Skip to content

Học tập lớp 12

  • Trắc nghiệm Holland
  • Tính điểm xét tuyển
  • Danh sách trường Đại học
  • Kết quả bài thi

Học tập lớp 12

  • Home » 
  • Toán lớp 11

20 Bài tập Dãy số (sách mới) có đáp án – Toán 11

By Admin Lop12.com 23/02/2026 0

Bài tập Toán 11 Dãy số

A. Bài tập Dãy số

Bài 1: Viết năm số hạng đầu và số hạng thứ 100 của các dãy số (un) có số hạng tổng quát cho bởi:

a) u­n = 4n – 2;

b) un = 3 . 2n + 1.

Hướng dẫn giải

a) Năm số hạng đầu của dãy số là: 2, 6, 10, 14, 18.

Số hạng thứ 100 của dãy số là: u­100 = 4.100 – 2 = 398.

b) Năm số hạng đầu của dãy số là: 7, 13, 25, 49, 97.

Số hạng thứ 100 của dãy số là: u100 = 3 . 2100 + 1.

Bài 2: Dãy số (un) cho bởi hệ thức truy hồi: u1 = 1, u­n = n . un-1 với n ≥ 2.

a) Viết năm số hạng đầu của dãy số.

b) Dự đoán công thức số hạng tổng quát un.

Hướng dẫn giải

a) Năm số hạng đầu của dãy số là: 1, 2, 6, 24, 120.

b) Ta thấy u1 =1!, u2 = 2!, u3 = 3!, u4 = 4!, u5 = 5!.

Vậy công thức số hạng tổng quát là un = n!.

Bài 3: Xét tính tăng, giảm của dãy số (un), biết:

a) un = 3n – 1;

b) un = – 3n + 1.

Hướng dẫn giải

a) Ta có: un+1 – un = [3(n + 1) – 1] – (3n – 1) = (3n + 2) – 3n + 1 = 3 > 0, tức là un+1 > un

Suy ra đây là dãy số tăng.

b) Ta có: un+1 – un = [–3(n + 1) + 1] – (–3n + 1) = (–3n – 2) + 3n – 1 = – 3 < 0, tức là un+1 < un.

Suy ra đây là dãy số giảm.

Bài 4: Trong các dãy số (un) sau, dãy số nào bị chặn dưới, bị chặn trên, bị chặn?

a) un = 2n – 1;

b) un = 2n+22n+3;

c) un = cos n.

Hướng dẫn giải

a) un = 2n – 1 ≥ 1 với ∀n ∈ ℕ*

Vậy dãy số (un) bị chặn dưới.

b) Dãy số (un) bị chặn trên, vì un=2n+22n+3=2n+3−12n+3=1−12n+3<1, ∀n ∈ ℕ*.

Dãy số (un) bị chặn dưới, vì un=2n+22n+3≥0, ∀n ∈ ℕ*.

Vậy dãy số (un) bị chặn.

c) Ta có: −1 ≤ cos n ≤ 1 ∀n ∈ ℕ*.

Vậy dãy số (un) bị chặn.

Bài 5: Viết số hạng tổng quát của dãy số tăng gồm tất cả các số nguyên dương mà mỗi số hạng của nó:

a) Đều chia hết cho 2;

b) Khi chia cho 3 dư 1.

Hướng dẫn giải

a) un = 2n (∀n ∈ ℕ*).

b) un = 3n + 1 (∀n ∈ ℕ*).

Bài 6: Ông An gửi tiết kiệm 50 triệu đồng kì hạn 1 tháng với lãi suất 7% một năm theo hình thức tính lãi kép. Số tiền (triệu đồng) của ông An thu được sau n tháng được cho bởi công thức

An= 50Lý thuyết Toán 11 Kết nối tri thức Bài 5: Dãy số.

a) Tìm số tiền ông An nhận được sau tháng thứ nhất, sau tháng thứ hai.

b) Tìm số tiền ông An nhận được sau 1 năm.

Hướng dẫn giải

a) Số tiền ông An nhận được sau tháng thứ nhất là:

A1= 50Lý thuyết Toán 11 Kết nối tri thức Bài 5: Dãy số = 50,2917 (triệu đồng).

