Skip to content

Học tập lớp 12

  • Trắc nghiệm Holland
  • Tính điểm xét tuyển
  • Danh sách trường Đại học
  • Kết quả bài thi

Học tập lớp 12

  • Home » 
  • Toán lớp 11

20 Bài tập Trung vị và tứ phân vị của mẫu số liệu ghép nhóm (sách mới) có đáp án – Toán 11

By Admin Lop12.com 23/02/2026 0

Bài tập Toán 11 Trung vị và tứ phân vị của mẫu số liệu ghép nhóm

A. Bài tập Trung vị và tứ phân vị của mẫu số liệu ghép nhóm

Bài 1. Kiểm tra điện lượng của một số viên pin tiểu do một hãng sản xuất thu được kết quả sau:

Điện lượng

(nghìn mAh)

[0,9; 0,95)

[0,95; 1,0)

[1,0; 1,05)

[1,05; 1,1)

[1,1; 1,15)

Số viên pin

10

20

35

15

5

Hãy ước lượng số trung bình, mốt và tứ phân vị của mẫu số liệu ghép nhóm trên.

Hướng dẫn giải

Điện lượng

(nghìn mAh)

[0,9; 0,95)

[0,95; 1,0)

[1,0; 1,05)

[1,05; 1,1)

[1,1; 1,15)

Giá trị đại diện

0,925

0,975

1,025

1,075

1,125

Số viên pin

10

20

35

15

5

Số trung bình của dãy số liệu xấp xỉ bằng:

(0,925.10 + 0,975.20 + 1,025.35 + 1,075.15 + 1,125.5) : 85 = 1,016

Vậy nhóm chứa mốt của dãy số liệu là nhóm [1,0; 1,05).

Mốt của mẫu số liệu trên là:

Trung vị và tứ phân vị của mẫu số liệu ghép nhóm (Lý thuyết Toán lớp 11) | Chân trời sáng tạo

Gọi x1; x2; x3;….; x85 lần lượt là số viên pin theo thứ tự không giảm.

Do x1,…., x10 ∈ [0,9; 0,95); x11,…., x30 ∈ [0,95; 1,0); x31,…., x65 ∈ [1,0; 1,05);

x66,…., x80 ∈ [1,05; 1,1); x81,…., x85 ∈ [1,1; 1,15).

Tứ phân vị thứ hai của dãy số liệu là 12(x42+x43) thuộc nhóm [1,0; 1,05) nên tứ phân vị thứ hai của mẫu số liệu là Q2=1,0+852−3035(1,05-1,0) = 1,02

Tứ phân vị thứ nhất của dãy số liệu là 12(x21+x22) thuộc nhóm [0,95; 1,0) nên tứ phân vị thứ nhất của mẫu số liệu là Q1=0,95+854−1020(1,0-0,95) = 0,98

Tứ phân vị thứ ba của dãy số liệu là 12(x63+x64) thuộc nhóm [1,0; 1,05) nên tứ phân vị thứ ba của mẫu số liệu là Q3=1,0+3.854−3035(1,05- 1,0) = 1,048.

Vậy trong mẫu số liệu trên, số trung bình là 1,016, mốt là 1,02, tứ phân vị thứ nhất, thứ hai và thứ ba lần lượt là 0,98; 1,02; 1,048.

Bài 2. Cân nặng của một số lợn con mới sinh thuộc hai giống A và B được cho ở biểu đồ dưới đây (đơn vị: kg).

Trung vị và tứ phân vị của mẫu số liệu ghép nhóm (Lý thuyết Toán lớp 11) | Chân trời sáng tạo

a) Hãy so sánh cân nặng của lợn con mới sinh giống A và giống B theo số trung bình và trung vị.

b) Hãy ước lượng tứ phân vị thứ nhất và thứ ba của cân nặng lợn con mới sinh giống A và của cân nặng lợn con mới sinh giống B.

