Skip to content

Học tập lớp 12

  • Trắc nghiệm Holland
  • Tính điểm xét tuyển
  • Danh sách trường Đại học
  • Kết quả bài thi

Học tập lớp 12

  • Home » 
  • Toán lớp 11

Sách bài tập Toán 11 (Kết nối tri thức) Bài tập ôn tập cuối năm

By Admin Lop12.com 23/02/2026 0

Giải SBT Toán lớp 11 Bài tập ôn tập cuối năm

A – Trắc nghiệm

Giải SBT Toán 11 trang 66

Bài 1 trang 66 SBT Toán 11 Tập 2: Khẳng định nào sau đây là sai?

A. sinx – cosx = 2sinx–π4.

B. sinx + cosx = 2sinx+π4.

C. sinx + cosx = 2cosx+π4.

D. cosx – sinx = 2cosx–π4.

Lời giải:

Đáp án đúng là: C

sinx + cosx = 222⋅sinx+22⋅cosx = 2cosx⋅cosπ4+sinx⋅sinπ4

= 2cosx–π4. Vậy khẳng định C sai.

Bài 2 trang 66 SBT Toán 11 Tập 2: Hàm số y = cos2x3 là hàm số tuần hoàn với chu kì

A. 2π.

B. π.

C. 3π2.

D. 3π.

Lời giải:

Đáp án đúng là: D

Hàm số y = cos2x3 tuần hoàn với chu kì T=2π23=3π .

Giải SBT Toán 11 trang 67

Bài 3 trang 67 SBT Toán 11 Tập 2: Nghiệm lớn nhất của phương trình lượng giác cos2x−π3 = sinx trong đoạn Nghiệm lớn nhất của phương trình lượng giác cos(2x - pi/3) = sinx là

A. −π6 .

B. 5π6 .

C. 5π18 .

D. 17π18.

Lời giải:

Đáp án đúng là: D

Ta có cos2x−π3=sinx⇔cos2x−π3=cosπ2−x

Nghiệm lớn nhất của phương trình lượng giác cos(2x - pi/3) = sinx

Có Nghiệm lớn nhất của phương trình lượng giác cos(2x - pi/3) = sinx nên Nghiệm lớn nhất của phương trình lượng giác cos(2x - pi/3) = sinx

Nghiệm lớn nhất của phương trình lượng giác cos(2x - pi/3) = sinx.

Với k = −1 thì x=−7π18 ;

Với k = 0 thì x=5π18 ;

Với k = 1 thì x=17π18 ;

Với m = 0 thì x=−π6 .

Vậy x=17π18 là nghiệm lớn nhất cần tìm.

Bài 4 trang 67 SBT Toán 11 Tập 2: Cho cấp số cộng (un) có u1 = 1; u10 = −17. Số hạng thứ 100 của cấp số cộng này là

A. −197.

B. −199.

C. −170.

D. 289.

Lời giải:

Đáp án đúng là: A

Vì u10 = u1 + 9d nên −17 = 1 + 9d ⇔ d = −2.

Số hạng thứ 100 của cấp số cộng là u100 = u1 + 99d = 1 + 99.(−2) = −197.

Bài 5 trang 67 SBT Toán 11 Tập 2: Cho cấp số nhân có số hạng thứ năm bằng 48 và số hạng thứ mười hai bằng −6 144. Số hạng thứ mười của cấp số nhân này bằng

A. 1 536.

B. −1 536.

C. 3 072.

D. −3 072.

Lời giải:

Đáp án đúng là: B

Có u5 = u1.q4 = 48; u12 = u1.q11 = −6 144.

Do đó u5u12=q4q11=48−6144⇒1q7=−1128⇒q7 = -128 ⇒q = -2 .

Mà u5 = u1×q4 = 48 nên u1=48−24=3.

Khi đó số hạng thứ mười của cấp số nhân là u10 = u1.q9 = 3.(−2)9 = −1 536.

Bài 6 trang 67 SBT Toán 11 Tập 2: Số thập phân vô hạn tuần hoàn x = 1,(2) = 1,2222… viết được dưới dạng phân số tối giản là

A. 129 .

B. 119 .

C. 109 .

D. 2218 .

Lời giải:

Đáp án đúng là: B

Ta có x = 1,2222… = 1+210+2100+21000+…

Ta thấy 210+2100+21000+… là tổng cấp số nhân lùi vô hạn với u1=210;q=110 .

Do đó 210+2100+21000+…=2101−110=29 .

Vậy x = 1,2222…=1+210+2100+21000+…=1+29=119.

Bài 7 trang 67 SBT Toán 11 Tập 2: Trong các mệnh đề sau, mệnh đề sai là

A. limx→0−1x=−∞ .

B. limx→0+1x=+∞ .

C. limx→0−1x2=−∞ .

D. limx→0+1x3=+∞ .

Lời giải:

Đáp án đúng là: C

Ta có limx→0−1x2=+∞ nên đáp án C sai.

