Skip to content

Học tập lớp 12

  • Trắc nghiệm Holland
  • Tính điểm xét tuyển
  • Danh sách trường Đại học
  • Kết quả bài thi

Học tập lớp 12

  • Home » 
  • Toán lớp 11

20 câu Trắc nghiệm Giá trị lượng giác của góc lượng giác (Kết nối tri thức 2025) có đáp án – Toán lớp 11

By Admin Lop12.com 23/02/2026 0

Trắc nghiệm Toán 11 Bài 1: Giá trị lượng giác của góc lượng giác

Câu 1. Tính giá trị biểu thức P = tan10o.tan20o.tan30o…..tan80o

A. P = 0   B. P = 1   C. P = 4   D. P = 8

Hướng dẫn giải

Đáp án đúng là: B

Áp dụng công thức tanx.tan(90o-x) = tanx.cotx = 1.

Do đó P = 1.

Câu 2. Cho P = sin(π+α).cos(π–α) và Q = sinπ2−α.cosπ2+α. Mệnh đề nào dưới đây là đúng?

A. P+Q = 0   B. P+Q = -1   C. P+Q = 1   D. P+Q = 2

Hướng dẫn giải

Đáp án đúng là: A

Ta có P = sin(π+α).cos(π–α) = -sinα.(-cosα) = sinα.cosα.

Và Q = sinπ2−α.cosπ2+α. = cosα.(-sinα) = -sinα.cosα.

Khi đó P+Q = sinα.cosα – sinα.cosα = 0

Câu 3. Biết A, B, C là các góc của tam giác ABC, mệnh đề nào sau đây đúng:

A. sin(A+C) = -sinB     B. cos(A+C) = -cosB.

C. tan(A+C) = tanB     D. cot(A+C) = cotB.

Hướng dẫn giải

Đáp án đúng là: B

Vì A, B, C là ba góc của một tam giác suy ra A+C = π-B.

Khi đó (A+C) = sin(π-B) = sinB; cos(A+C) = cos(π-B) = -cosB.

tan(A+C) = tan(π-B) = -tanB; cot(A+C) = cot(π-B) = -cotB.

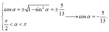
Câu 4. Cho góc α thỏa mãn sinα = 1213 và π2<α<π. Tính cosα.

A. cosα = 113.   B. cosα = 513.   C. cosα = –513   D. cosα = –113.

Hướng dẫn giải

Đáp án đúng là: D

Ta có 12 Bài tập Giá trị lượng giác của góc lượng giác (có đáp án) | Kết nối tri thức Trắc nghiệm Toán 11

Câu 5. Cho góc α thỏa mãn cotα = 13. Tính P=3sinα+4cosα2sinα−5cosα.

A. P = –1513   B. P = 1513.   C. P = -13   D. P = 13.

Hướng dẫn giải

Đáp án đúng là: D

Chia cả tử và mẫu của P cho sinα ta được P=3+4cotα2−5cotα=3+4.132−5.13=13.

Câu 6. Khẳng định nào sau đây là đúng khi nói về “đường tròn lượng giác”?

A. Mỗi đường tròn là một đường tròn lượng giác.

B. Mỗi đường tròn có bán kính R = 1 là một đường tròn lượng giác.

C. Mỗi đường tròn có bán kính R = 1, tâm trùng với gốc tọa độ là một đường tròn lượng giác.

D. Mỗi đường tròn định hướng có bán kính R = 1, tâm trùng với gốc tọa độ là một đường tròn lượng giác.

Hướng dẫn giải

Đáp án đúng là: D

Câu 7. Đổi số đo của góc 70o sang đơn vị radian.

A. 70π.   B. 718.   C. 7π18.   D. 718π.

Hướng dẫn giải

Đáp án đúng là:C

Áp dụng công thức α=a.π180 với α tính bằng radian, a tính bằng độ.

Ta có α=a.π180=70π180=7π18 .

Câu 8. Tính độ dài l của cung trên đường tròn có bán kính bằng 20cm và số đo π16.

A. l = 3,93cm.   B. l = 2,94cm.   C. l = 3,39cm   D. l = 1,49cm

Hướng dẫn giải

Đáp án đúng là:A

Áp dụng công thức l=Rα=20.π16≈3,93cm.

Câu 9. Với mọi số thực α, ta có sin9π2+α bằng

A. -sinα   B. cosα   C. sinα   D. -cosα

Hướng dẫn giải

Đáp án đúng là: B

Ta có sin9π2+α=sin4π+π2+α=sinπ2+α=cosα.

Câu 10. Cho π<α<3π2. Khẳng định nào sau đây đúng?

A. tan3π2−α<0.   B. tan3π2−α>0

C. tan3π2−α≤0   D. tan3π2−α≥0

Hướng dẫn giải

Đáp án đúng là: B

Ta có π<α<3π2→0<3π2−α<π212 Bài tập Giá trị lượng giác của góc lượng giác (có đáp án) | Kết nối tri thức Trắc nghiệm Toán 11

Câu 11. Cho góc α thỏa mãn sinα + cosα = 54. Tính P = sinα.cosα.

