosacosb = 12[cos(a-b) + cos(a+b)]

sinasinb = 12[cos(a-b) – cos(a+b)]

sinacosb = 12[sin(a-b) + sin(a+b)].

Ví dụ: Tính giá trị của biểu thức

a) A = sin7π12cos5π12;

b) B = sinπ12sin7π12.

Hướng dẫn giải

a) Ta có:

Công thức lượng giác (Lý thuyết Toán lớp 11) | Kết nối tri thức

Vậy A = 14.

b) Ta có:

Công thức lượng giác (Lý thuyết Toán lớp 11) | Kết nối tri thức

Vậy B = 14 .

4. Công thức biến đổi tổng thành tích

cosu + cosv = 2cosu+v2cosu–v2

cosu – cosv = -2sinu+v2sinu–v2

sinu + sinv = 2sinu+v2cosu–v2

sinu – sinv = 2cosu+v2sinu–v2.

Ví dụ: ChoA = cosπ17.cos4π17 và B = cos3π17 + cos5π17. Không dùng máy tính, tính giá trị của biểu thức AB.

Hướng dẫn giải

Ta có:

B = cos3π17 + cos5π17 = 2.cos3π17+5π172.cos3π17−5π172

= 2.cos4π17.cosCông thức lượng giác (Lý thuyết Toán lớp 11) | Kết nối tri thức = 2cos4π17.cosπ17.

Suy ra AB=cosπ17.cos4π17cos3π17+cos5π17=cosπ17.cos4π172cos4π17.cosπ17=12 .

Video bài giảng Toán 11 Bài 2: Công thức lượng giác – Kết nối tri thức

Tags : Tags bài tập Toán 11
Share
facebookShare on Facebook

Bài liên quan

Giải SGK Toán 11 Bài 12 (Kết nối tri thức): Đường thẳng và mặt phẳng song song

Giải SGK Toán 11 Bài 23 (Kết nối tri thức): Đường thẳng vuông góc với mặt phẳng

Giải SGK Toán 11 (Kết nối tri thức): Bài tập ôn tập cuối năm

Sách bài tập Toán 11 Bài 13 (Kết nối tri thức): Hai mặt phẳng song song

Sách bài tập Toán 11 Bài 26 (Kết nối tri thức): Khoảng cách

Giải Chuyên đề Toán 11 Kết nối tri thức Bài 4: Phép quay và phép đối xứng tâm

20 câu Trắc nghiệm Công thức lượng giác (Kết nối tri thức 2025) có đáp án – Toán lớp 11

20 Bài tập Giới hạn của hàm số (sách mới) có đáp án – Toán 11

0 Góp ý
Phản hồi nội tuyến
Xem tất cả bình luận

Mục lục

  1. Giải SGK Toán 11 Bài 1 (Kết nối tri thức): Giá trị lượng giác của góc lượng giác
  2. Giải SGK Toán 11 Bài 2 (Kết nối tri thức): Công thức lượng giác
  3. Giải SGK Toán 11 Bài 3 (Kết nối tri thức): Hàm số lượng giác
  4. Giải SGK Toán 11 Bài 4 (Kết nối tri thức): Phương trình lượng giác cơ bản
  5. Giải SGK Toán 11 (Kết nối tri thức) Bài tập cuối chương 1 trang 40
  6. Giải SGK Toán 11 Bài 5 (Kết nối tri thức): Dãy số
  7. Giải SGK Toán 11 Bài 6 (Kết nối tri thức): Cấp số cộng
  8. Giải SGK Toán 11 Bài 7 (Kết nối tri thức): Cấp số nhân
  9. Giải SGK Toán 11 (Kết nối tri thức) Bài tập cuối chương 2 trang 56
  10. Giải SGK Toán 11 Bài 8 (Kết nối tri thức): Mẫu số liệu ghép nhóm
  11. Giải SGK Toán 11 Bài 9 (Kết nối tri thức): Các số đặc trưng đo xu thế trung tâm
  12. Giải SGK Toán 11 (Kết nối tri thức) Bài tập cuối chương 3 trang 69
  13. Giải SGK Toán 11 Bài 10 (Kết nối tri thức): Đường thẳng và mặt phẳng trong không gian
  14. Giải SGK Toán 11 Bài 11 (Kết nối tri thức): Hai đường thẳng song song
  15. Giải SGK Toán 11 Bài 12 (Kết nối tri thức): Đường thẳng và mặt phẳng song song
  16. Giải SGK Toán 11 Bài 13 (Kết nối tri thức): Hai mặt phẳng song song
  17. Giải SGK Toán 11 Bài 14 (Kết nối tri thức): Phép chiếu song song
  18. Giải SGK Toán 11 (Kết nối tri thức): Bài tập cuối chương 4
  19. Giải SGK Toán 11 Bài 15 (Kết nối tri thức): Giới hạn của dãy số
  20. Giải SGK Toán 11 Bài 16 (Kết nối tri thức): Giới hạn của hàm số

Copyright © 2026 Học tập lớp 12 - Sách Toán - Học Tập AI
  • Sitemap
  • Chính sách
  • Giới thiệu
  • Hướng dẫn
  • Kết quả
  • Liên hệ
Back to Top
Menu
  • Sitemap
  • Chính sách
  • Giới thiệu
  • Hướng dẫn
  • Kết quả
  • Liên hệ
wpDiscuz