Bài 8 trang 67 SBT Toán 11 Tập 2: Giá trị của m để hàm số Giá trị của m để hàm số f(x) = (x^2+3x+2)/(x+1) khi x >-1 liên tục trên ℝ là

A. 3.

B. 1.

C. −3.

D. −1.

Lời giải:

Đáp án đúng là: D

+) Khi x > −1 thì f(x)=x2+3x+2x+1 liên tục.

+) Khi x < −1 thì f(x) = −2x + m liên tục.

Do đó hàm số liên tục trên ℝ khi và chỉ khi hàm số liên tục tại x = −1.

Ta xét tính liên tục của hàm số tại x = −1. Ta có:

f(– 1) = 2 + m;

limx→−1−fx=limx→−1−−2x+m=2+m;

limx→−1+fx=limx→−1+x2+3x+2x+1=limx→−1+x+1x+2x+1=limx→−1+x+2=1.

Để hàm số liên tục tại x = −1 khi và chỉ khi 2 + m = 1 ⇔ m = −1.

Vậy m = −1 là giá trị cần tìm.

Bài 9 trang 67 SBT Toán 11 Tập 2: Hàm số đồng biến trên toàn bộ tập số thực ℝ là

A. y = 2−x.

B. y=πex .

C. y = lnx.

D. y = logx.

Lời giải:

Đáp án đúng là: B

+) Hàm số y = 2−x = 12x có 0<12<1 nên hàm số y = 2−x nghịch biến trên ℝ.

+) Hàm số y=πex có πe>1 nên hàm số y=πex đồng biến trên ℝ.

+) Hàm số y = lnx đồng biến trên (0; +∞).

+) Hàm số y = logx đồng biến trên (0; +∞).

Bài 10 trang 67 SBT Toán 11 Tập 2: Tập nghiệm của bất phương trình 122x2−x+1≤14x là

A. Tập nghiệm của bất phương trình (1/2)^(2x^2-x+1) nhỏ hơn hoặc bằng (1/4)^x là .

B. Tập nghiệm của bất phương trình (1/2)^(2x^2-x+1) nhỏ hơn hoặc bằng (1/4)^x là .

C. 12;1 .

D. −∞;12∪1;+∞ .

Lời giải:

Đáp án đúng là: B

Ta có 122x2−x+1≤14x⇔122x2−x+1≤122x

⇔ 2x2 – x + 1 ≥ 2x ⇔ 2x2 – 3x + 1≥0

⇔ (2x – 1)(x – 1) ≥ 0 ⇔Tập nghiệm của bất phương trình (1/2)^(2x^2-x+1) nhỏ hơn hoặc bằng (1/4)^x là.

Vậy tập nghiệm của bất phương trình là Tập nghiệm của bất phương trình (1/2)^(2x^2-x+1) nhỏ hơn hoặc bằng (1/4)^x là .

Giải SBT Toán 11 trang 68

Bài 11 trang 68 SBT Toán 11 Tập 2: Đạo hàm của hàm số y=sin22x+ex2−1 là

A. y‘=sin4x+2xex2−1 .

B. y’ = 2sin2x + 2xex2−1.

C. y’ = 2sin4x + 2xex2−1 .

D. y’ = 4sin2xcos2x + ex2−1.

Lời giải:

Đáp án đúng là: C

Ta có y‘=sin22x+ex2−1‘=sin22x‘+ex2−1‘

= 2sin2x(sin2x)’ + ex2−1(x2 – 1)’

= 4sin2xcos2x + 2xex2−1 = 2sin4x + 2ex2−1.

Vậy y’ = 2sin4x + 2xex2−1.

Bài 12 trang 68 SBT Toán 11 Tập 2: Cho chuyển động thẳng xác định bởi phương trình s = t3 – 3t2 (s tính bằng mét, t tính bằng giây). Trong các khẳng định sau, khẳng định đúng là

A. Gia tốc của chuyển động tại thời điểm t = 2 giây là a = 0 m/s2.

B. Vận tốc của chuyển động tại thời điểm t = 2 giây là v = −4 m/s.

C. Gia tốc của chuyển động tại thời điểm t = 3 giây là a = 12 m/s2.

D. Vận tốc của chuyển động tại thời điểm t = 3 giây là v = 0 m/s.

Lời giải:

Đáp án đúng là: C

Vận tốc của chuyển động tại thời điểm t là v(t) = s'(t) = 3t2 – 6t.

Gia tốc của chuyển động tại thời điểm t là a(t) = v'(t) = 6t – 6.

Khi đó vận tốc của chuyển động tại thời điểm t = 2 giây là v(2) = 3.22 – 6.2 = 0 m/s.

