Skip to content

Học tập lớp 12

  • Trắc nghiệm Holland
  • Tính điểm xét tuyển
  • Danh sách trường Đại học
  • Kết quả bài thi

Học tập lớp 12

  • Home » 
  • Toán lớp 11

20 Bài tập Hàm số liên tục (sách mới) có đáp án – Toán 11

By Admin Lop12.com 23/02/2026 0

Bài tập Toán 11 Hàm số liên tục

A. Bài tập Hàm số liên tục

Bài 1: Cho hàm số f(x) = Lý thuyết Toán 11 Kết nối tri thức Bài 17: Hàm số liên tục. Tìm giá trị của m để f(x) liên tục trên [0; +∞).

Hướng dẫn giải

+) Với x ∈ (0; 9): f(x) = 3−9−xx liên tục trên (0; 9).

+) Với x ∈ [9; +∞) thì f(x) = 3x liên tục trên [9; +∞).

+) Tại x = 0 ta có f(0) = m

Lý thuyết Toán 11 Kết nối tri thức Bài 17: Hàm số liên tục

Vậy để hàm số liên tục trên [0; +∞) khi nó phải liên tục tại x = 0.

Suy ra: limx→0+f(x) = m⇒m = 16.

Vậy m = 16 thì f(x) liên tục trên [0; +∞).

Bài 2: Cho hàm số f(x) = Lý thuyết Toán 11 Kết nối tri thức Bài 17: Hàm số liên tục. Xét tính liên tục của hàm số tại x = 0.

Hướng dẫn giải

Ta có: f(0) = 0

limx→0+f(x) = limx→0+(x2+1) = 1

limx→0−f(x) = limx→0−x = 0

Vậy f(x) gián đoạn tại x = 0.

Bài 3: Cho f(x) và g(x) là các hàm số liên tục tại x = 1. Biết f(1) = 3 và limx→1[2f(x)-g(x)] = 4. Tính g(1).

Hướng dẫn giải

Vì hàm số f(x) liên tục tại x = 1 nên hàm số 2f(x) cũng liên tục tại x = 1.

Mà hàm số g(x) liên tục tại x = 1. Do đó, hàm số y = 2f(x) – g(x) liên tục tại x = 1.

Suy ra: limx→1[2f(x)-g(x)] = 2f(1) – g(1) = 4

Mà f(1) = 3 nên ta có: 2 . 3 – g(1) = 4, suy ra g(1) = 2.

Vậy g(1) = 2.

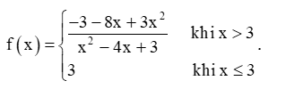
Bài 4. Tìm giá trị m để hàm số sau đây liên tục trên tập xác định:

Lý thuyết Toán 11 Chân trời sáng tạo Bài 3: Hàm số liên tục

Hướng dẫn giải

Tập xác định của hàm số là D = ℝ.

Xét trường hợp x ≠ 1, hàm số có dạng f(x) = x2−3x+2x−1, là hàm số phân thức trên tập xác định (–∞; 1) ∪ (1; +∞) nên nó liên tục trên các khoảng (–∞; 1) và (1; +∞).

Xét trường hợp x = 1, ta có:

Lý thuyết Toán 11 Chân trời sáng tạo Bài 3: Hàm số liên tục

• f(1) = 2m. 1+1= 2m +1

Khi đó, để hàm f (x) liên tục tại điểm x0 = 1 thì:

limx→1f(x) = f(1)⇔2m+1= -1⇔m = – 1

Vậy m = −1 là giá trị của tham số m cần tìm.

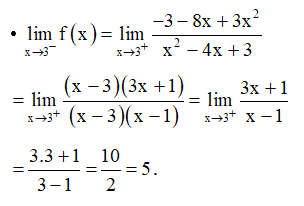
Bài 5. Xét tính liên tục của hàm số sau đây tại điểm x = 3.

Lý thuyết Toán 11 Chân trời sáng tạo Bài 3: Hàm số liên tục

Hướng dẫn giải

Ta có:

• limx→3+f(x) = limx→3+3 = 3

Lý thuyết Toán 11 Chân trời sáng tạo Bài 3: Hàm số liên tục

Do limx→3+f(x) ≠ limx→3−f(x) (3 ≠5) nên hàm số gián đoạn tại điểm x = 3.