A. P = 916.   B. P = 932 .   C. P = 98.   D. P =18.

Hướng dẫn giải

Đáp án đúng là: B

Từ giả thiết, ta có (sinα+cosα)2 = 2516⇔ 1 +2sinα.cosα = 2516

Câu 12. Cho góc α thỏa mãn π<α<3π2 và sinα-2cosα = 1. Tính P = 2tanα – cotα.

A. P = 12.   B. P = 14.   C. P =16.   D. P = 18.

Hướng dẫn giải

Đáp án đúng là: C

Với π<α<3π2 suy ra 12 Bài tập Giá trị lượng giác của góc lượng giác (có đáp án) | Kết nối tri thức Trắc nghiệm Toán 11.

Ta có 12 Bài tập Giá trị lượng giác của góc lượng giác (có đáp án) | Kết nối tri thức Trắc nghiệm Toán 11⇒1+2cosα2+cos2α=1

⇔5cos2α+4cosα=0⇔12 Bài tập Giá trị lượng giác của góc lượng giác (có đáp án) | Kết nối tri thức Trắc nghiệm Toán 11.

Từ hệ thức sin2α+cos2α=1, suy ra sinα=−35 (do sinα<0) → tanα = sinαcosα=34và cotα=cosαsinα=43.

Thay tanα=34 và cotα=43 vào P, ta được P = 16.

Tags : Tags Trắc nghiệm Toán 11
Share
facebookShare on Facebook

Bài liên quan

Giải SGK Toán 11 Bài 12 (Kết nối tri thức): Đường thẳng và mặt phẳng song song

Giải SGK Toán 11 Bài 23 (Kết nối tri thức): Đường thẳng vuông góc với mặt phẳng

Giải SGK Toán 11 (Kết nối tri thức): Bài tập ôn tập cuối năm

Sách bài tập Toán 11 Bài 13 (Kết nối tri thức): Hai mặt phẳng song song

Sách bài tập Toán 11 Bài 26 (Kết nối tri thức): Khoảng cách

Giải Chuyên đề Toán 11 Kết nối tri thức Bài 4: Phép quay và phép đối xứng tâm

20 câu Trắc nghiệm Hàm số lượng giác (Kết nối tri thức 2025) có đáp án – Toán lớp 11

20 Bài tập Giới hạn của hàm số (sách mới) có đáp án – Toán 11

0 Góp ý
Phản hồi nội tuyến
Xem tất cả bình luận

Mục lục

  1. Giải SGK Toán 11 Bài 1 (Kết nối tri thức): Giá trị lượng giác của góc lượng giác
  2. Giải SGK Toán 11 Bài 2 (Kết nối tri thức): Công thức lượng giác
  3. Giải SGK Toán 11 Bài 3 (Kết nối tri thức): Hàm số lượng giác
  4. Giải SGK Toán 11 Bài 4 (Kết nối tri thức): Phương trình lượng giác cơ bản
  5. Giải SGK Toán 11 (Kết nối tri thức) Bài tập cuối chương 1 trang 40
  6. Giải SGK Toán 11 Bài 5 (Kết nối tri thức): Dãy số
  7. Giải SGK Toán 11 Bài 6 (Kết nối tri thức): Cấp số cộng
  8. Giải SGK Toán 11 Bài 7 (Kết nối tri thức): Cấp số nhân
  9. Giải SGK Toán 11 (Kết nối tri thức) Bài tập cuối chương 2 trang 56
  10. Giải SGK Toán 11 Bài 8 (Kết nối tri thức): Mẫu số liệu ghép nhóm
  11. Giải SGK Toán 11 Bài 9 (Kết nối tri thức): Các số đặc trưng đo xu thế trung tâm
  12. Giải SGK Toán 11 (Kết nối tri thức) Bài tập cuối chương 3 trang 69
  13. Giải SGK Toán 11 Bài 10 (Kết nối tri thức): Đường thẳng và mặt phẳng trong không gian
  14. Giải SGK Toán 11 Bài 11 (Kết nối tri thức): Hai đường thẳng song song
  15. Giải SGK Toán 11 Bài 12 (Kết nối tri thức): Đường thẳng và mặt phẳng song song
  16. Giải SGK Toán 11 Bài 13 (Kết nối tri thức): Hai mặt phẳng song song
  17. Giải SGK Toán 11 Bài 14 (Kết nối tri thức): Phép chiếu song song
  18. Giải SGK Toán 11 (Kết nối tri thức): Bài tập cuối chương 4
  19. Giải SGK Toán 11 Bài 15 (Kết nối tri thức): Giới hạn của dãy số
  20. Giải SGK Toán 11 Bài 16 (Kết nối tri thức): Giới hạn của hàm số

Copyright © 2026 Học tập lớp 12 - Sách Toán - Học Tập AI
  • Sitemap
  • Chính sách
  • Giới thiệu
  • Hướng dẫn
  • Kết quả
  • Liên hệ
Back to Top
Menu
  • Sitemap
  • Chính sách
  • Giới thiệu
  • Hướng dẫn
  • Kết quả
  • Liên hệ
wpDiscuz