Gia tốc của chuyển động tại thời điểm t = 2 giây là a(2) = 6.2 – 6 = 6 m/s2.

Vận tốc của chuyển động tại thời điểm t = 3 giây là v(3) = 3.32 – 6.3 = 9 m/s.

Gia tốc của chuyển động tại thời điểm t = 3 giây là a(3) = 6.3 – 6 = 12 m/s2.

Bài 13 trang 68 SBT Toán 11 Tập 2: Cho mẫu số liệu ghép nhóm sau về thời gian sử dụng mạng xã hội của một nhóm học sinh trong ngày.

Thời gian (giờ)

[0; 0,5)

[0,5; 1)

[1; 1,5)

[1,5; 2)

[2; 2,5)

Số học sinh

2

5

8

6

4

Thời gian (giờ) sử dụng mạng xã hội trung bình trong ngày của nhóm học sinh là

A. 1,0.

B. 1,25.

C. 1,35.

D. 1,5.

Lời giải:

Đáp án đúng là: C

Ta có cỡ mẫu n = 2 + 5 + 8 + 6 + 4 = 25.

Nhóm [0; 0,5) có giá trị đại diện là x1=0+0,52=0,25;

Nhóm [0,5; 1) có giá trị đại diện là x2=0,5+12=0,75;

Nhóm [1; 1,5) có giá trị đại diện là x3=1+1,52=1,25;

Nhóm [1,5; 2) có giá trị đại diện là x4=1,5+22=1,75;

Nhóm [2; 2,5) có giá trị đại diện là x4=2+2,52=2,25.

Thời gian sử dụng mạng xã hội trung bình trong ngày của nhóm học sinh là

X¯=2⋅0,25+5⋅0,75+8⋅1,25+6⋅1,75+4⋅2,2525=1,35 (giờ).

Vậy thời gian sử dụng mạng xã hội trung bình trong ngày của nhóm học sinh là 1,35 giờ.

Bài 14 trang 68 SBT Toán 11 Tập 2: Cho mẫu số liệu ghép nhóm sau về thời gian sử dụng mạng xã hội của một nhóm học sinh trong ngày.

Thời gian (giờ)

[0; 0,5)

[0,5; 1)

[1; 1,5)

[1,5; 2)

[2; 2,5)

Số học sinh

2

5

8

6

4

Nhóm chứa tứ phân vị thứ ba là nhóm

A. [0,5; 1).

B. [1; 1,5).

C. [1,5; 2).

D. [2; 2,5).

Lời giải:

Đáp án đúng là: C

Có cỡ mẫu n = 2 + 5 + 8 + 6 + 4 = 25.

Giả sử x1; x2; …; x25 là mẫu số liệu đã được xếp theo thứ tự không giảm.

Tứ phân vị thứ ba Q3=x19+x202.

Do x19; x20 đều thuộc nhóm [1,5; 2) nên nhóm [1,5; 2) chứa Q3.

Bài 15 trang 68 SBT Toán 11 Tập 2: Trong tỉnh X, tỉ lệ học sinh học giỏi môn Ngữ văn là 9%, học giỏi môn Toán là 12% và học giỏi cả hai môn là 7%. Tỉ lệ học sinh tỉnh X học giỏi môn Ngữ văn hoặc học giỏi môn Toán là

A. 14%.

B. 15%.

C. 13%.

D. 14,5%.

Lời giải:

Đáp án đúng là: A

Gọi biến cố A: “Học sinh học giỏi môn Ngữ văn”;

B: “Học sinh học giỏi môn Toán”;

AB: “Học sinh học giỏi cả hai môn”;

A ∪ B: “Học sinh học giỏi môn Ngữ Văn hoặc học giỏi môn Toán”.

Theo đề, có P(A) = 9%; P(B) = 12%; P(AB) = 7%.

Có P(A È B) = P(A) + P(B) – P(AB) = 9% + 12% − 7% = 14%.

Vậy tỉ lệ học sinh tỉnh X học giỏi môn Ngữ văn hoặc học giỏi môn Toán là 14%.

Bài 16 trang 68 SBT Toán 11 Tập 2: Có hai hộp đựng bi. Hộp I có 3 viên bi xanh và 2 viên bi đỏ. Hộp 2 có 5 viên bi xanh và 1 viên bi đỏ. Bạn An lấy ngẫu nhiên một viên bi từ hộp I và bạn Bình lấy ngẫu nhiên một viên bi từ hộp II. Xác suất để hai viên bi lấy ra có màu khác nhau là

A. 1429 .

B. 1330 .

C. 1528 .

D. 1331 .

Lời giải:

Đáp án đúng là: B

Gọi biến cố A: “An lấy được viên bi xanh từ hộp I”;

B: “Bình lấy được viên bi đỏ từ hộp II”;

C: “Hai viên bi lấy ra có màu khác nhau”.

