Skip to content

Học tập lớp 12

  • Trắc nghiệm Holland
  • Tính điểm xét tuyển
  • Danh sách trường Đại học
  • Kết quả bài thi

Học tập lớp 12

  • Home » 
  • Toán lớp 11

20 Bài tập Cấp số cộng (sách mới) có đáp án – Toán 11

By Admin Lop12.com 23/02/2026 0

Bài tập Toán 11 Cấp số cộng

A. Bài tập Cấp số cộng

Bài 1: Xác định công sai, số hạng thứ 5, số hạng tổng quát và số hạng thứ 100 của mỗi cấp số cộng sau:

a) 3, 8, 13, 18, …;

b) 1, –2, –5, –8, …

Hướng dẫn giải

a) Ta thấy: 8 – 3 = 5; 13 – 8 = 5

Suy ra cấp số cộng có u1 = 3, công sai d = 5

Số hạng tổng quát của dãy số là: un = 3 + 5(n – 1) = 3 + 5n – 5 = 5n – 2.

Số hạng thứ 5: u5 = 3 + 5 . (5 – 1) = 23

Số hạng thứ 100: u100 = 3 + 5 . (100 – 1) = 498.

b) Ta thấy: –2 – 1= –3; –5 – (–2) = –3

Suy ra cấp số cộng có u1 = 1, công sai d = –3

Số hạng tổng quát của dãy số là: un = 1 – 3(n − 1) = 1 – 3n + 3 = 4 – 3n.

Số hạng thứ 5: u5 = 1 − 3. (5 – 1) = −11

Số hạng thứ 100: u100 = 1 – 3. (100 – 1) = −296.

Bài 2: Viết năm số hạng đầu của mỗi dãy số (un) sau và xét xem nó có phải là cấp số cộng không. Nếu dãy số đó là cấp số cộng, hãy tìm công sai d và viết số hạng tổng quát của nó dưới dạng un = u1 + (n – 1)d.

a) un = 3 + 4n;

b) un = 6n − 4;

c) u1 = 3, un = un–1 + n.

Hướng dẫn giải

a) u1 = 7; u2 = 11; u3 = 15; u4 = 19; u5 = 23

Ta có: un − un–1 = 3 + 4n − [3 + 4(n − 1)] = 4, với ∀n ≥ 2.

Suy ra dãy số là cấp số cộng có u1 = 7 và công sai d = 4

Số hạng tổng quát: un = 7 + 4(n − 1).

b) u1 = 2; u2 = 8; u3 = 14; u4 = 20; u5 = 26

Ta có: un − un–1 = 6n − 4 − [6(n − 1) − 4] = 6, với ∀ n ≥ 2.

Suy ra dãy số là cấp số cộng có u1 = 2 và công sai d = 6.

Số hạng tổng quát: un = 2 + 6(n − 1).

c) u1 = 3; u2 = 5; u3 = 8; u4 = 12; u5 =17

Ta có: u2 − u1 = 2 ≠ u3 – u2 = 3

Suy ra đây không phải cấp số cộng.

Bài 3: Một cấp số cộng có số hạng thứ 5 bằng 22 và số hạng thứ 12 bằng 43. Tìm số hạng thứ 50 của cấp số cộng này.

Hướng dẫn giải

Giả sử u1 là số hạng đầu và d là công sai của cấp số cộng đó. Ta có:

u5 = u1 + 4d = 22

u12 = u1 + 11d = 43

Giải hệ phương trình gồm hai phương trình trên ta được u1 = 10 và d = 3.

Vậy số hạng thứ 50 của cấp số cộng này là u50 = u1­ + 49d = 10 + 49 . 3 = 157.

Bài 4: Một cấp số cộng có số hạng đầu bằng 1 và công sai bằng 4. Hỏi phải lấy tổng của bao nhiêu số hạng đầu của cấp số cộng này để có tổng bằng 561?

Hướng dẫn giải

Gọi n là số các số hạng đầu cần lấy tổng, ta có:

561 = Sn =n2[2.1+(n-1).4] = n2(-2+4n) = –n + 2n2

Do đó 2n2 – n – 561 = 0.

Giải phương trình bậc hai này ta được n = –16,5 (loại) hoặc n = 17.

Vậy ta phải lấy 17 số hạng đầu của cấp số cộng đã cho để có tổng bằng 561.

Bài 5: Vào năm 2020, dân số của một thành phố là khoảng 1,5 triệu người. Giả sử mỗi năm, dân số của thành phố này tăng thêm khoảng 15 nghìn người. Hãy ước tính dân số của thành phố vào năm 2030.

Hướng dẫn giải

Dân số mỗi năm của thành phố lập thành cấp số cộng có u1 = 1 500 (nghìn người), công sai d = 15.

Dân số mỗi năm có dạng tổng quát là: un = 1 500 + 15(n − 1).