Hướng dẫn giải

Cân nặng của lợn con giống A và giống B được thống kê như sau:

Cân nặng (kg)

[1,0; 1,1)

[1,1; 1,2)

[1,2; 1,3)

[1,3; 1,4)

Giá trị đại diện

1,05

1,15

1,25

1,35

Số con giống A

8

28

32

17

Số con giống B

13

14

24

14

a) Số cân nặng trung bình của lợn con giống A là:

(1,05.8 + 1,15.28 + 1,25.32 + 1,35.17) : 85 = 1,22 (kg)

Số cân nặng trung bình của lợn con giống B là:

(1,05.13 + 1,15.14 + 1,25.24 + 1,35.14) : 65 = 1,21 (kg)

Vậy cân nặng trung bình của lợn con giống A lớn hơn lợn con giống B theo số trung bình.

Gọi x1; x2; x3;….; x85 lần lượt là số lợn con giống A theo thứ tự không giảm.

Do x1,…., x8 ∈ [1,0; 1,1); x9,…., x36 ∈ [1,1; 1,2); x37,…., x68 ∈ [1,2; 1,3);

x69,…., x85 ∈ [1,3; 1,4).

Trung vị của mẫu số liệu lợn con giống A thuộc nhóm [1,2; 1,3) là:

MA=1,2+852−3632.(1,3 – 1,2) = 1,22

Gọi y1; y2; y3;….; y65 lần lượt là số lợn con giống B theo thứ tự không giảm.

Do y1,…., y13 ∈ [1,0; 1,1); y14,…., y27 ∈ [1,1; 1,2); y28,…., y51 ∈ [1,2; 1,3);

y52,…., y65 ∈ [1,3; 1,4).

Trung vị của mẫu số liệu lợn con giống B thuộc nhóm [1,2; 1,3) là:

MB=1,2+652−2724.(1,3 – 1,2) =1,223

 Vậy cân nặng trung bình của lợn con giống A nhỏ hơn lợn con giống B theo trung vị.

b) Tứ phân vị thứ nhất của dãy số liệu giống A là12(x21+x22) thuộc nhóm [1,1; 1,2) nên tứ phân vị thứ nhất của mẫu số liệu là Q1A=1,1+854−828(1,2 – 1,1) = 1,15

Tứ phân vị thứ ba của dãy số liệu giống A là 12(x63+x64) thuộc nhóm [1,2; 1,3) nên tứ phân vị thứ ba của mẫu số liệu là Q3A=1,2+3.854−3632(1,3 – 1,2) = 1,29

Tứ phân vị thứ nhất của dãy số liệu giống B là 12(y16+y17) thuộc nhóm [1,1; 1,2) nên tứ phân vị thứ nhất của mẫu số liệu là Q1B=1,1+654−1314(1,2 – 1,1) = 1,12

Tứ phân vị thứ ba của dãy số liệu giống B là 12(y48+y49) thuộc nhóm [1,2; 1,3) nên tứ phân vị thứ ba của mẫu số liệu là Q3B=1,2+3.654−2724(1,3 – 1,2) = 1,29

Vậy tứ phân vị thứ nhất của lợn con giống A và giống B lần lượt là 1,15 và 1,12;

Tứ phân vị thứ ba của lợn con giống A và giống B lần lượt là 1,29 và 1,29.

Bài 3. Độ bão hoà oxygen trong máu (còn được gọi là chỉ số SpO2) biểu thị cho tỉ lệ hemoglobin có oxygen trên tổng lượng hemoglobin trong máu. Chỉ số SpO2 (đơn vị đo là %) từ 97 – 99 là oxygen trong máu tốt, 94 – 96 là oxygen trong máu trung bình, 90 – 93 là oxygen trong máu thấp, dưới 90 là trường hợp cấp cứu trên lâm sàng. (Theo: Vinmec.com). Đo chỉ số SpO2 ở một số bệnh nhân Covid–19 người ta thu được kết quả sau:

SpO2(%)

90 – 93

94 – 96

97 – 99

Số bệnh nhân

12

31

7

a) Cho biết các nhóm số liệu và tần số tương ứng.

b) Tính số trung bình, trung vị và giải thích ý nghĩa của các giá trị thu được.

Hướng dẫn giải:

a) Có 3 nhóm số liệu gồm 90 – 93, 94 – 96, 97 – 99 với tần số tương ứng là 12, 31, 7.

b) Trước hết, ta hiệu chỉnh các nhóm số liệu và thu được bảng tần số ghép nhóm gồm giá trị đại diện như sau:

SpO2(%)

[89,5; 93,5)

[93,5; 96,5)

[96,5; 99,5)

Giá trị đại diện

91,5

95

98

Số bệnh nhân

12

31

7

Cỡ mẫu n = 12 + 31 + 7 = 50 . Do đó, số trung bình là

x¯=12⋅91,5+31⋅95+7⋅9850=94,58.