Khi đó C = AB∪AB¯.

Theo đề, ta suy ra P(A) = 35; P(A¯) = 1-35 = 25; P(B) = 16; P(B¯) = 1-16 = 56.

Vì A, B độc lập nên A¯, B¯ cũng độc lập.

Do đó P(C) = P(AB∪AB¯) = P(AB) + P(AB¯)

= P(A).P(B)+P(A¯).P(B¯) = 35⋅16+25⋅56=1330.

Vậy xác suất để hai viên bi lấy ra có màu khác nhau là 1330 .

Bài 17 trang 68 SBT Toán 11 Tập 2: Có bốn đồng xu I, II, III và IV. Xác suất xuất hiện mặt ngửa khi gieo đồng xu I và II là 12 . Xác suất xuất hiện mặt ngửa khi gieo đồng xu III và IV là 23. Bạn Sơn gieo đồng thời hai đồng xu I, II. Bạn Tùng độc lập với bạn Sơn, gieo đồng thời hai đồng xu III, IV. Xác suất để cả 4 đồng xu đều xuất hiện mặt ngửa là

A. 29 .

B. 310 .

C. 19 .

D. 411 .

Lời giải:

Đáp án đúng là: C

Xác suất để cả 4 đồng xu đều xuất hiện mặt ngửa là 12⋅12⋅23⋅23=19 .

Giải SBT Toán 11 trang 69

Bài 18 trang 69 SBT Toán 11 Tập 2: Cho hai mặt phẳng (P) và (Q) vuông góc với nhau, giao tuyến của (P) và (Q) là đường thẳng c. Gọi a là đường thẳng nằm trên (P) và vuông góc với đường thẳng c, b là đường thẳng nằm trên (Q) tạo với đường thẳng c một góc 60°. Góc giữa hai đường thẳng a và b bằng

A. 60°.

B. 90°.

C. 150°.

D. 30°.

Lời giải:

Đáp án đúng là: B

Có Cho hai mặt phẳng (P) và (Q) vuông góc với nhau ⇒a⊥(Q) mà b ⊂ (Q) nên a ⊥ b hay (a, b) = 90°.

Bài 19 trang 69 SBT Toán 11 Tập 2: Cho hình lập phương ABCD.A’B’C’D’ có cạnh bằng a. Góc giữa hai đường thẳng AC và BC’ bằng

A. 90°.

B. 30°.

C. 60°.

D. 45°.

Lời giải:

Đáp án đúng là: C

Cho hình lập phương ABCD.A'B'C'D' có cạnh bằng a

Vì ABCD.A’B’C’D’ là hình lập phương nên các mặt là hình vuông.

Có AA’ // CC’ và AA’ = CC’ (vì chúng cùng song song và bằng BB’) nên ACC’A’ là hình bình hành, suy ra AC // A’C’.

Khi đó góc giữa hai đường thẳng AC và BC’ bằng góc giữa hai đường thẳng A’C’ và BC’, mà (A’C’, BC’) = BC‘A‘^ .

Xét tam giác BB’C’ vuông tại B’, có BC‘=BB‘2+B‘C‘2=a2+a2=a2 .

Xét tam giác A’B’C’ vuông tại B’, có A‘C‘=A‘B‘2+B‘C‘2=a2+a2=a2 .

Xét tam giác BB’A’ vuông tại B’, có BA‘=BB‘2+B‘A‘2=a2+a2=a2 .

Xét tam giác A’BC’ có A’B = BC’ = A’C’ = a2 nên tam giác A’BC’ đều, suy ra BC‘A‘^=60° .

Vậy góc giữa hai đường thẳng AC và BC’ bằng 60°.

Bài 20 trang 69 SBT Toán 11 Tập 2: Cho hình chóp S.ABCD có mặt phẳng (SAB) vuông góc với mặt đáy (ABCD), tam giác SAB đều, đáy ABCD là hình vuông cạnh bằng a. Gọi H là trung điểm của cạnh AB. Khoảng cách từ điểm H đến mặt phẳng (SAC) bằng

A. a305 .

B. a3010 .

C. a610 .

D. a65 .

Lời giải:

Đáp án đúng là: E. a2114 .

Cho hình chóp S.ABCD có mặt phẳng (SAB) vuông góc với mặt đáy

Vì tam giác SAB đều, H là trung điểm của AB nên SH là đường cao hay SH ⊥ AB.

Do (SAB) ⊥ (ABCD); (SAB) ∩ (ABCD) = AB mà SH ⊥ AB nên SH ⊥ (ABCD), suy ra SH ⊥ AC.

Gọi N là trung điểm của AD.