Dân số của năm 2030 tức n = 11 thì u11 = 1 500 + 15 . (11 − 1) = 1 650 (nghìn người)

Vậy ước tính dân số của thành phố năm 2030 là 1650 nghìn người hay 1,65 triệu người.

Bài 6. Cho cấp số cộng (un) có u1 = 321 và un + 1 = un – 3, ∀n ∈ ℕ*. Số 99 là số hạng thứ bao nhiêu trong dãy số?

A. 72;

B. 73;

C. 74;

D. 75.

Hướng dẫn giải

Đáp án đúng là: D

Ta có: un + 1 = un – 3 ⇒ un + 1 − un = −3 ⇒ d = −3.

un = u1 + (n – 1)d = 321 + (n – 1)(−3) = −3n + 324.

Ta có: un = 99 ⇒ −3n + 324 = 99

⇒ −3n = −225 ⇒ n = 75.

Vậy 99 là số hạng thứ 75 trong dãy số.

Bài 7. Cho cấp số cộng (un) có u2 = 2017 và u3 = 1945. Số hạng thứ 6 của cấp số cộng đã cho bằng bao nhiêu?

Hướng dẫn giải

Ta có u3 – u2 = 1945 – 2017 = –72 ⇒ d = −72.

⇒ u1 = u2 − d = 2017 + 72 = 2089.

u6 = u1 + 5d = 2089 + 5.(−72) = 1729.

Vậy số hạng thứ 6 của cấp số cộng đã cho là 1729.

Bài 8. Cho cấp số cộng (un) có u1=13,  u8=26 . Tìm d và xác định công thức số hạng tổng quát của cấp số cộng đã cho.

Hướng dẫn giải

Ta có <u8=u1+7d ⇔26=13+7d 

⇔7d=773⇔d=113.

Vậy công thức số hạng tổng quát của cấp số cộng (un) là un=u1+113(n–1)

Bài 9. Cho dãy số (un) với un = 5 – 3n.

a) Chứng minh dãy số (un) là cấp số cộng. Chỉ rõ u1 và d.

b) Tìm tổng của 100 số hạng đầu tiên của dãy.

Hướng dẫn giải

a) Xét hiệu un + 1 – un = [5 – 3(n + 1)] – (5 – 3n) = –3.

Do đó un + 1 = un + (–3)

Suy ra dãy số (un) là cấp số cộng; u1 = 5 – 3.1 = 2; công sai d = –3.

b) Tổng của 100 số hạng đầu tiên của dãy là:

Lý thuyết Toán 11 Cánh diều Bài 2: Cấp số cộng.

Bài 10. Cho cấp số cộng có u1 = 3; công sai d = 4.

a) Viết công thức của số hạng tổng quát un.

b) Số 155 là số hạng thứ mấy của cấp số cộng trên?

c) Tính tổng 200 số hạng đầu của dãy.

Hướng dẫn giải

a) Ta có công thức của số hạng tổng quát un là:

un = u1 + (n – 1).d = 3 + (n – 1).4 = 4n – 1.

Vậy un = 4n – 1.

b) Giả sử 155 là số hạng thứ n của cấp số cộng. Ta có:

n=un−u1d+1=155−34+1=39.

Vậy 155 là số hạng thứ 39 của cấp số cộng.

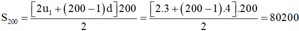
c) Tổng 200 số hạng đầu của dãy là:

Lý thuyết Toán 11 Cánh diều Bài 2: Cấp số cộng.

Vậy tổng 200 số hạng đầu của dãy là S200 = 80200.

B. Lý thuyết Cấp số cộng

1. Cấp số cộng

– Cấp số cộng là một dãy số (vô hạn hoặc hữu hạn) mà trong đó, kể từ số hạng thứ hai, mỗi số hạng đều bằng tổng của số hạng đứng ngay trước nó với một số d không đổi, nghĩa là:

un + 1 = un + d với n ∈ ℕ*.

Số d được gọi là công sai của cấp số cộng.

Ví dụ: Cho cấp số cộng: −12;  0;  12;  32;  … Tìm số hạng đầu, công sai và u5.

Hướng dẫn giải

Cấp số cộng đã cho có số hạng đầu u1=−12; công sai d=12.

Ta có u4=32 nên u5=u4+d=32+12=2.

2. Số hạng tổng quát của cấp số cộng

Định lí 1: Nếu một cấp số cộng (un) có số hạng đầu u1 và công sai d thì số hạng tổng quát un của nó được xác định bởi công thức:

un = u1 + (n – 1)d, n ≥ 2.

Ví dụ: Cho một cấp số cộng có u1 = −3; u6 = 27.

Hướng dẫn giải

Ta có: u6 = u1 + (6 – 1)d = 27

⇔ −3 + 5d = 27 ⇔ 5d = 30 ⇔ d = 6.