Số tiền ông An nhận được sau tháng thứ hai là:

A2= 50Lý thuyết Toán 11 Kết nối tri thức Bài 5: Dãy số = 50,585 (triệu đồng).

b) 1 năm = 12 tháng

Số tiền ông An nhận được sau 1 năm là:

A12= 50Lý thuyết Toán 11 Kết nối tri thức Bài 5: Dãy số = 53,6145 (triệu đồng).

Bài 7. Cho dãy số (un) được xác định bởi un=n+12n với n ∈ ℕ*.

a) Liệt kê 3 số hạng đầu của dãy số (un).

b) Xét tính tăng, giảm của dãy số (un).

Hướng dẫn giải

a) Ta có: u1=1+121=1,  u2=2+122=34,  u3=3+123=12.

b) Ta có: un+1−un=n+1+12n+1−n+12n

=n+22.2n−n+12n=n+2−2n−22.2n=−n2n+1<0

⇔ un + 1 < un.

Vậy (un) là dãy số giảm.

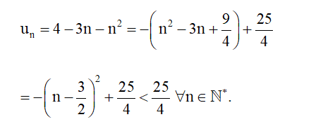
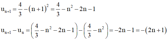
Bài 8. Xét tính bị chặn của dãy số sau: un = 4 – 3n – n2.

Hướng dẫn giải

Lý thuyết Toán 11 Chân trời sáng tạo Bài 1: Dãy số

Ta có: un + 1 – un = 4 – 3(n + 1) – (n + 1)2 – (4 – 3n – n2)

= 4 – 3n – 3 – n2 – 2n – 1 – 4 + 3n + n2

= − 2n − 4

⇔ un + 1 < un.

⇒ (un) là dãy số giảm, tức là n càng tăng thì un càng giảm ⇒ (un) không bị chặn dưới.

Vậy (un) là dãy số bị chặn trên.

Bài 9. Cho dãy số (un) bởi hệ thức truy hồi: u1=12,  un+1=2un. Tìm ra công thức số hạng tổng quát của dãy số này.

Hướng dẫn giải

Ta có: u1=12=2−1;  u2=1=20;  u3=2=21;  u4=4=22.

Ta nhận thấy u1 = 21 – 2; u2 = 22 – 2; u3 = 23 – 2; u4 = 24 – 2.

Vậy công thức số hạng tổng quát của dãy số (un) là un = 2n – 2.

Bài 10. Cho dãy số (un), biết un=n+12n+1. Số 815 là số hạng thứ mấy của dãy số?

A. 8;                               

B. 6;                                

C. 5;                                

D. 7.

Hướng dẫn giải

Đáp án đúng là: D

Ta cần tìm n sao cho un=n+12n+1=815⇔15n+15=16n+8⇔n=7.

Bài 11. Cho dãy số (un) với un = (–1)n.2n.

a) Hãy viết 6 số hạng đầu của dãy;

b) Viết dạng khai triển của dãy.

Hướng dẫn giải

a) Sáu số hạng đầu của dãy là:

u1 = –2; u2 = 4; u3 = –6; u4 = 8; u5 = –10; u6 = 12.

b) Dạng khai triển của dãy (un) là: –2, 4, –6, 8, …., (–1)n.2n, ….

Bài 12. Chứng minh rằng dãy số (un) với un=43−n2 là dãy số giảm và bị chặn trên.

Hướng dẫn giải

Lý thuyết Toán 11 Cánh diều Bài 1: Dãy số

Vì n ∈ ℕ* nên 2n + 1 ≥ 3

Suy ra  –(2n + 1) ≤ –3 < 0

Do đó un+1 < un, suy ra dãy số là dãy số giảm.

• Vì n2 ≥ 1 với mọi n ∈ ℕ* nên –n2 ≤ –1

Suy ra 43−n2≤13

Hay un≤13 với mọi n ∈ ℕ*.

Do đó dãy số (un) là dãy số bị chặn trên.

Bài 13. Hãy nêu cách xác định mỗi dãy số sau:

a) Cho dãy số (un) với un là các số chính phương được sắp xếp từ bé đến lớn (1)

b) Cho dãy số (un) với un=2nn2+1(2)

c)  Cho dãy số (un) với  u1 = –1, un = 2un – 1 + 3 (với n > 1) (3)

Hướng dẫn giải

a) Dãy số (1) được xác định bằng cách diễn đạt bằng lời cách xác định mỗi số hạng của dãy số.

b) Dãy số (2) được xác định bằng cách cho công thức của số hạng tổng quát của dãy số.

c) Dãy (3) được xác định bằng phương pháp truy hồi.