Xét tam giác ABD có H là trung điểm của AB, N là trung điểm của AD nên HN là đường trung bình của tam giác ABD, suy ra HN // BD.

Do ABCD là hình vuông nên AC ⊥ BD mà HN // BD nên HN ⊥ AC.

Vì HN ⊥ AC và SH ⊥ AC nên AC ⊥ (SHN), suy ra (SAC) ⊥ (SHN).

Gọi AC ∩ HN = I, kẻ HK ⊥ SI tại K.

Vì (SAC) ⊥ (SHN), (SAC) ∩ (SHN) = SI mà HK ⊥ SI nên HK ⊥ (SAC).

Do đó d(H, (SAC)) = HK.

Gọi O là giao điểm của AC và BD.

Vì ABCD là hình vuông nên O là trung điểm của BD.

Xét tam giác ABD vuông tại A, có BD=AB2+AD2=a2+a2=a2 .

Vì O là trung điểm của BD nên BO = BD2= a22.

Xét tam giác ABO có H là trung điểm của AB, HI // BO (do HN //BD) nên I là trung điểm của AO.

Vì I là trung điểm của AO, H là trung điểm của AB nên HI là đường trung bình của tam giác ABO, suy ra HI=BO2=a24 .

Vì tam giác SAB là tam giác đều cạnh a, SH là đường cao nên SH=a32 .

Vì SH ⊥ (ABCD) nên SH ⊥ HI hay tam giác SHI vuông tại H.

Xét tam giác SHI vuông tại H, HK là đường cao, có:

1HK2=1SH2+1HI2=43a2+162a2=283a2⇒HK=a2114.

Vậy d(H, (SAC)) = a2114 .

Bài 21 trang 69 SBT Toán 11 Tập 2: Cho hình chóp đều S.ABCD có đáy ABCD là hình vuông cạnh bằng a, cạnh bên SA bằng a2 . Khoảng cách giữa hai đường thẳng BD và SC là

A. a64.

B. a63.

C. a62.

D. a32.

Lời giải:

Đáp án đúng là: A

Cho hình chóp đều S.ABCD có đáy ABCD là hình vuông cạnh bằng a

Gọi O là giao điểm của AC, BD.

Vì S.ABCD là hình chóp đều nên SO ⊥ (ABCD), suy ra SO ⊥ BD.

Do ABCD là hình vuông nên AC ⊥ BD.

Vì SO ⊥ BD và AC ⊥ BD nên BD ⊥ (SAC).

Kẻ OE ⊥ SC tại E. Vì BD ⊥(SAC) nên BD ⊥ OE. Do đó d(BD, SC) = OE.

Xét tam giác ABC vuông tại B, có AC=AB2+BC2=a2+a2=a2 .

Vì ABCD là hình vuông nên O là trung điểm của AC, suy ra AO = OC = AC2 = a22 .

Vì SO ⊥ (ABCD) nên SO⊥ AC.

Xét tam giác SOA vuông tại O, có SO = SA2−AO2=2a2−a22=a62 .

Xét tam giác SOC vuông tại O, có 1OE2=1SO2+1OC2=46a2+42a2=83a2

⇒OE=a64.

Vậy d(BD, SC) = a64 .

Bài 22 trang 69 SBT Toán 11 Tập 2: Cho hình lăng trụ ABC.A’B’C’ có AA’B’C’ là hình tứ diện đều cạnh bằng a. Tính thể tích khối lăng trụ ABC.A’B’C’ bằng

A. a3212.

B. a324.

C. a363.

D. a3612.

Lời giải:

Đáp án đúng là: B

Cho hình lăng trụ ABC.A'B'C' có AA'B'C' là hình tứ diện đều

Gọi O là tâm của tam giác A’B’C’.

Do AA’B’C’ là hình tứ diện đều nên O là trọng tâm đồng thời là trực tâm của tam giác A’B’C’ và AO ⊥ (A’B’C’).

Gọi A’O ∩ B’C’ = H, suy ra A’H ⊥ B’C’.

Xét tam giác A’B’C’ đều cạnh a, A’H là đường cao nên A’H = a32 , SA‘B‘C‘=a234 .

Vì A’O = 23A’H nên A’O = a33 .

Vì AO ⊥ (A’B’C’) nên AO ⊥ A’O hay tam giác AA’O vuông tại O.

Xét tam giác AA’O vuông tại O, có AO = AA‘−A‘O2=a2−a23=a63 .

Khi đó VABC.A‘B‘C‘=SA‘B‘C‘⋅AO=a234⋅a63=a324 .

Vậy VABC.A‘B‘C‘=a324 .