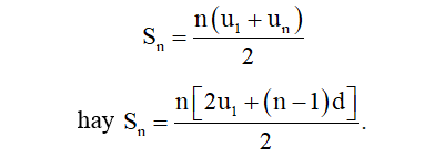
3. Tổng của n số hạng đầu tiên của cấp số cộng

Định lí 2: Giả sử (un) là một cấp số cộng có công sai d. Đặt Sn = u1 + u2 + … + un, khi đó

Cấp số cộng (Lý thuyết Toán lớp 11) | Chân trời sáng tạo

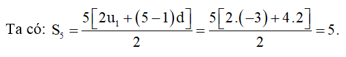
Ví dụ: Cho cấp số cộng (un) có u1 = −3; d = 2.

Cấp số cộng (Lý thuyết Toán lớp 11) | Chân trời sáng tạo

Vậy tổng của 5 số hạng đầu tiên của dãy số (un) là 5.

Video bài giảng Toán 11 Bài 6: Cấp số cộng – Kết nối tri thức

 

Tags : Tags bài tập Toán 11
Share
facebookShare on Facebook

Bài liên quan

Giải SGK Toán 11 Bài 12 (Kết nối tri thức): Đường thẳng và mặt phẳng song song

Giải SGK Toán 11 Bài 23 (Kết nối tri thức): Đường thẳng vuông góc với mặt phẳng

Giải SGK Toán 11 (Kết nối tri thức): Bài tập ôn tập cuối năm

Sách bài tập Toán 11 Bài 13 (Kết nối tri thức): Hai mặt phẳng song song

Sách bài tập Toán 11 Bài 26 (Kết nối tri thức): Khoảng cách

Giải Chuyên đề Toán 11 Kết nối tri thức Bài 4: Phép quay và phép đối xứng tâm

20 câu Trắc nghiệm Công thức lượng giác (Kết nối tri thức 2025) có đáp án – Toán lớp 11

20 Bài tập Giới hạn của hàm số (sách mới) có đáp án – Toán 11

0 Góp ý
Phản hồi nội tuyến
Xem tất cả bình luận

Mục lục

  1. Giải SGK Toán 11 Bài 1 (Kết nối tri thức): Giá trị lượng giác của góc lượng giác
  2. Giải SGK Toán 11 Bài 2 (Kết nối tri thức): Công thức lượng giác
  3. Giải SGK Toán 11 Bài 3 (Kết nối tri thức): Hàm số lượng giác
  4. Giải SGK Toán 11 Bài 4 (Kết nối tri thức): Phương trình lượng giác cơ bản
  5. Giải SGK Toán 11 (Kết nối tri thức) Bài tập cuối chương 1 trang 40
  6. Giải SGK Toán 11 Bài 5 (Kết nối tri thức): Dãy số
  7. Giải SGK Toán 11 Bài 6 (Kết nối tri thức): Cấp số cộng
  8. Giải SGK Toán 11 Bài 7 (Kết nối tri thức): Cấp số nhân
  9. Giải SGK Toán 11 (Kết nối tri thức) Bài tập cuối chương 2 trang 56
  10. Giải SGK Toán 11 Bài 8 (Kết nối tri thức): Mẫu số liệu ghép nhóm
  11. Giải SGK Toán 11 Bài 9 (Kết nối tri thức): Các số đặc trưng đo xu thế trung tâm
  12. Giải SGK Toán 11 (Kết nối tri thức) Bài tập cuối chương 3 trang 69
  13. Giải SGK Toán 11 Bài 10 (Kết nối tri thức): Đường thẳng và mặt phẳng trong không gian
  14. Giải SGK Toán 11 Bài 11 (Kết nối tri thức): Hai đường thẳng song song
  15. Giải SGK Toán 11 Bài 12 (Kết nối tri thức): Đường thẳng và mặt phẳng song song
  16. Giải SGK Toán 11 Bài 13 (Kết nối tri thức): Hai mặt phẳng song song
  17. Giải SGK Toán 11 Bài 14 (Kết nối tri thức): Phép chiếu song song
  18. Giải SGK Toán 11 (Kết nối tri thức): Bài tập cuối chương 4
  19. Giải SGK Toán 11 Bài 15 (Kết nối tri thức): Giới hạn của dãy số
  20. Giải SGK Toán 11 Bài 16 (Kết nối tri thức): Giới hạn của hàm số

Copyright © 2026 Học tập lớp 12 - Sách Toán - Học Tập AI
  • Sitemap
  • Chính sách
  • Giới thiệu
  • Hướng dẫn
  • Kết quả
  • Liên hệ
Back to Top
Menu
  • Sitemap
  • Chính sách
  • Giới thiệu
  • Hướng dẫn
  • Kết quả
  • Liên hệ
wpDiscuz