Skip to content

Học tập lớp 12

  • Trắc nghiệm Holland
  • Tính điểm xét tuyển
  • Danh sách trường Đại học
  • Kết quả bài thi

Học tập lớp 12

  • Home » 
  • Toán lớp 11

20 Bài tập Giới hạn của dãy số (sách mới) có đáp án – Toán 11

By Admin Lop12.com 23/02/2026 0

Bài tập Toán 11 Giới hạn của dãy số

A. Bài tập Giới hạn của dãy số

Bài 1: Tìm các giới hạn sau:

a) limn→+∞(2n3-3n+2);

b) limn→+∞2n+1n−2;

c) Lý thuyết Toán 11 Kết nối tri thức Bài 15: Giới hạn của dãy số

Hướng dẫn giải

a)limn→+∞(2n3-3n+2) = limn→+∞Lý thuyết Toán 11 Kết nối tri thức Bài 15: Giới hạn của dãy số = +∞

Vì limn→+∞n3=+∞ và Lý thuyết Toán 11 Kết nối tri thức Bài 15: Giới hạn của dãy số = 2.

b) limn→+∞2n+1n−2=limn→+∞2+1n1−2n= 2.

c) Lý thuyết Toán 11 Kết nối tri thức Bài 15: Giới hạn của dãy số

=limn→+∞4+3n+1n29−6n+1n2=49

Bài 2: Cho hai dãy số không âm (un) và (vn) với limn→+∞un=3 và limn→+∞vn=5. Tìm giới hạn của: limn→+∞vn2vn−un.

Hướng dẫn giải

Ta có: limn→+∞vn=5, do đó limn→+∞vn2=limn→+∞(vn . un) = 5.5 = 25.

limn→+∞(vn – un) = 5-3 = 2.

Vậy limn→+∞vn2vn−un = 252.

Bài 3: Tính tổng của cấp số nhân lùi vô hạn: 3; – 1;Lý thuyết Toán 11 Kết nối tri thức Bài 15: Giới hạn của dãy số

Hướng dẫn giải

un là cấp số nhân lùi vô hạn có số hạng đầu u1 = 3 và công bội q = −13.

Tổng của cấp số nhân này là: S = u11−q = 31+13=94.

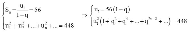
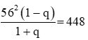
Bài 4: Một cấp số nhân lùi vô hạn có tổng các số hạng bằng 56, tổng bình phương các số hạng bằng 448. Số hạng đầu tiên của cấp số nhân đó là bao nhiêu?

Hướng dẫn giải

Lý thuyết Toán 11 Kết nối tri thức Bài 15: Giới hạn của dãy số

⇒u12⋅11−q2=448

⇒ Lý thuyết Toán 11 Kết nối tri thức Bài 15: Giới hạn của dãy số

Suy ra: q = 34.

Ta tìm được: u1 = 14.

Bài 5. Tính các giới hạn sau:

a) lim35n−2;

b) lim−4n+62n;

c) lim4n+6.2n3.4n;

d) lim5+−3n24n.

Hướng dẫn giải

a) Ta có Lý thuyết Toán 11 Cánh diều Bài 1: Giới hạn của dãy số.

Vậy lim35n−2=0.

b) Ta có Lý thuyết Toán 11 Cánh diều Bài 1: Giới hạn của dãy số.

Vậy lim−4n+62n=−2.

Lý thuyết Toán 11 Cánh diều Bài 1: Giới hạn của dãy số.

Vậy lim4n+6.2n3.4n=13.

d) Ta có: Lý thuyết Toán 11 Cánh diều Bài 1: Giới hạn của dãy số

Vậy lim5+−3n24n=0.

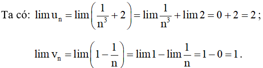
Bài 6. Cho un=1n3+2 và vn=1−1n. Tính các giới hạn:

lim (un + vn); lim(un – vn); lim(un.vn);  limunvn.

Hướng dẫn giải

Lý thuyết Toán 11 Cánh diều Bài 1: Giới hạn của dãy số.

Khi đó:

• lim (un + vn) = lim un + lim vn = 2 + 1 = 3.