Bài 23 trang 69 SBT Toán 11 Tập 2: Cho hình hộp chữ nhật ABCD.A’B’C’D’ có AB = AD = a, AA’ = a2 . Thể tích khối tứ diện ACB’D’ bằng

A. a323.

B. a326.

C. a363.

D. a366.

Lời giải:

Đáp án đúng là: A

Cho hình hộp chữ nhật ABCD.A'B'C'D' có AB = AD = a

Ta có VACB’D’ = VABCD.A’B’C’D’ – VA.A’B’D’ – VB’.ABC – VC.C’D’B’ – VD’.DAC.

Vì hình chữ nhật ABCD có AB = AD = a nên ABCD là hình vuông.

Do đó ABCD.A’B’C’D’ là hình hộp chữ nhật có đáy là hình vuông.

Do A’B’C’D’ là hình vuông nên SA’B’D’ = SB’C’D’ = 12SA‘B‘C‘D‘ .

Do ABCD là hình vuông nên SABC = SADC = 12SABCD .

Có VA.A’B’D’ =13A‘A⋅SA‘B‘D‘=13A‘A⋅12SA‘B‘C‘D‘=16A‘A⋅SA‘B‘C‘D‘=16VABCD.A‘B‘C‘D‘ .

VB’.ABC =13BB‘⋅SABC=13BB‘⋅12SABCD=16BB‘⋅SABCD=16VABCD.A‘B‘C‘D‘ .

VC.C’D’B’ =13CC‘⋅SB‘C‘D‘=13CC‘⋅12SA‘B‘C‘D‘=16CC‘⋅SA‘B‘C‘D‘=16VABCD.A‘B‘C‘D‘ .

VD’.DAC=13⋅SADC=13⋅12SABCD=16⋅SABCD=16VABCD.A‘B‘C‘D‘ .

VABCD.A’B’C’D’ = AA’.AB.AD = a2.a.a = a32.

Khi đó:

VACB’D’ = VABCD.A’B’C’D’ – VA.A’B’D’ – VB’.ABC – VC.C’D’B’ – VD’.DAC =13VABCD.A‘B‘C‘D‘=a323 .

Vậy VACB’D =a323 .

Bài 24 trang 69 SBT Toán 11 Tập 2: Cho hình chóp S.ABC có đáy ABC là tam giác đều cạnh bằng a và SA vuông góc với mặt phẳng (ABC). Khoảng cách giữa hai đường thẳng SA và BC bằng

A. a22.

B. a34.

C. a62.

D. a32.

Lời giải:

Đáp án đúng là: D

Cho hình chóp S.ABC có đáy ABC là tam giác đều cạnh bằng a

Gọi M là trung điểm của BC, suy ra AM là trung tuyến.

Do ABC là tam giác đều có AM là trung tuyến nên AM đồng thời là đường cao hay AM ⊥ BC.

Vì SA ⊥ (ABC) nên SA ⊥ AM.

Do AM ⊥ BC và SA ⊥ AM nên d(SA, BC) = AM.

Vì ABC là tam giác đều có AM là đường cao nên AM = a32 .

Vậy d(SA, BC) = a32 .

B – Tự luận

Giải SBT Toán 11 trang 70

Bài 25 trang 70 SBT Toán 11 Tập 2: Cho sinx = –13, x∈π;3π2 . Tính giá trị cos2x−π3.

Lời giải:

Có sin2x + cos2x = 1 nên −132+cos2x=1⇔cos2x=89⇔cosx=±223 .

Mà x∈π;3π2 nên cosx < 0. Do đó cosx = –223.

Lại có cos2x−π3 = cos2xcosπ3+sin2xsinπ3

= 12cos2x+32sin2x

= 12(1-2sin2x) + 3sinxcosx

=121−2−132+3⋅−13⋅−223=7+4618.

Vậy cos2x−π3=7+4618.

Bài 26 trang 70 SBT Toán 11 Tập 2: Chứng minh rằng:

a) sin3x = 4sinx sin(60° − x) sin(60° + x);

b) sinx−sin2x+sin3xcosx−cos2x+cos3x=tan2x.

Lời giải:

a) Có sin(60° − x) sin(60° + x) = –12(cos120o – cos(-2x))

= –12−12−cos2x = =14+12cos2x.

Do đó 4sinx sin(60° − x) sin(60° + x) = 4sinx14+12cos2x = sinx + 2sinxcos2x

= sinx + sin3x + sin(−x) = sinx + sin3x – sinx = sin3x.

Vậy sin3x = 4sinx sin(60° − x) sin(60° + x).

b) Vế phải = sinx−sin2x+sin3xcosx−cos2x+cos3x=sinx+sin3x−sin2xcosx+cos3x−cos2x

=2sin2xcosx−sin2x2cos2xcosx−cos2x=sin2x2cosx−1cos2x2cosx−1= tan2x = vế trái.

Vậy sinx−sin2x+sin3xcosx−cos2x+cos3x= tan2x.

