Skip to content

Học tập lớp 12

  • Trắc nghiệm Holland
  • Tính điểm xét tuyển
  • Danh sách trường Đại học
  • Kết quả bài thi

Học tập lớp 12

  • Home » 
  • Toán lớp 11

20 Bài tập Giới hạn của hàm số (sách mới) có đáp án – Toán 11

By Admin Lop12.com 23/02/2026 0

Bài tập Toán 11 Giới hạn của hàm số

A. Bài tập Giới hạn của hàm số

Bài 1: Tính các giới hạn sau:

a) limx→3x2+12x;

b) limx→1x2+x−2x−1.

Hướng dẫn giải

a) Lý thuyết Toán 11 Kết nối tri thức Bài 16: Giới hạn của hàm số

=3⋅3+123=53

b) Vì (x – 1) → 0 hay khi x → 1, nên ta chưa thể áp dụng ngay quy tắc tính giới hạn của hàm số tại một điểm.

Nhưng với x ≠ 1, ta có:

limx→1x2+x−2x−1=Lý thuyết Toán 11 Kết nối tri thức Bài 16: Giới hạn của hàm số=limx→1(x+2) = 3.

Bài 2: Tìm các giới hạn một bên:

a) limx→1+x−3x−1;

b) limx→4−x2−2x+34−x.

Hướng dẫn giải

a) Ta có: limx→1+(x-1) = 0 và x – 1 > 0 với mọi x > 1

limx→1+(x-3) = 1-3 = -2 <0

Do đó: limx→1+x−3x−1 = – ∞.

b) Ta có: limx→4−(4-x) = 0 và 4 – x > 0 với mọi x < 4

limx→4−(x2-2x+3) = 42-8+3 = 11 > 0

Do đó: limx→4−x2−2x+34−x = +∞.

Bài 3: Tính các giới hạn sau:

a) limx→+∞(x3-2x);

b) limx→−∞(x3-3x);

c) Lý thuyết Toán 11 Kết nối tri thức Bài 16: Giới hạn của hàm số.

Hướng dẫn giải

a) Lý thuyết Toán 11 Kết nối tri thức Bài 16: Giới hạn của hàm số

b) Lý thuyết Toán 11 Kết nối tri thức Bài 16: Giới hạn của hàm số

c) Ta có: limx→1−(x-1) = 0 và x – 1 < 0 với mọi x < 1.

limx→1−(2x – 4) = 2.1 – 4 = -2<0.

Do đó, Lý thuyết Toán 11 Kết nối tri thức Bài 16: Giới hạn của hàm số

Bài 4: Cho hàm số f(x) = 2x2−2x−1 và g(x) = x + 3. Khẳng định nào sau đây là sai?

a) f(x) = g(x).

b) limx→1f(x)=limx→1g(x).

Hướng dẫn giải

a) Biểu thức f(x) có nghĩa khi x ≠ 1.

Ta có: f(x) = Lý thuyết Toán 11 Kết nối tri thức Bài 16: Giới hạn của hàm số = 2(x+1) = 2x+2 với mọi x ≠ 1.

Biểu thức g(x) có nghĩa với mọi x.

Do đó f(x) ≠ g(x). Suy ra khẳng định a) là khẳng định sai.

b) limx→1f(x) = limx→1(2x+2) = 4

limx→1g(x) = limx→1(x+3) = 4

Vậy limx→1f(x) = limx→1g(x), do đó khẳng định b) là khẳng định đúng.

Bài 5. Tính các giới hạn sau:

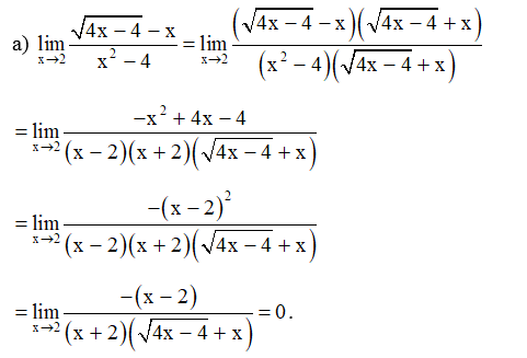
a) limx→24x−4−xx2−4 ;

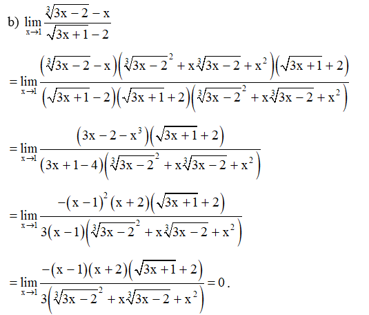
b) limx→13x−23−x3x+1−2 .