Bài 6. Chứng minh rằng phương trình 3x3 + x2 – x – 1 có nghiệm trong khoảng (−1; 1).

Hướng dẫn giải

Hàm số f(x) = 3x3 + x2 – x – 1 là một hàm số đa thức, nên f (x) liên tục trên ℝ.

Suy ra, f (x) cũng liên tục trên đoạn [−1; 1].

Ta có:

• f(–1) = 3 . (–1)3 + (–1)2 – (–1) – 1 = –3 + 1 + 1 – 1 = –2;

• f(1) = 3 . 13 + 12 – 1 – 1 = 3 + 1 – 1 – 1 = 2.

Suy ra f(–1) . f(1) = (–2) . 2 = – 4 < 0.

Do vậy, có ít nhất một nghiệm c ∈ (−1; 1) sao cho f (c) = 0.

Vậy phương trình 3x3 + x2 – x – 1 có nghiệm trong khoảng (−1; 1).

Bài 7. Dùng định nghĩa xét tính liên tục của hàm số f(x) = x3 + 2x – 1 tại x0 = –1.

Hướng dẫn giải

Lý thuyết Toán 11 Cánh diều Bài 3: Hàm số liên tục

Vậy hàm số đã cho liên tục tại x0 = –1.

Bài 8. Xét tính liên tục của các hàm số sau trên tập xác định của hàm số đó:

a) f(x) = x + sinx;

Lý thuyết Toán 11 Cánh diều Bài 3: Hàm số liên tục.

Hướng dẫn giải

a) Hàm số f(x) có tập xác định là ℝ.

Hai hàm số x và sinx liên tục trên ℝ nên hàm số f(x) = x + sinx liên tục trên ℝ.

b) Hàm số Lý thuyết Toán 11 Cánh diều Bài 3: Hàm số liên tục có tập xác định là ℝ\{2}.

Do đó hàm số Lý thuyết Toán 11 Cánh diều Bài 3: Hàm số liên tục liên tục trên mỗi khoảng (–∞; 2) và (2; +∞).

c) Hàm số h(x) có tập xác định là ℝ.

Vì tử thức cosx liên tục ℝ và mẫu thức x2 + 1 ≠ 0 liên tục trên ℝ.

Vậy h(x) liên tục trên ℝ.

Bài 9. Xét tính liêm tục của hàm số Lý thuyết Toán 11 Cánh diều Bài 3: Hàm số liên tục  trên tập xác định của nó.

Hướng dẫn giải

Hàm số có TXĐ: D = ℝ.

Hàm số liên tục trên mỗi khoảng (–∞; –1); (–1; 0)  và (0; +∞).

• Tại x = –1, ta có:

Lý thuyết Toán 11 Cánh diều Bài 3: Hàm số liên tục

⇒ Hàm số f(x) liên tục tại x = –1.

• Tại x = 0, ta có:

Lý thuyết Toán 11 Cánh diều Bài 3: Hàm số liên tục

⇒ Hàm số f(x) liên tục tại x = 0.

Vậy hàm số f(x) liên tục tại mọi điểm x ∈ ℝ.

Bài 10. Tìm giá trị của tham số m để hàm số Lý thuyết Toán 11 Cánh diều Bài 3: Hàm số liên tục liên tục trên đoạn [0; 2].

Hướng dẫn giải

Hàm số xác định trên [0; 2] và liên tục trên [0; 2).

Khi đó để f(x) liên tục trên đoạn [0; 2] thì hàm số liên tục tại x = 2.

Tức là ta cần có: Lý thuyết Toán 11 Cánh diều Bài 3: Hàm số liên tục

Ta có: Lý thuyết Toán 11 Cánh diều Bài 3: Hàm số liên tục    

Do đó (*) xảy ra khi và chỉ khi Lý thuyết Toán 11 Cánh diều Bài 3: Hàm số liên tục.

B. Lý thuyết Hàm số liên tục

1. Hàm số liên tục tại một điểm

Cho hàm số y = f(x) xác định trên khoảng K và x0 ∈ K.

Hàm số y = f(x) được gọi là liên tục tại điểm x0 nếulimx→x0f(x) = f(x0) .