Bài 27 trang 70 SBT Toán 11 Tập 2: Xét xem các dãy số với công thức tổng quát sau có phải là cấp số cộng/cấp số nhân hay không. Tìm số hạng đầu tiên và công sai/công bội nếu có.

a) un = 5n – 7; b) un = 9.2n; c) un = n2 – n + 1.

Lời giải:

a) + Có un + 1 = 5(n + 1) – 7 = 5n – 2.

Xét un + 1 – un = 5n – 2 – (5n – 7) = 5 với mọi n.

Do đó (un) là cấp số cộng với u1 = −2 và d = 5.

+ Có u1 = −2; u2 = 3; u3 = 8.

Vì u2u1=−32≠83=u3u2 nên (un) không là cấp số nhân.

b) + Có un + 1 = 9.2n + 1 = 18.2n.

Vì un+1un=18⋅2n9⋅2n=2 với mọi n nên (un) là cấp số nhân.

+ Có u1 = 18; u2 = 36; u3 = 72.

Vì u2 – u1 = 36 – 18 = 18 ≠ u3 – u2 = 72 – 36 = 36 nên (un) không là cấp số cộng.

c) Có u1 = 1; u2 = 3; u3 = 7.

Vì u2 – u1 = 3 – 1 ≠ u3 – u2 = 7 – 3 nên (un) không là cấp số cộng.

Vì u2u1=31≠73=u3u2 nên (un) không là cấp số nhân.

Bài 28 trang 70 SBT Toán 11 Tập 2: Một công ty kĩ thuật đưa ra hai phương án về lương cho kĩ sư làm việc tại công ty như sau:

Phương án 1: Mức lương của quý làm việc đầu tiên là 64,5 triệu đồng/quý và kể từ quý làm việc thứ hai, mức lương sẽ được tăng thêm 10 triệu đồng mỗi quý.

Phương án 2: Mức lương của quý làm việc đầu tiên là 24 triệu đồng/quý và kể từ quý làm việc thứ hai, mức lương sẽ được tăng thêm 1,2 lần mỗi quý.

Hãy tính tổng số tiền lương một kĩ sư nhận được sau 5 năm làm việc cho công ty này theo mỗi phương án trên. Kĩ sư nên chọn phương án nhận lương nào?

Lời giải:

Ta có 5 năm là 20 quý.

Phương án 1: Ta thấy (un) là cấp số cộng với u1 = 64,5 và d = 10.

Tổng số tiền lương kĩ sư nhận được sau 5 năm là:

S20=u1+u20202=u1+u1+19d202=64,5⋅2+19⋅10202 = 3 190 (triệu đồng).

Phương án 2: Ta thấy (un) là cấp số nhân với u1 = 24 và q = 1,2.

Tổng số tiền lương kĩ sư nhận được sau 5 năm là:

S20=u11−q201−q=241−1,2201−1,2≈4 480,5 (triệu đồng).

Vậy kĩ sư nên chọn phương án nhận lương thứ 2.

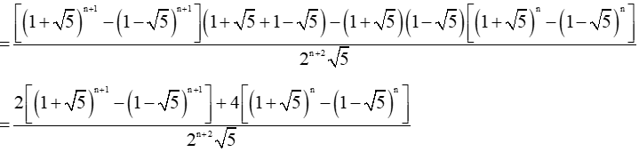
Bài 29 trang 70 SBT Toán 11 Tập 2: Giả sử un là số hạng thứ n của dãy số (un) và un=1+5n−1−5n2n5.

a) Chứng tỏ rằng u1 = 1, u2 = 1 và un + 2 = un + 1 + un với mọi n ∈ ℕ*. Từ đó suy ra (un) là dãy số Fibonacci.

b) Viết 11 số hạng đầu tiên của dãy Fibonacci và 10 tỉ số un+1un đầu tiên.

Tính limn→+∞un+1un.

Lời giải:

a) Ta có an + 2 – bn + 2 = an + 1.a − bn + 1.b

= an + 1.a + an + 1.b − bn + 1.b − bn + 1.a − an + 1.b + bn + 1.a

= an + 1.(a + b) − bn + 1.(a + b) – ab(an − bn)

= (an + 1 − bn + 1).(a + b) – ab(an − bn) (*)

Có u1=1+51−1−51215=2525=1.

u2=1+52−1−52225=4545=1.

Áp dụng (*), ta có:

un+2=1+5n+2−1−5n+22n+25

Giả sử un là số hạng thứ n của dãy số (un)

=1+5n+1−1−5n+12n+15+1+5n−1−5n2n5 = un+1 + un.