• lim (un – vn) = lim un – lim vn = 2 – 1 = 1.

• lim (un . vn) = lim un . lim vn = 2 . 1 = 2

• limunvn=limunlimvn=21=2.

Bài 7. Tính tổng của cấp số nhân lùi vô hạn biết u1 = 1, công bội q=23.

Hướng dẫn giải

Tổng của cấp số nhân lùi vô hạn với u1 = 1, công bội q=23 là:

  S=u1+u1q+…+u1qn−1+…=11−23=3.

Vậy S = 3.

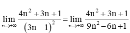
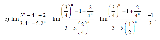
Bài 8. Tính các giới hạn sau:

a) lim2n+6n−3 ;

b) limn3−n+31−2n3 ;

c) lim3n−4n+23 . 4n−5 . 2n .

Hướng dẫn giải

a) lim2n+6n−3=lim2+6n1−3n=2 ;

b) limn3−n+31−2n3=lim1−nn3+3n31n3−2=lim1−1n2+3n31n3−2=−12 ;

Lý thuyết Toán 11 Chân trời sáng tạo Bài 1: Giới hạn của dãy số

Bài 9. Tìm số hạng tổng quát của cấp số nhân lùi vô hạn có công bội là –35  và tính tổng của cấp số nhân lùi vô hạn.

Hướng dẫn giải

Lý thuyết Toán 11 Chân trời sáng tạo Bài 1: Giới hạn của dãy số

Suy ra số hạng đầu tiên của dãy là: u1 = 1.

Khi đó tổng cấp số nhân lùi vô hạn là: 

Lý thuyết Toán 11 Chân trời sáng tạo Bài 1: Giới hạn của dãy số

Vậy số hạng tổng quát của cấp số nhân lùi vô hạn là: Lý thuyết Toán 11 Chân trời sáng tạo Bài 1: Giới hạn của dãy số  và tổng của cấp số nhân lùi vô hạn là S=58 .

Bài 10. Tính các giới hạn sau:

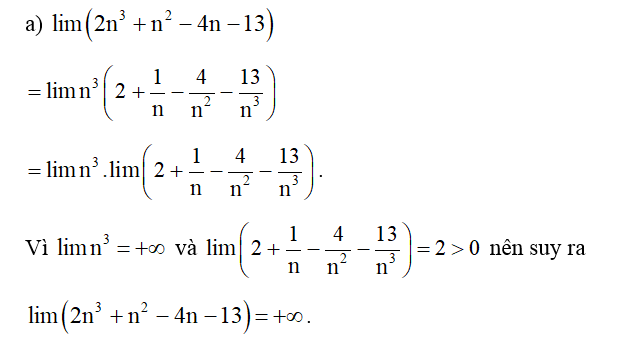
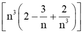
a) lim2n3+n2−4n−13 ;

b) lim4 . 2n−2 . 3n+13n .

Hướng dẫn giải

Lý thuyết Toán 11 Chân trời sáng tạo Bài 1: Giới hạn của dãy số

Lý thuyết Toán 11 Chân trời sáng tạo Bài 1: Giới hạn của dãy số

B. Lý thuyết Giới hạn của dãy số

1. Giới hạn hữu hạn của dãy số

1.1. Giới hạn 0 của dãy số

Ta nói (un) có giới hạn 0 khi n dần tới dương vô cực, nếu |un| nhỏ hơn một số dương bé tùy ý cho trước, kể từ một số hạng nào đó trở đi.

Kí hiệu: limn→+∞un=0  hay un→0  khi n→+∞

Ví dụ: Cho dãy số (un) với un=2n . Tìm giới hạn của dãy số.

Hướng dẫn giải

Giới hạn của dãy số (Lý thuyết Toán lớp 11) | Chân trời sáng tạo

Với n > 10 000   thì n>10 000=100 .

Giới hạn của dãy số (Lý thuyết Toán lớp 11) | Chân trời sáng tạo

Suy ra limn→+∞un=0 .

Một vài giới hạn đặc biệt:

• lim1nk=0 , với k nguyên dương bất kì.