Nhận xét: Để hàm số y = f(x) liên tục tại x0 thì phải có cả ba điều sau:

• Hàm số xác định tại x0;

• Tồn tại limx→x0f(x) ;

• limx→x0 f(x) = f(x0) .

Chú ý: Khi hàm số y = f(x) không liên tục tại điểm x0 thì ta nói f (x) gián đoạn tại điểm  x0 và x0 được gọi là điểm gián đoạn của hàm số f (x).

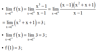
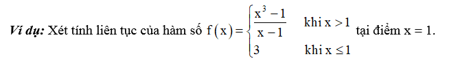
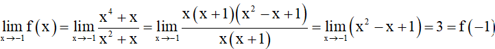
Hàm số liên tục (Lý thuyết Toán lớp 11) | Chân trời sáng tạo

Hướng dẫn giải

Ta có:

Hàm số liên tục (Lý thuyết Toán lớp 11) | Chân trời sáng tạo

Vì limx→1+f(x) = limx→1−f(x) = f(1)nên hàm số trên liên tục tại điểm x = 1.

2. Hàm số liên tục trên một khoảng, trên một đoạn

• Cho hàm số y = f(x) xác định trên khoảng (a; b).

Hàm số y = f(x) được gọi là liên tục trên khoảng (a; b) nếu f(x) liên tục tại mọi điểm trong khoảng ấy.

• Cho hàm số y = f(x) xác định trên đoạn [a; b].

Hàm số y = f(x) được gọi là liên tục trên đoạn [a; b] nếu f(x) liên tục trên khoảng (a; b) và limx→a+f(x) = f(a),  limx→b−f(x) = f(b).

Nhận xét: Nếu hàm số y = f(x) liên tục trên đoạn [a; b] và f(a).f(b) < 0 thì luôn tồn tại ít nhất một điểm c ∈ (a; b) sao cho f (c) = 0.

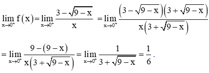
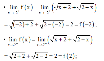
Ví dụ: Xét tính liên tục của hàm số y=x+2+2−x  trên [−2; 2].

Hướng dẫn giải

Với mọi  x0∈(-2; 2), ta có:

Hàm số liên tục (Lý thuyết Toán lớp 11) | Chân trời sáng tạo

Do đó f (x) liên tục tại mọi điểm x0∈(-2; 2)

Ta lại có:

Hàm số liên tục (Lý thuyết Toán lớp 11) | Chân trời sáng tạo

Vậy hàm số y=x+2+2−x  liên tục trên đoạn [−2; 2].

3. Tính liên tục của hàm số sơ cấp

• Hàm số đa thức y = P (x)  , các hàm số lượng giác y = sin x, y = cos x liên tục trên ℝ.

• Hàm số phân thức y = P (x)Q (x), hàm số căn thức y = P(x), các hàm số lượng giác y=tanx, y=cotx  liên tục trên các khoảng của tập xác định của chúng.

Trong đó P(x) và Q(x) là các đa thức.

Nhận xét: Hàm số thuộc những loại trên được gọi chung là hàm số sơ cấp.

Sau đây, khi nói xét tính liên tục của một hàm số mà không nói gì thêm thì ta xét tính liên tục của hàm số đó trên những khoảng xác định của nó.

Ví dụ: Xét tính liên tục của các hàm số sau:

a) y = 2x3 + 3x2 – 2;

b) y=x2+x+1x−2 .

Hướng dẫn giải

a) y = 2x3 + 3x2 – 2 là hàm số đa thức nên nó liên tục trên ℝ.

b) y=x2+x+1x−2  là hàm số phân thức, có tập xác định (–∞; 2) ∪ (2; +∞) nên nó liên tục trên các khoảng (–∞; 2) và (2; +∞).

4. Tổng, hiệu, tích, thương của hàm số liên tục

Cho hai hàm số số y = f(x) và y = g(x) liên tục tại điểm x0. Khi đó:

• Các hàm số y = f(x) + g(x); y = f(x) – g(x) và y = f(x).g(x) liên tục tại x0.

• Hàm số y = f(x)g(x) liên tục tại x0 nếu g(x0) ≠ 0.