Hướng dẫn giải

Lý thuyết Toán 11 Chân trời sáng tạo Bài 2: Giới hạn của hàm số

Lý thuyết Toán 11 Chân trời sáng tạo Bài 2: Giới hạn của hàm số

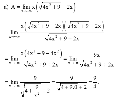
Bài 6. Tìm các giới hạn sau:

a) A = limx→+∞x(4x2+9−2x);

b) B = limx→−∞(x2−2x+2−x).

Hướng dẫn giải

Lý thuyết Toán 11 Chân trời sáng tạo Bài 2: Giới hạn của hàm số

Lý thuyết Toán 11 Chân trời sáng tạo Bài 2: Giới hạn của hàm số

=limx→−∞2+2−x1−2x+2x2−1=+∞

Bài 7. Chứng minh không tồn tại giới hạn của hàm số f(x) = sin1x khi x tiến tới 0.

Hướng dẫn giải

Xét hai dãy số xn=12nπ; yn=1π2+2nπ

Suy ra  limxn=lim12nπ=12πlim1n=12π . 0=0

Và limyn=lim1π2+2nπ=1π2+2πlimn=0

Khi đó ta xét:

• lim f(xn) = limsin (2nπ) = 0;

• lim f (yn) = limsin (π2+2nπ) = 1.

Do lim f(xn) ≠ lim f (yn) (0 ≠ 1) nên hàm số f(x) = sin1x  không tồn tại giới hạn khi x tiến tới 0.

Bài 8. Cho f(x) =1 – x và g(x) = 2x3. Tính các giới hạn sau:

Lý thuyết Toán 11 Cánh diều Bài 2: Giới hạn của hàm số.

Hướng dẫn giải

Lý thuyết Toán 11 Cánh diều Bài 2: Giới hạn của hàm số.

Bài 9. Sử dụng định nghĩa tìm giới hạn của hàm số:

a) limx→1x3;

b) limx→−24−x22+x.

Hướng dẫn giải

a) Giả sử (xn) là một dãy bất kì và xn → 1 khi n → +∞.

Khi đó limxn3=13=1.

Vậy limx→1x3=1.

b) Giả sử (xn) là một dãy bất kì thỏa mãn xn ≠ –2 và xn → –2 khi n → +∞.

Lý thuyết Toán 11 Cánh diều Bài 2: Giới hạn của hàm số

Vậy limx→−24−x22+x=4.

Bài 10. Tìm giới hạn của các hàm số sau:

a) Lý thuyết Toán 11 Cánh diều Bài 2: Giới hạn của hàm số;

b) limx→1x2+x−2x−1;

c) limx→−∞x+2x−1

Hướng dẫn giải

Lý thuyết Toán 11 Cánh diều Bài 2: Giới hạn của hàm số.

B. Lý thuyết Giới hạn của hàm số

1. Giới hạn hữu hạn của hàm số tại một điểm

Cho điểm x0 thuộc K và hàm số y = f(x) xác định trên K hoặc K \ {x0}.

Ta nói hàm số y = f(x) có giới hạn hữu hạn là số L khi x dần tới x0 nếu với dãy số (xn) bất kì, xn ∈ K \ {x0} và xn → x0, thì f(xn) → L.

Kí hiệu:  hay f(x) → L khi x → x0.

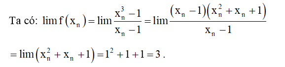
Ví dụ: Cho hàm số f(x) = x3−1x−1. Tìm limx→1fx .

Hướng dẫn giải

Hàm số y = f(x) xác định trên ℝ \ {1}.

Giả sử (xn) là dãy số bất kì thỏa mãn xn ≠ 1 với mọi n và xn → 1 khi n → +∞.

Giới hạn của hàm số (Lý thuyết Toán lớp 11) | Chân trời sáng tạo

Vậy limx→1fx=3.

Nhận xét:

• limx→x0x=x0 ;

• limx→x0c=c  (c là hằng số).