• limqn=0 , với q là số thực thỏa mãn |q| < 1.

Ví dụ: Tìm các giới hạn sau:

a) lim1n3 ;

Giới hạn của dãy số (Lý thuyết Toán lớp 11) | Chân trời sáng tạo

Hướng dẫn giải

a) Do 3 là một số nguyên dương nên lim1n3=0 ;

b) Do |−12|=12<1  nên lim−12n=0.

1.2. Giới hạn hữu hạn của dãy số

Ta nói dãy số có giới hạn hữu hạn là số a (hay un dần tới a) khi n dần tới dương vô cực, nếu lim (un – a) = 0.

Kí hiệu: limn→+∞un=a  hay lim un = a khi n → +∞.

Chú ý: Nếu un = c (c là hằng số) thì limun=limc=c

Ví dụ: Cho un=−n+12+3n.  Chứng minh rằng limn→+∞un=−13 .

Hướng dẫn giải

Giới hạn của dãy số (Lý thuyết Toán lớp 11) | Chân trời sáng tạo

Theo định nghĩa, ta có limn→+∞un=−13 .

2. Các phép toán về giới hạn hữu hạn của dãy số

Cho lim un = a, lim vn = b và c là hằng số. Khi đó:

• lim (un + vn) = a + b                        

• lim (un – vn) = a – b

• lim (c.un) = c . a                               

• lim (un.un) = a . b

•  limunvn=ab (b≠0 )                         

• Nếu un≥0, ∀n∈ℕ*  thì a≥0  và limun=a

Ví dụ: Tìm các giới hạn sau:

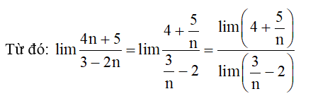
a)  lim4n+53−2n;                                   

b) lim4n2+32n .

Hướng dẫn giải

a) Ta có: 4n+53−2n=4+5n3n−2

Từ đó: lim4n+53−2n=lim4+5n3n−2=lim4+5nlim3n−2

Giới hạn của dãy số (Lý thuyết Toán lớp 11) | Chân trời sáng tạo

b) lim4n2+32n=lim4n2+34n2=lim1+34n2

=lim1+34n2=lim1+34lim1n2=1+34 . 0=1.

3. Tổng của cấp số nhân lùi vô hạn

Cấp số nhân vô hạn (un) có công bội q thõa mãn |q| < 1 được gọi là cấp số nhân lùi vô hạn.

Cấp số nhân lùi vô hạn nàu có tổng là:

S=u1+u2+…+un+…=u11−q.

Ví dụ: Tính tổng của cấp số nhân lùi vô hạn: Giới hạn của dãy số (Lý thuyết Toán lớp 11) | Chân trời sáng tạo

 

Hướng dẫn giải

Ta có dãy số Giới hạn của dãy số (Lý thuyết Toán lớp 11) | Chân trời sáng tạo là một cấp số nhân lùi vô hạn với số hạng đầu là u1=1 và công bội q=−13  nên

 

Giới hạn của dãy số (Lý thuyết Toán lớp 11) | Chân trời sáng tạo

4. Giới hạn vô cực

• Ta nói dãy số (un) có giới hạn là +∞ khi n → +∞, nếu un có thể lớn hơn một số dương bất kì, kể từ một số hạng nào đó trở đi.

Kí hiệu: lim un = + ∞ hay un → +∞ khi n → +∞.

• Dãy số (un) có giới hạn là −∞ khi n → +∞, nếu lim un = + ∞.

Kí hiệu: lim un = − ∞ hay un → −∞ khi n → +∞.

Chú ý:

• lim un = + ∞ ⇔ lim (−un) = − ∞;

• Nếu lim un = + ∞ hoặc lim un = − ∞ thì lim1un=0 ;

• Nếu lim un = 0 và un > 0 với mọi n thì lim1un=+∞ .

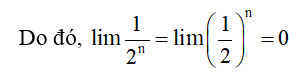
Ví dụ: Tìm giới hạn lim2n .

