Skip to content

Học tập lớp 12

  • Trắc nghiệm Holland
  • Tính điểm xét tuyển
  • Danh sách trường Đại học
  • Kết quả bài thi

Học tập lớp 12

  • Home » 
  • Toán lớp 11

20 câu Trắc nghiệm Hàm số lượng giác (Kết nối tri thức 2025) có đáp án – Toán lớp 11

By Admin Lop12.com 23/02/2026 0

Trắc nghiệm Toán 11 Bài 3: Hàm số lượng giác

Câu 1. Tìm tập giá trị của hàm số y = 3cos2x + 5

A. T = [-1;1].   B. T = [-1;11]   C. T = [2;8]   D. T = [5;8]

Hướng dẫn giải

Đáp án đúng là: C

Ta có -1≤cos2x≤1 → -3≤3cos2x≤3 → 2≤3cos2x+5≤8

→ 2≤y≤8→ T = [2;8].

Câu 2. Hàm số y = 5+4sin2xcos2x có tất cả bao nhiêu giá trị nguyên?

A. 3.   B. 4.    C. 5.   D. 6.

Hướng dẫn giải

Đáp án đúng là: C

Ta có y = 5+4sin2xcos2x = 5+2sin4x. .

Mà -1≤sin4x≤1 →-2≤2sin4x≤2 → 3≤5+2sin4x≤7

→ y≤7 →3≤y≤7→y∈ℤy∈{3;4;5;6;7} nên y có 5 giá trị nguyên.

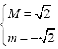
Câu 3. Gọi M, m lần lượt là giá trị lớn nhất và giá trị nhỏ nhất của hàm số y = sinx + cosx. Tính P = M – m.

A. P = 4   B. P = 22   C. P = 2   D. P = 2

Hướng dẫn giải

Đáp án đúng là: B

Ta có y = sinx + cosx = 2sinx+π4.

Mà -1≤sinx+π4≤1 →–2≤2sinx+π4≤2

→12 Bài tập Hàm số lượng giác (có đáp án) | Kết nối tri thức Trắc nghiệm Toán 11→P = M – m = 22.

Câu 4. Tìm chu kì T của hàm số y = cos2x + sinπ2

A. T = 4π   B. T = π   C. T = 2π   D. T = π2

Hướng dẫn giải

Đáp án đúng là: A

Hàm số y = cos2x tuần hoàn với chu kì T1=2π2=π.

Hàm số y = sinx2 tuần hoàn với chu kì T2=2π12=4π.

Suy ra hàm số y = cos2x + sinx2 tuần hoàn với chu kì T = 4π.

Nhận xét. T là của T1 và T2

Câu 5. Tìm chu kì T của hàm số y = cos3x + cos5x.

A. T = π   B. T = 3π   C. T = 2π   D. T = 5π

Hướng dẫn giải

Đáp án đúng là: C

Hàm số y = cos3x tuần hoàn với chu kì T1=2π3.

Hàm số Y = cos5x tuần hoàn với chu kì T2=2π5.

Suy ra hàm số y = cos3x + cos5x tuần hoàn với chu kì T = 2π

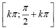
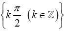
Câu 6. Tìm tập xác định D của hàm số y=2021sinx.

A. D = ℝ     B. D = ℝ\{0}

C. D =ℝ\{kπ,∈ℤ}   D. D = ℝ\12 Bài tập Hàm số lượng giác (có đáp án) | Kết nối tri thức Trắc nghiệm Toán 11

Hướng dẫn giải

Đáp án đúng là: C

Hàm số xác định khi và chỉ khi sinx≠0 ⇔x≠kπ, k∈ℤ.

Vật tập xác định D = ℝ\{kπ,k∈ℤ}.

Câu 7. Trong các hàm số sau đây, hàm số nào không tuần hoàn?

A. y = cosx   B. y = cos2x   C. y = x2cosx.   D. y = 1sin2x

Hướng dẫn giải

Đáp án đúng là: C

Câu 8. Đường cong trong hình dưới đây là đồ thị của một hàm số trong bốn hàm số được liệt kê ở bốn phương án A, B, C, D.