2. Các phép toán về giới hạn hữu hạn của hàm số

a) Cho limx→x0f(x) = L và  limx→x0g(x) = M. Khi đó:

• limx→x0[ f(x) + g(x)] = L + M

• limx→x0[ f(x) – g(x)] = L – M

• limx→x0[ f(x) . g(x)] = L . M

Giới hạn của hàm số (Lý thuyết Toán lớp 11) | Chân trời sáng tạo

b) Nếu f(x) ≥ 0 và limx→x0f(x) = L thì L ≥ 0 và limx→x0f(x)=L

(Dấu của f (x) được xét trên khoảng tìm giới hạn, x ≠ x0).

Nhận xét:

• limx→x0xk=x0k , k là số nguyên dương;

• limx→x0[cf(x) = c limx→x0 f(x)  ( c∈ℝ, nếu tồn tại limx→x0f(x) ∈ℝ) .

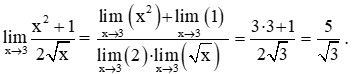
Ví dụ: Tìm các giới hạn sau:

a) limx→−12x2+4x−5 ;                          

b) limx→22x+5−3x−2 .

Hướng dẫn giải

a) limx→−12x2+4x−5=limx→−12x2+limx→−14x−limx→−15

=2limx→−1x2+4limx→−1x−limx→−15=2 . −12+4 . −1−5=−7.

b) limx→22x+5−3x−2

Giới hạn của hàm số (Lý thuyết Toán lớp 11) | Chân trời sáng tạo

=limx→222x+5+3

=22 . 2+5+3=13.

3. Giới hạn một phía

Cho hàm số y = f(x) xác định trên khoảng (x0; b).

• Ta nói hàm số y = f(x) có giới hạn bên phải là +∞ khi x → x0 về bên phải nếu với dãy số (xn) bất kì, x0 < xn < b và xn → x0, thì f(xn) → +∞.

Kí hiệu: limx→x0+f(x) = +∞ hay f(x) → +∞ khi x→x0+ .

• Ta nói hàm số y = f(x) có giới hạn bên phải là −∞ khi x → x0 về bên phải nếu với dãy số (xn) bất kì, x0 < xn < b và x → x0, thì f(xn) → −∞..

Kí hiệu: limx→x0+f(x) = −∞  hay f(x) → -∞  khi x→x0+ .

Chú ý:

a) Các giới hạn  limx→x0–f(x) = +∞, limx→x0– f(x) = -∞,  limx→+∞f(x) = +∞, limx→+∞f(x) = -∞, limx→−∞f(x) = +∞,limx→−∞f(x) = -∞ được định nghĩa tương tự như trên.

b) Ta có các giới hạn thường dùng sau:

• limx→a+1x−a=+∞  và limx→a−1x−a=−∞ (a∈ℝ) ;

• limx→+∞xk=+∞  với k là nguyên dương;

• limx→−∞xk=+∞  nếu k là số nguyên dương chẵn;

• limx→−∞xk=−∞  nếu k là số nguyên dương lẻ.

c) Các phép toán trên giới hạn hàm số của Mục 2 chỉ áp dụng được khi tất cả các hàm số được xét có giới hạn hữu hạn. Với giới hạn vô cực, ta có một số quy tắc sau đây.

Nếu limx→x0+f(x) = L≠0  và limx→x0+g(x) = +∞ (hoặc limx→x0+g(x) = -∞ )  thì limx→x0+[(f(x) . g(x)]  được tính theo quy tắc cho bởi bảng sau:

Giới hạn của hàm số (Lý thuyết Toán lớp 11) | Chân trời sáng tạo

Các quy tắc trên vẫn đúng khi thay x0+  thành x0−  (hoặc +∞, −∞).

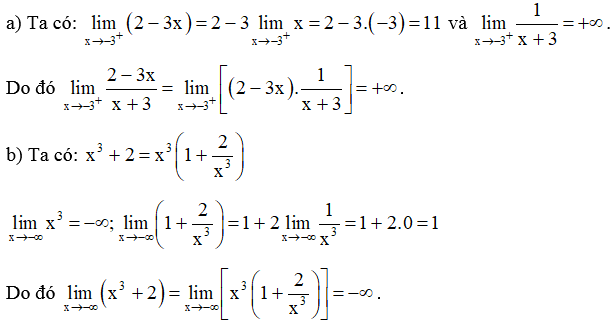
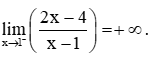
Ví dụ: Tìm các giới hạn sau:

a) limx→−3+2−3xx+3 ;

b) limx→−∞(x3+2).