Hướng dẫn giải

Từ 2 > 1 suy ra 0<12<1

Giới hạn của dãy số (Lý thuyết Toán lớp 11) | Chân trời sáng tạo

Mà 2n > 0 với mọi n nên lim 2n = + ∞.

Nhận xét:

• limnk=+∞ k∈ℕ, k≥1 ;

• limqn=+∞ q>1 .

Video bài giảng Toán 11 Bài 15: Giới hạn của dãy số – Kết nối tri thức

 

Tags : Tags bài tập Toán 11
Share
facebookShare on Facebook

Bài liên quan

Giải SGK Toán 11 Bài 12 (Kết nối tri thức): Đường thẳng và mặt phẳng song song

Giải SGK Toán 11 Bài 23 (Kết nối tri thức): Đường thẳng vuông góc với mặt phẳng

Giải SGK Toán 11 (Kết nối tri thức): Bài tập ôn tập cuối năm

Sách bài tập Toán 11 Bài 13 (Kết nối tri thức): Hai mặt phẳng song song

Sách bài tập Toán 11 Bài 26 (Kết nối tri thức): Khoảng cách

Giải Chuyên đề Toán 11 Kết nối tri thức Bài 4: Phép quay và phép đối xứng tâm

20 câu Trắc nghiệm Công thức lượng giác (Kết nối tri thức 2025) có đáp án – Toán lớp 11

20 Bài tập Giới hạn của hàm số (sách mới) có đáp án – Toán 11

0 Góp ý
Phản hồi nội tuyến
Xem tất cả bình luận

Mục lục

  1. Giải SGK Toán 11 Bài 1 (Kết nối tri thức): Giá trị lượng giác của góc lượng giác
  2. Giải SGK Toán 11 Bài 2 (Kết nối tri thức): Công thức lượng giác
  3. Giải SGK Toán 11 Bài 3 (Kết nối tri thức): Hàm số lượng giác
  4. Giải SGK Toán 11 Bài 4 (Kết nối tri thức): Phương trình lượng giác cơ bản
  5. Giải SGK Toán 11 (Kết nối tri thức) Bài tập cuối chương 1 trang 40
  6. Giải SGK Toán 11 Bài 5 (Kết nối tri thức): Dãy số
  7. Giải SGK Toán 11 Bài 6 (Kết nối tri thức): Cấp số cộng
  8. Giải SGK Toán 11 Bài 7 (Kết nối tri thức): Cấp số nhân
  9. Giải SGK Toán 11 (Kết nối tri thức) Bài tập cuối chương 2 trang 56
  10. Giải SGK Toán 11 Bài 8 (Kết nối tri thức): Mẫu số liệu ghép nhóm
  11. Giải SGK Toán 11 Bài 9 (Kết nối tri thức): Các số đặc trưng đo xu thế trung tâm
  12. Giải SGK Toán 11 (Kết nối tri thức) Bài tập cuối chương 3 trang 69
  13. Giải SGK Toán 11 Bài 10 (Kết nối tri thức): Đường thẳng và mặt phẳng trong không gian
  14. Giải SGK Toán 11 Bài 11 (Kết nối tri thức): Hai đường thẳng song song
  15. Giải SGK Toán 11 Bài 12 (Kết nối tri thức): Đường thẳng và mặt phẳng song song
  16. Giải SGK Toán 11 Bài 13 (Kết nối tri thức): Hai mặt phẳng song song
  17. Giải SGK Toán 11 Bài 14 (Kết nối tri thức): Phép chiếu song song
  18. Giải SGK Toán 11 (Kết nối tri thức): Bài tập cuối chương 4
  19. Giải SGK Toán 11 Bài 15 (Kết nối tri thức): Giới hạn của dãy số
  20. Giải SGK Toán 11 Bài 16 (Kết nối tri thức): Giới hạn của hàm số

Copyright © 2026 Học tập lớp 12 - Sách Toán - Học Tập AI
  • Sitemap
  • Chính sách
  • Giới thiệu
  • Hướng dẫn
  • Kết quả
  • Liên hệ
Back to Top
Menu
  • Sitemap
  • Chính sách
  • Giới thiệu
  • Hướng dẫn
  • Kết quả
  • Liên hệ
wpDiscuz