12 Bài tập Hàm số lượng giác (có đáp án) | Kết nối tri thức Trắc nghiệm Toán 11

Hỏi hàm số đó là hàm số nào?

A. y = 1+sin2x   B. y = cosx   C. y = -sinx   D. y = -cosx

Hướng dẫn giải

Đáp án đúng là: B

Ta thấy tại x = 0 thì y = 1. Do đó loại đáp án C và D.

Tại x = π2 thì y = 0. Do đó chỉ có đáp án B thỏa mãn.

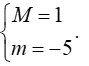
Câu 9. Tìm giá trị lớn nhất M và giá trị nhỏ nhất m của hàm số y = 3sinx – 2

A. M = 1, m = -5.   B. M = 3, m = 1   C. M = 2, m = -2   D. M = 0, m = -2.

Hướng dẫn giải

Đáp án đúng là: A

Ta có −1≤sinx≤1→−3≤3sinx≤3→−5≤3sinx−2≤1

→−5≤y≤1→12 Bài tập Hàm số lượng giác (có đáp án) | Kết nối tri thức Trắc nghiệm Toán 11

Câu 10. Trong các hàm số sau, hàm số nào là hàm số chẵn?

A. y = sin2x   B. y = xcosx   C. y = cosx.cotx   D. y = tanxsinx

Hướng dẫn giải

– Xét hàm số y = f(x) = sin2x.

TXĐ: D = ℝ. Do đó ∀x∈D⇒−x∈D.

Ta có f(-x) = sin(-2x) = -sin2x = -f(x) →f(x) là hàm số lẻ.

-Xét hàm số y = f(x) = xcosx.

TXĐ: D = ℝ. Do đó ∀x∈D⇒−x∈D.

Ta có f-x) = (-x).cos(-x) = -xcosx = -f(x) → f(x) là hàm số lẻ.

-Xét hàm số y = f(x) = cosx.cotx.

TXĐ: D = ℝ\{kπ(k∈ℤ)}. Do đó ∀x∈D⇒−x∈D.

Ta có f(-x) = cos(-x).cot(-x) = -cosxcotx = -f(x)→f(x) là hàm số lẻ.

– D = ℝ.Xét hàm số y = f(x) = tanxsinx.

TXĐ: D = ℝ\12 Bài tập Hàm số lượng giác (có đáp án) | Kết nối tri thức Trắc nghiệm Toán 11. Do đó ∀x∈D⇒−x∈D.

Ta có f−x=tan−xsin−x=−tanx−sinx=tanxsinx=fx →fx là hàm số chẵn.

Câu 11. Hàm số nào sau đây có chu kì khác π?

A. y=sinπ3−2x.  B. y=cos2x+π4.

C. y = tan(-2x+1).  D. y = cosxsinx

Hướng dẫn giải

Đáp án đúng là: C

Vì y = tan(-2x+1) có chu kì 12 Bài tập Hàm số lượng giác (có đáp án) | Kết nối tri thức Trắc nghiệm Toán 11

Nhận xét. Hàm số y = cosxsinx = 12sin2x có chu kỳ là π.

Câu 12. Trong các hàm số sau, hàm số nào có đồ thị đối xứng qua gốc tọa độ?

A. y=1sin3x.   B. y=sinx+π4.

C. y=2cosx−π4.    D. y=sin2x.

Hướng dẫn giải

Đáp án đúng là: A

Viết lại đáp án B là y=sinx+π4=12sinx+cosx.

Viết lại đáp án C là y=2cosx−π4=sinx+cosx.

Kiểm tra được đáp án A là hàm số lẻ nên có đồ thị đối xứng qua gốc tọa độ.

Ta kiểm tra được đáp án B và C là các hàm số không chẵn, không lẻ.

Xét đáp án D:

– Hàm số xác định ⇔sin2x ≥0 ⇔ 2x∈[k2π;π+k2π] ⇔ x∈12 Bài tập Hàm số lượng giác (có đáp án) | Kết nối tri thức Trắc nghiệm Toán 11

-> D = 12 Bài tập Hàm số lượng giác (có đáp án) | Kết nối tri thức Trắc nghiệm Toán 11 (k∈Z).