B. Lý thuyết Dãy số

1. Dãy số là gì?

1.1. Dãy số vô hạn

– Hàm số u xác định trên tập các số nguyên dương ℕ* được gọi là một dãy số vô hạn (hay gọi tắt là dãy số), nghĩa là

u:ℕ∗→ℝ

n↦un=un.

– Ta có thể kí hiệu dãy số trên là (un), và (un) được viết dưới dạng khai triển là: u1, u2, u3,…., un,….

– Số u1 được gọi là số hạng đầu, un là số hạng thứ n và gọi là số hạng tổng quát của dãy số.

Chú ý:

• Số u1 = u(1) được gọi là số hạng đầu, un = u(n) là số hạng thứ n hay số hạng tổng quát của dãy số.

• Nếu ∀n ∈ ℕ*, un = C thì (un) được gọi là dãy số không đổi.

Ví dụ:

+ Dãy số (un) bao gồm các số nguyên dương chia hết cho 3: 3; 6; 9; 12; …

Ta có: dãy (un) có số hạng đầu u1 = 3 và số hạng tổng quát un = 3n.

1.2. Dãy số hữu hạn

– Hàm số u xác định trên tập M = {1; 2; 3; …; m} với ∀m ∈ ℕ* được gọi là một dãy số hữu hạn.

– Dãy số hữu hạn được khai triển dưới dạng u1, u2, u3,…., um. Trong đó, u1 được gọi là số hạng đầu, um được gọi là số hạng cuối.

Ví dụ:

+ Dãy số (un) bao gồm các số tự nhiên chẵn nhỏ hơn 10, sắp xếp theo thứ tự từ bé đến lớn.

Ta có: các số hạng của dãy số (un) là: 2; 4; 6; 8. Số hạng đầu của dãy số này là 2 và số hạng cuối của dãy số là 8.

2. Cách xác định dãy số

Một dãy số có thể được cho bằng các cách sau:

Cách 1: Liệt kê các số hạng (với các dãy số hữu hạn).

Cách 2: Cho công thức của số hạng tổng quát un.

Cách 3: Cho hệ thức truy hồi, nghĩa là:

• Cho số hạng thứ nhất u1 (hoặc một vài số hạng đầu tiên).

• Cho một công thức tính un theo un – 1 (hoặc theo vài số hạng đứng ngay trước nó).

Cách 4: Cho bằng cách mô tả.

Ví dụ:

+ Liệt kê các số hạng:

Cho dãy số (un) gồm tất cả các số lẻ lớn hơn 12: 13; 15; 17; …

+ Công thức của số hạng tổng quát:

Cho công thức của số hạng tổng quát: un = 3n – 1.

+ Hệ thức truy hồi:

Cho dãy số (un) xác định bằng hệ thức truy hỏi: u1 = 2, un = 5un – 1 + 1 với n ≥ 2.

+ Phương pháp mô tả:

Cho dãy số (un) gồm tất cả các số nguyên tố theo thứ tự giảm dần.

3. Dãy số tăng, dãy số giảm

– Dãy số (un) là dãy số tăng nếu un + 1 > un với mọi n ∈ ℕ*.

– Dãy số (un) là dãy số giảm nếu un + 1 < un với mọi n ∈ ℕ*.

Ví dụ: Cho dãy số (un) với un = −5n + 3.

Ta có: un + 1 – un = −5(n + 1) + 3 – (−5n + 3)

= −5n − 5 + 3 + 5n − 15 = −17 < 0 (tức là un + 1 < un, ∀n ∈ ℕ*).

Vậy (un) là dãy số giảm.

4. Dãy số bị chặn

– Dãy số (un) được gọi là dãy số bị chặn trên nếu tồn tại một số M sao cho

un ≤ M, ∀n ∈ ℕ*.

– Dãy số (un) được gọi là dãy số bị chặn dưới nếu tồn tại một số M sao cho

un ≥ M, ∀n ∈ ℕ*.