Do có n2=25giá trị nhỏ hơn trung vị nên trung vị thuộc nhóm [93,5; 96,5). Ta có, ap = 93,5; ap + 1 = 96,5; m1 + … + mp – 1 = 12, mp = 31. Do đó, trung vị là

Me=93,5+25−1231⋅3≈94,76.

Như vậy, chỉ số SpO2 trung bình của 50 bệnh nhân là 94,58; có 25 bệnh nhân có chỉ số SpO2 nhỏ hơn 94,76 và 25 bệnh nhân có chỉ số SpO2 lớn hơn 94,76.

Bài 4. Một nhóm gồm 45 học sinh làm một bài kiểm tra trắc nghiệm gồm 40 câu hỏi. Số câu trả lời đúng của mỗi bạn được ghi lại ở bảng sau:

24

35

37

24

30

23

21

39

28

20

32

37

17

40

34

27

34

30

21

26

26

38

37

16

35

19

20

22

25

38

34

29

39

40

36

18

31

24

36

33

24

24

36

26

37

a) Tìm các tứ phân vị của dãy số liệu trên.

b) Tổng hợp lại dãy số liệu trên vào bảng tần số ghép nhóm theo mẫu sau:

Số câu trả lời đúng

[16;20]

[21;25]

[26;30]

[31;35]

[36; 40]

Số học sinh

?

?

?

?

?

c) Hãy ước lượng các tứ phân vị của mẫu số liệu ghép nhóm trên.

Hướng dẫn giải:

a) Mẫu số liệu đã cho được sắp xếp theo thứ tự không giảm như sau:

16; 17; 18; 19; 20; 20; 21; 21; 22; 23; 24; 24; 24; 24; 24;
25; 26; 26; 26; 27; 28; 29; 30; 30; 31; 32; 33; 34; 34; 34;
35;35;36;36;36;37;37;37;37;38;38;39;39;40;40.

Cỡ mẫu là n = 45 là số lẻ nên trung vị của mẫu số liệu là Q2 = x23 = 30.

Tứ phân vị thứ nhất là Q1=12x11+x12=12⋅24+24=24.

Tứ phân vị thứ ba là Q3=12x34+x35=12⋅36+36=36.

b) Bảng tần số ghép nhóm của mẫu số liệu trên như sau:

Số câu trả lời đúng

[16;20]

[21;25]

[26;30]

[31;35]

[36; 40]

Số học sinh

6

10

8

8

13

c) Do số câu trả lời đúng của học sinh là số nguyên nên ta hiệu chỉnh lại bảng số liệu như sau:

Số câu trả lời đúng

[15,5; 20,5)

[20,5;25,5)

[25,5;30,5)

[30,5;35,5)

[35,5; 40,5)

Số học sinh

6

10

8

8

13

Gọi x1; x2;…; x45 là số câu trả lời đúng của 45 học sinh được sắp xếp theo thứ tự không giảm.

Ta có: x1, …, x6 ∈ [15,5; 20,5); x7, …, x16 ∈ [20,5; 25,5); x17, …, x24 ∈ [25,5; 30,5); x25, …, x32 ∈ [30,5; 35,5); x33, …, x45 ∈ [35,5; 40,5).

Tứ phân vị thứ hai của mẫu số liệu x1; x2;…; x45 là x23 ∈ [25,5; 30,5).

Do đó, tứ phân vị thứ hai của mẫu số liệu ghép nhóm là

Q2=25,5+452−6+108⋅30,5−25,5=29,5625.

Tứ phân vị thứ nhất của mẫu số liệu x1; x2;…; x45 là

12x11+x12.

Do x11 và x12 thuộc nhóm [20,5; 25,5) nên tứ phân vị thứ nhất của mẫu số liệu ghép nhóm là Q1=20,5+454−610.25,5−20,5=23,125.

Tứ phân vị thứ ba của mẫu số liệu x1; x2;…; x45 là 12x34+x35.

Do x34 và x­35 thuộc nhóm [35,5; 40,5) nên tứ phân vị thứ ba của mẫu số liệu ghép nhóm là Q3=35,5+3.454−6+10+8+813.40,5−35,5≈36,173.