Hướng dẫn giải

Giới hạn của hàm số (Lý thuyết Toán lớp 11) | Chân trời sáng tạo

Video bài giảng Toán 11 Bài 16: Giới hạn của hàm số – Kết nối tri thức

Tags : Tags bài tập Toán 11
Share
facebookShare on Facebook

Bài liên quan

Giải SGK Toán 11 Bài 12 (Kết nối tri thức): Đường thẳng và mặt phẳng song song

Giải SGK Toán 11 Bài 23 (Kết nối tri thức): Đường thẳng vuông góc với mặt phẳng

Giải SGK Toán 11 (Kết nối tri thức): Bài tập ôn tập cuối năm

Sách bài tập Toán 11 Bài 13 (Kết nối tri thức): Hai mặt phẳng song song

Sách bài tập Toán 11 Bài 26 (Kết nối tri thức): Khoảng cách

Giải Chuyên đề Toán 11 Kết nối tri thức Bài 4: Phép quay và phép đối xứng tâm

20 câu Trắc nghiệm Công thức lượng giác (Kết nối tri thức 2025) có đáp án – Toán lớp 11

20 Bài tập Giới hạn của dãy số (sách mới) có đáp án – Toán 11

0 Góp ý
Phản hồi nội tuyến
Xem tất cả bình luận

Mục lục

  1. Giải SGK Toán 11 Bài 1 (Kết nối tri thức): Giá trị lượng giác của góc lượng giác
  2. Giải SGK Toán 11 Bài 2 (Kết nối tri thức): Công thức lượng giác
  3. Giải SGK Toán 11 Bài 3 (Kết nối tri thức): Hàm số lượng giác
  4. Giải SGK Toán 11 Bài 4 (Kết nối tri thức): Phương trình lượng giác cơ bản
  5. Giải SGK Toán 11 (Kết nối tri thức) Bài tập cuối chương 1 trang 40
  6. Giải SGK Toán 11 Bài 5 (Kết nối tri thức): Dãy số
  7. Giải SGK Toán 11 Bài 6 (Kết nối tri thức): Cấp số cộng
  8. Giải SGK Toán 11 Bài 7 (Kết nối tri thức): Cấp số nhân
  9. Giải SGK Toán 11 (Kết nối tri thức) Bài tập cuối chương 2 trang 56
  10. Giải SGK Toán 11 Bài 8 (Kết nối tri thức): Mẫu số liệu ghép nhóm
  11. Giải SGK Toán 11 Bài 9 (Kết nối tri thức): Các số đặc trưng đo xu thế trung tâm
  12. Giải SGK Toán 11 (Kết nối tri thức) Bài tập cuối chương 3 trang 69
  13. Giải SGK Toán 11 Bài 10 (Kết nối tri thức): Đường thẳng và mặt phẳng trong không gian
  14. Giải SGK Toán 11 Bài 11 (Kết nối tri thức): Hai đường thẳng song song
  15. Giải SGK Toán 11 Bài 12 (Kết nối tri thức): Đường thẳng và mặt phẳng song song
  16. Giải SGK Toán 11 Bài 13 (Kết nối tri thức): Hai mặt phẳng song song
  17. Giải SGK Toán 11 Bài 14 (Kết nối tri thức): Phép chiếu song song
  18. Giải SGK Toán 11 (Kết nối tri thức): Bài tập cuối chương 4
  19. Giải SGK Toán 11 Bài 15 (Kết nối tri thức): Giới hạn của dãy số
  20. Giải SGK Toán 11 Bài 16 (Kết nối tri thức): Giới hạn của hàm số

Copyright © 2026 Học tập lớp 12 - Sách Toán - Học Tập AI
  • Sitemap
  • Chính sách
  • Giới thiệu
  • Hướng dẫn
  • Kết quả
  • Liên hệ
Back to Top
Menu
  • Sitemap
  • Chính sách
  • Giới thiệu
  • Hướng dẫn
  • Kết quả
  • Liên hệ
wpDiscuz