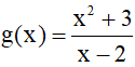
Ví dụ: Xét tính liên tục của hàm số y=x−2x−4 .

Hướng dẫn giải

Tập xác định của hàm số: D = (4; +∞).

Các hàm số y = x – 2 và y=x−4  liên tục tại mọi điểm x0 ∈ D.

Do đó, hàm số y=x−2x−4  liên tục trên khoảng (4; +∞).

Video bài giảng Toán 11 Bài 17: Hàm số liên tục – Kết nối tri thức

Tags : Tags bài tập Toán 11
Share
facebookShare on Facebook

Bài liên quan

Giải SGK Toán 11 Bài 12 (Kết nối tri thức): Đường thẳng và mặt phẳng song song

Giải SGK Toán 11 Bài 23 (Kết nối tri thức): Đường thẳng vuông góc với mặt phẳng

Giải SGK Toán 11 (Kết nối tri thức): Bài tập ôn tập cuối năm

Sách bài tập Toán 11 Bài 13 (Kết nối tri thức): Hai mặt phẳng song song

Sách bài tập Toán 11 Bài 26 (Kết nối tri thức): Khoảng cách

Giải Chuyên đề Toán 11 Kết nối tri thức Bài 4: Phép quay và phép đối xứng tâm

20 câu Trắc nghiệm Công thức lượng giác (Kết nối tri thức 2025) có đáp án – Toán lớp 11

20 Bài tập Giới hạn của dãy số (sách mới) có đáp án – Toán 11

0 Góp ý
Phản hồi nội tuyến
Xem tất cả bình luận

Mục lục

  1. Giải SGK Toán 11 Bài 1 (Kết nối tri thức): Giá trị lượng giác của góc lượng giác
  2. Giải SGK Toán 11 Bài 2 (Kết nối tri thức): Công thức lượng giác
  3. Giải SGK Toán 11 Bài 3 (Kết nối tri thức): Hàm số lượng giác
  4. Giải SGK Toán 11 Bài 4 (Kết nối tri thức): Phương trình lượng giác cơ bản
  5. Giải SGK Toán 11 (Kết nối tri thức) Bài tập cuối chương 1 trang 40
  6. Giải SGK Toán 11 Bài 5 (Kết nối tri thức): Dãy số
  7. Giải SGK Toán 11 Bài 6 (Kết nối tri thức): Cấp số cộng
  8. Giải SGK Toán 11 Bài 7 (Kết nối tri thức): Cấp số nhân
  9. Giải SGK Toán 11 (Kết nối tri thức) Bài tập cuối chương 2 trang 56
  10. Giải SGK Toán 11 Bài 8 (Kết nối tri thức): Mẫu số liệu ghép nhóm
  11. Giải SGK Toán 11 Bài 9 (Kết nối tri thức): Các số đặc trưng đo xu thế trung tâm
  12. Giải SGK Toán 11 (Kết nối tri thức) Bài tập cuối chương 3 trang 69
  13. Giải SGK Toán 11 Bài 10 (Kết nối tri thức): Đường thẳng và mặt phẳng trong không gian
  14. Giải SGK Toán 11 Bài 11 (Kết nối tri thức): Hai đường thẳng song song
  15. Giải SGK Toán 11 Bài 12 (Kết nối tri thức): Đường thẳng và mặt phẳng song song
  16. Giải SGK Toán 11 Bài 13 (Kết nối tri thức): Hai mặt phẳng song song
  17. Giải SGK Toán 11 Bài 14 (Kết nối tri thức): Phép chiếu song song
  18. Giải SGK Toán 11 (Kết nối tri thức): Bài tập cuối chương 4
  19. Giải SGK Toán 11 Bài 15 (Kết nối tri thức): Giới hạn của dãy số
  20. Giải SGK Toán 11 Bài 16 (Kết nối tri thức): Giới hạn của hàm số

Copyright © 2026 Học tập lớp 12 - Sách Toán - Học Tập AI
  • Sitemap
  • Chính sách
  • Giới thiệu
  • Hướng dẫn
  • Kết quả
  • Liên hệ
Back to Top
Menu
  • Sitemap
  • Chính sách
  • Giới thiệu
  • Hướng dẫn
  • Kết quả
  • Liên hệ
wpDiscuz