Bài 5. Một công ty cung cấp nước sạch thống kê lượng nước các hộ gia đình trong một khu vực tiêu thụ trong một tháng ở bảng sau:

Lượng nước tiêu thụ (m3)

[3; 6)

[6; 9)

[9; 12)

[12; 15)

[15; 18)

Số hộ gia đình

24

57

42

29

8

a) Hãy ước lượng số trung bình, mốt và trung vị của mẫu số liệu ghép nhóm trên.

b) Công ty muốn gửi một thông báo khuyến nghị tiết kiệm nước đến 25% các hộ gia đình có lượng nước tiêu thụ cao nhất. Hỏi công ty nên gửi đến các hộ tiêu thụ từ bao nhiêu mét khối nước trở lên?

Hướng dẫn giải:

a) Cỡ mẫu n = 160.

Bảng tần số ghép nhóm của mẫu số liệu trên như sau:

Lượng nước tiêu thụ (m3)

[3; 6)

[6; 9)

[9; 12)

[12; 15)

[15; 18)

Giá trị đại diện

4,5

7,5

10,5

13,5

16,5

Số hộ gia đình

24

57

42

29

8

Số trung bình của mẫu số liệu ghép nhóm đã cho là

x¯=24.4,5+57.7,5+42.10,5+29.13,5+8.16,5160=9,375.

Nhóm chứa mốt của mẫu số liệu ghép nhóm trên là nhóm [6; 9).

Do đó: um = 6; nm = 57; nm – 1 = 24; nm+1 = 42.

Mốt của mẫu số liệu là MO=6+57−2457−24+57−42⋅9−6=8,0625

Gọi x1; x2;…; x160 là mẫu số liệu được xếp theo thứ tự không giảm.

Ta có: x1, …, x24 ∈ [3; 6); x25, …, x81 ∈ [6; 9); x82, …,x123∈[9; 12); x124, …, x152∈ [12; 15); x153, …, x160 ∈ [15; 18).

Cỡ mẫu n = 160 là số chẵn nên trung vị là Me=12x80+x81.

Do x80 và x81 thuộc nhóm [6; 9) nên trung vị của mẫu số liệu là

Me=6+1602−2457.9−6≈8,95.

Vậy công ty nên gửi thông báo tiết kiệm nước đến các hộ gia đình có lượng nước tiêu thụ từ 8,95 m3 nước trở lên.

B. Lý thuyết Trung vị và tứ phân vị của mẫu số liệu ghép nhóm

1. Trung vị

1.1. Công thức xác định trung vị của mẫu số liệu ghép nhóm

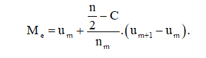
• Gọi n là cỡ mẫu.

• Giả sử nhóm [um; um + 1) chứa trung vị.

• nm là tần số của nhóm chứa trung vị.

• C = n1 + n2 + … + nm – 1.

Khi đó, ta có công thức xác định trung vị như sau:

Trung vị và tứ phân vị của mẫu số liệu ghép nhóm (Lý thuyết Toán lớp 11) | Chân trời sáng tạo

1.2. Ý nghĩa của trung vị của mẫu số liệu ghép nhóm

– Trung vị của mẫu số liệu ghép nhóm là giá trị xấp xỉ cho mẫu số liệu gốc và có thể lấy làm giá trị đại diện cho mẫu số liệu.

Ví dụ: Kết quả khảo sát cân nặng của 25 quả bơ ở một lô hàng cho trong bảng sau:

Cân nặng (g)

[150; 155)

[155; 160)

[160; 165)

[165; 170)

[170; 175)

Số quả bơ

1

7

12

3

2

Tìm trung vị của mẫu số liệu trên.

Hướng dẫn giải

Gọi x1; x2;….; x25 là cân nặng của 25 quả bơ xếp theo thứ tự không giảm.

Do x1 ∈ [150; 155); x2,…., x8 ∈ [155; 160); x9,…., x20 ∈ [160; 165) nên trung vị của mẫu số liệu x1; x2;….; x25 là x13 ∈ [160; 165).

Ta xác định được n = 25, nm = 12, C = 1 + 7 = 8, um = 160, um + 1 = 165.