– Chọn x=π4∈D nhưng −x=−π4∉D. Vậy y=sin2x không chẵn, không lẻ.

Tags : Tags Trắc nghiệm Toán 11
Share
facebookShare on Facebook

Bài liên quan

Giải SGK Toán 11 Bài 12 (Kết nối tri thức): Đường thẳng và mặt phẳng song song

Giải SGK Toán 11 Bài 23 (Kết nối tri thức): Đường thẳng vuông góc với mặt phẳng

Giải SGK Toán 11 (Kết nối tri thức): Bài tập ôn tập cuối năm

Sách bài tập Toán 11 Bài 13 (Kết nối tri thức): Hai mặt phẳng song song

Sách bài tập Toán 11 Bài 26 (Kết nối tri thức): Khoảng cách

Giải Chuyên đề Toán 11 Kết nối tri thức Bài 4: Phép quay và phép đối xứng tâm

20 câu Trắc nghiệm Công thức lượng giác (Kết nối tri thức 2025) có đáp án – Toán lớp 11

20 Bài tập Giới hạn của hàm số (sách mới) có đáp án – Toán 11

0 Góp ý
Phản hồi nội tuyến
Xem tất cả bình luận

Mục lục

  1. Giải SGK Toán 11 Bài 1 (Kết nối tri thức): Giá trị lượng giác của góc lượng giác
  2. Giải SGK Toán 11 Bài 2 (Kết nối tri thức): Công thức lượng giác
  3. Giải SGK Toán 11 Bài 3 (Kết nối tri thức): Hàm số lượng giác
  4. Giải SGK Toán 11 Bài 4 (Kết nối tri thức): Phương trình lượng giác cơ bản
  5. Giải SGK Toán 11 (Kết nối tri thức) Bài tập cuối chương 1 trang 40
  6. Giải SGK Toán 11 Bài 5 (Kết nối tri thức): Dãy số
  7. Giải SGK Toán 11 Bài 6 (Kết nối tri thức): Cấp số cộng
  8. Giải SGK Toán 11 Bài 7 (Kết nối tri thức): Cấp số nhân
  9. Giải SGK Toán 11 (Kết nối tri thức) Bài tập cuối chương 2 trang 56
  10. Giải SGK Toán 11 Bài 8 (Kết nối tri thức): Mẫu số liệu ghép nhóm
  11. Giải SGK Toán 11 Bài 9 (Kết nối tri thức): Các số đặc trưng đo xu thế trung tâm
  12. Giải SGK Toán 11 (Kết nối tri thức) Bài tập cuối chương 3 trang 69
  13. Giải SGK Toán 11 Bài 10 (Kết nối tri thức): Đường thẳng và mặt phẳng trong không gian
  14. Giải SGK Toán 11 Bài 11 (Kết nối tri thức): Hai đường thẳng song song
  15. Giải SGK Toán 11 Bài 12 (Kết nối tri thức): Đường thẳng và mặt phẳng song song
  16. Giải SGK Toán 11 Bài 13 (Kết nối tri thức): Hai mặt phẳng song song
  17. Giải SGK Toán 11 Bài 14 (Kết nối tri thức): Phép chiếu song song
  18. Giải SGK Toán 11 (Kết nối tri thức): Bài tập cuối chương 4
  19. Giải SGK Toán 11 Bài 15 (Kết nối tri thức): Giới hạn của dãy số
  20. Giải SGK Toán 11 Bài 16 (Kết nối tri thức): Giới hạn của hàm số

Copyright © 2026 Học tập lớp 12 - Sách Toán - Học Tập AI
  • Sitemap
  • Chính sách
  • Giới thiệu
  • Hướng dẫn
  • Kết quả
  • Liên hệ
Back to Top
Menu
  • Sitemap
  • Chính sách
  • Giới thiệu
  • Hướng dẫn
  • Kết quả
  • Liên hệ
wpDiscuz