– Dãy số (un) được gọi là dãy số bị chặn nếu nó vừa bị chặn trên vừa bị chặn dưới, nghĩa là tồn tại các số m và M sao cho

M ≤ un ≤ M, ∀n ∈ ℕ*.

Ví dụ: Cho dãy số (un) với un = n – 2.

Dãy số (un) bị chặn dưới, vì un = n – 2 > −2, ∀n ∈ ℕ*.

Video bài giảng Toán 11 Bài 5: Dãy số – Kết nối tri thức

 

Tags : Tags bài tập Toán 11
Share
facebookShare on Facebook

Bài liên quan

Giải SGK Toán 11 Bài 12 (Kết nối tri thức): Đường thẳng và mặt phẳng song song

Giải SGK Toán 11 Bài 23 (Kết nối tri thức): Đường thẳng vuông góc với mặt phẳng

Giải SGK Toán 11 (Kết nối tri thức): Bài tập ôn tập cuối năm

Sách bài tập Toán 11 Bài 13 (Kết nối tri thức): Hai mặt phẳng song song

Sách bài tập Toán 11 Bài 26 (Kết nối tri thức): Khoảng cách

Giải Chuyên đề Toán 11 Kết nối tri thức Bài 4: Phép quay và phép đối xứng tâm

20 câu Trắc nghiệm Công thức lượng giác (Kết nối tri thức 2025) có đáp án – Toán lớp 11

20 Bài tập Giới hạn của hàm số (sách mới) có đáp án – Toán 11

0 Góp ý
Phản hồi nội tuyến
Xem tất cả bình luận

Mục lục

  1. Giải SGK Toán 11 Bài 1 (Kết nối tri thức): Giá trị lượng giác của góc lượng giác
  2. Giải SGK Toán 11 Bài 2 (Kết nối tri thức): Công thức lượng giác
  3. Giải SGK Toán 11 Bài 3 (Kết nối tri thức): Hàm số lượng giác
  4. Giải SGK Toán 11 Bài 4 (Kết nối tri thức): Phương trình lượng giác cơ bản
  5. Giải SGK Toán 11 (Kết nối tri thức) Bài tập cuối chương 1 trang 40
  6. Giải SGK Toán 11 Bài 5 (Kết nối tri thức): Dãy số
  7. Giải SGK Toán 11 Bài 6 (Kết nối tri thức): Cấp số cộng
  8. Giải SGK Toán 11 Bài 7 (Kết nối tri thức): Cấp số nhân
  9. Giải SGK Toán 11 (Kết nối tri thức) Bài tập cuối chương 2 trang 56
  10. Giải SGK Toán 11 Bài 8 (Kết nối tri thức): Mẫu số liệu ghép nhóm
  11. Giải SGK Toán 11 Bài 9 (Kết nối tri thức): Các số đặc trưng đo xu thế trung tâm
  12. Giải SGK Toán 11 (Kết nối tri thức) Bài tập cuối chương 3 trang 69
  13. Giải SGK Toán 11 Bài 10 (Kết nối tri thức): Đường thẳng và mặt phẳng trong không gian
  14. Giải SGK Toán 11 Bài 11 (Kết nối tri thức): Hai đường thẳng song song
  15. Giải SGK Toán 11 Bài 12 (Kết nối tri thức): Đường thẳng và mặt phẳng song song
  16. Giải SGK Toán 11 Bài 13 (Kết nối tri thức): Hai mặt phẳng song song
  17. Giải SGK Toán 11 Bài 14 (Kết nối tri thức): Phép chiếu song song
  18. Giải SGK Toán 11 (Kết nối tri thức): Bài tập cuối chương 4
  19. Giải SGK Toán 11 Bài 15 (Kết nối tri thức): Giới hạn của dãy số
  20. Giải SGK Toán 11 Bài 16 (Kết nối tri thức): Giới hạn của hàm số

Copyright © 2026 Học tập lớp 12 - Sách Toán - Học Tập AI
  • Sitemap
  • Chính sách
  • Giới thiệu
  • Hướng dẫn
  • Kết quả
  • Liên hệ
Back to Top
Menu
  • Sitemap
  • Chính sách
  • Giới thiệu
  • Hướng dẫn
  • Kết quả
  • Liên hệ
wpDiscuz