Vậy trung vị của mẫu số liệu ghép nhóm là:

Me=160+252−812.(165 – 160) = 161,875.

2. Tứ phân vị

2.1. Công thức xác định tứ phân vị của mẫu số liệu ghép nhóm

– Tứ phân vị thứ hai của mẫu số liệu ghép nhóm, kí hiệu là Q2, cũng chính là trung vị của mẫu số liệu ghép nhóm.

– Để tìm tứ phân vị thứ nhất của mẫu số liệu ghép nhóm, kí hiệu là Q1, ta thực hiện như sau:

• Giả sử nhóm [um; um + 1) chứa tứ phân vị thứ nhất.

• nm là tần số của nhóm chứa tứ phân vị thứ nhất.

• C = n1 + n2 + … + nm – 1.

Khi đó,

Trung vị và tứ phân vị của mẫu số liệu ghép nhóm (Lý thuyết Toán lớp 11) | Chân trời sáng tạo

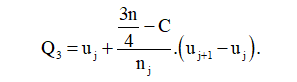
– Tương tự, để tìm tứ phân vị thứ ba của mẫu số liệu ghép nhóm, kí hiệu là Q3, ta thực hiện như sau:

• Giả sử nhóm [uj; uj + 1) chứa tứ phân vị thứ ba.

• n j là tần số của nhóm chứa tứ phân vị thứ ba.

• C = n1 + n2 + … + nj – 1.

Khi đó,

Trung vị và tứ phân vị của mẫu số liệu ghép nhóm (Lý thuyết Toán lớp 11) | Chân trời sáng tạo

Chú ý:

• Nếu tứ phân vị thứ k là (12xm+xm+1, trong đó xm và xm + 1 thuộc hai nhóm liên tiếp, ví dụ như xm ∈ [uj – 1; uj) và xm + 1 ∈ [uj; uj + 1) thì ta lấy Qk = uj.

2.2. Ý nghĩa của tứ phân vị của mẫu số liệu ghép nhóm

– Ba điểm tứ phân vị chia mẫu số liệu đã sắp xếp theo thứ tự không giảm thành bốn phần đều nhau. Giống như với trung vị, nói chung không thể xác định chính xác các điểm tứ phân vị của mẫu số liệu ghép nhóm.

– Bộ ba tứ phân vị của mẫu số liệu ghép nhóm là giá trị xấp xỉ cho tứ phân vị của mẫu số liệu gốc và được sử dụng làm giá trị đo xu thế trung tâm của mẫu số liệu.

– Tứ phân vị thứ nhất và thứ ba đo xu thế trung tâm của nửa dưới (các dữ liệu nhỏ hơn Q2) và nửa trên (các dữ liệu lớn hơn Q2) của mẫu số liệu.

Ví dụ: Một hãng xe ô tô thống kê lại số lần gặp sự cố về động cơ của 100 chiếc xe cùng loại sau 2 năm sử dụng đầu tiên ở bảng sau:

Số lần gặp sự cố

[1; 2]

[3; 4]

[5; 6]

[7; 8]

[9; 10]

Số xe

17

33

25

20

5

Hãy ước lượng các tứ phân vị của mẫu số liệu ghép nhóm trên.

Ta có: do số lần gặp sự cố là số nguyên nên ta hiệu chỉnh lại như sau:

Số lần gặp sự cố

[0,5; 2,5)

[2,5; 4,5)

[4,5; 6,5)

[6,5; 8,5)

[8,5; 10,5)

Số xe

17

33

25

20

5

Gọi x1; x2;….; x100 là mẫu số liệu được xếp theo thứ tự không giảm.

Ta có x1,…., x17 ∈ [0,5; 2,5); x18,…., x50 ∈ [2,5; 4,5); x51,…., x75 ∈ [4,5; 6,5);

x76,…, x95 ∈ [6,5; 8,5); x96,…., x100 ∈ [8,5; 10,5).

Tứ phân vị thứ hai của dãy số liệu x1; x2;….; x100 là 12(x50+x51). Do x50 ∈ [4,5; 6,5) và  x51 ∈ [4,5; 6,5) nên tứ phân vị thứ hai của mẫu số liệu ghép nhóm là Q2=4,5.

Tứ phân vị thứ nhất của dãy số liệu x1; x2;….; x100 là 12(x25+x26). Do x25 và x26 thuộc nhóm [2,5; 4,5) nên tứ phân vị thứ nhất của mẫu số liệu ghép nhóm là

Q1=2,5+1.1004−1733.(4,5 – 2,5) = 19766≈2,98.

Tứ phân vị thứ ba của dãy số liệu x1; x2;….; x100 là 12(x75+x76). Do x75 ∈ [4,5; 6,5) và   x76 ∈ [6,5; 8,5) nên tứ phân vị thứ ba của mẫu số liệu ghép nhóm là Q3=6,5.

Tags : Tags bài tập Toán 11
Share
facebookShare on Facebook

Bài liên quan

Giải SGK Toán 11 Bài 12 (Kết nối tri thức): Đường thẳng và mặt phẳng song song

Giải SGK Toán 11 Bài 23 (Kết nối tri thức): Đường thẳng vuông góc với mặt phẳng

Giải SGK Toán 11 (Kết nối tri thức): Bài tập ôn tập cuối năm

Sách bài tập Toán 11 Bài 13 (Kết nối tri thức): Hai mặt phẳng song song

Sách bài tập Toán 11 Bài 26 (Kết nối tri thức): Khoảng cách

Giải Chuyên đề Toán 11 Kết nối tri thức Bài 4: Phép quay và phép đối xứng tâm

20 câu Trắc nghiệm Công thức lượng giác (Kết nối tri thức 2025) có đáp án – Toán lớp 11

20 Bài tập Giới hạn của dãy số (sách mới) có đáp án – Toán 11

0 Góp ý
Phản hồi nội tuyến
Xem tất cả bình luận

Mục lục

  1. Giải SGK Toán 11 Bài 1 (Kết nối tri thức): Giá trị lượng giác của góc lượng giác
  2. Giải SGK Toán 11 Bài 2 (Kết nối tri thức): Công thức lượng giác
  3. Giải SGK Toán 11 Bài 3 (Kết nối tri thức): Hàm số lượng giác
  4. Giải SGK Toán 11 Bài 4 (Kết nối tri thức): Phương trình lượng giác cơ bản
  5. Giải SGK Toán 11 (Kết nối tri thức) Bài tập cuối chương 1 trang 40
  6. Giải SGK Toán 11 Bài 5 (Kết nối tri thức): Dãy số
  7. Giải SGK Toán 11 Bài 6 (Kết nối tri thức): Cấp số cộng
  8. Giải SGK Toán 11 Bài 7 (Kết nối tri thức): Cấp số nhân
  9. Giải SGK Toán 11 (Kết nối tri thức) Bài tập cuối chương 2 trang 56
  10. Giải SGK Toán 11 Bài 8 (Kết nối tri thức): Mẫu số liệu ghép nhóm
  11. Giải SGK Toán 11 Bài 9 (Kết nối tri thức): Các số đặc trưng đo xu thế trung tâm
  12. Giải SGK Toán 11 (Kết nối tri thức) Bài tập cuối chương 3 trang 69
  13. Giải SGK Toán 11 Bài 10 (Kết nối tri thức): Đường thẳng và mặt phẳng trong không gian
  14. Giải SGK Toán 11 Bài 11 (Kết nối tri thức): Hai đường thẳng song song
  15. Giải SGK Toán 11 Bài 12 (Kết nối tri thức): Đường thẳng và mặt phẳng song song
  16. Giải SGK Toán 11 Bài 13 (Kết nối tri thức): Hai mặt phẳng song song
  17. Giải SGK Toán 11 Bài 14 (Kết nối tri thức): Phép chiếu song song
  18. Giải SGK Toán 11 (Kết nối tri thức): Bài tập cuối chương 4
  19. Giải SGK Toán 11 Bài 15 (Kết nối tri thức): Giới hạn của dãy số
  20. Giải SGK Toán 11 Bài 16 (Kết nối tri thức): Giới hạn của hàm số

Copyright © 2026 Học tập lớp 12 - Sách Toán - Học Tập AI
  • Sitemap
  • Chính sách
  • Giới thiệu
  • Hướng dẫn
  • Kết quả
  • Liên hệ
Back to Top
Menu
  • Sitemap
  • Chính sách
  • Giới thiệu
  • Hướng dẫn
  • Kết quả
  • Liên hệ
wpDiscuz