Vậy un + 2 = un+1 + un. Do đó (un) là dãy Fibonacci.

b) Ta có bảng sau

n

1

2

3

4

5

6

7

8

9

10

11

un

1

1

2

3

5

8

13

21

34

55

89

un+1un

1

2

32 53 85 138 2113 3421 5534 8955  

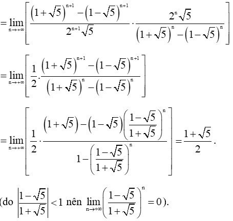
Ta có limn→+∞un+1un=limn→+∞1+5n+1−1−5n+12n+151+5n−1−5n2n5

Giả sử un là số hạng thứ n của dãy số (un)

Bài 30 trang 70 SBT Toán 11 Tập 2: Tính các giới hạn sau:

a) limx→−22x2−x−10x+2; b) limx→−∞4x2+x+1−x2x+1;

c) limx→21x−2−2x−22; d) limx→−5−2xx+5.

Lời giải:

a) limx→−22x2−x−10x+2=limx→−22x−5x+2x+2=limx→−2(2x-5) = -9.

b) limx→−∞4x2+x+1−x2x+1= Tính các giới hạn sau trang 70 SBT Toán 11 Tập 2

=limx→−∞−x4+1x+1x2−x2x+1=limx→−∞−4+1x+1x2−12+1x=−32.

c) limx→21x−2−2x−22=limx→2x−2−2x−22=limx→2x−4x−22=−∞.

(do limx→2(x-4) = -2 < 0 và limx→2(x-2)2 = 0, (x-2)2>0, ∀x≠2).

d) limx→−5−2xx+5=+∞ (do limx→−5−(2x) = -10 < 0 và limx→−5−(x+5) = 0, x + 5 < 0, ∀x < −5).

Giải SBT Toán 11 trang 71

Bài 31 trang 71 SBT Toán 11 Tập 2: Tìm m để hàm số sau liên tục trên toàn bộ tập số thực ℝ:

f(x) = Tìm m để hàm số sau liên tục trên toàn bộ tập số thực ℝ

Lời giải:

+) Với x > −1 thì f(x) = x+5−2x+1 liên tục.

+) Với x < −1 thì f(x) = m.4−x + 1 liên tục.

Để hàm số liên tục trên toàn bộ tập số thực ℝ khi và chỉ khi hàm số liên tục tại x = −1.

Ta xét tính liên tục của hàm số tại x = −1. Ta có:

f(– 1) = 4m + 1;

limx→−1+fx=limx→−1+x+5−2x+1=limx→−1+x+5−4x+1x+5+2;

=limx→−1+x+1x+1x+5+2=limx→−1+1x+5+2=14.

limx→−1−fx=limx→−1−m⋅4−x+1=4m+1

Suy ra hàm số liên tục trên ℝ khi và chỉ khi 4m+1 = 14⇔m = –316.

Vậy m = –316 là giá trị cần tìm.

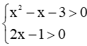
Bài 32 trang 71 SBT Toán 11 Tập 2: Giải các phương trình sau:

a) 3x2−3x=44x;

b) log3(x2 – x – 3) = log3(2x – 1) + 1.

Lời giải:

a) 3x2−3x=44x⇔ x2 – 3x = log344x ⇔ x2 – 3x = 4xlog34 ⇔ x2 – 3x − 4xlog34 = 0

⇔ x(x – 3 − 4log34) = 0 ⇔ x = 0 hoặc x = 3 + 4log34.

Vậy tập nghiệm của phương trình là S = {0; 3 + 4log34}.

b) Điều kiện Giải các phương trình sau 3^(x^2-3x) = 4^4x.

Ta có log3(x2 – x – 3) = log3(2x – 1) + 1

⇔ log3(x2 – x – 3) = log3(2x – 1) + log33

⇔ log3(x2 – x – 3) = log3[3(2x – 1)]

⇔ log3(x2 – x – 3) = log3(6x – 3)

⇔ x2 – x – 3 = 6x – 3 ⇔ x2 – 7x = 0

⇔ x(x – 7) = 0 ⇔ x = 0 hoặc x = 7.

Đối chiếu với điều kiện thì x = 7 thỏa mãn điều kiện.

Vậy nghiệm của phương trình là x = 7.

Bài 33 trang 71 SBT Toán 11 Tập 2: Cho các hàm số f(x) = 32x −1 và g(x) = xln9. Giải bất phương trình f'(x) < g'(x).

Lời giải:

Có f'(x) = (32x −1)’ = (32x −1).ln3.(2x – 1)’ = 2.ln3.32x −1.

g'(x) = (xln9)’ = ln9.

Để f'(x) < g'(x) thì 2.ln3.32x −1 < ln9 ⇔ 2.ln3.32x −1 < ln32 ⇔ 2.ln3.32x −1 < 2.ln3

⇔ 32x −1 < 1 ⇔ 2x – 1 < 0 ⇔ x < 12.

Vậy nghiệm của bất phương trình là: x < 12.

Bài 34 trang 71 SBT Toán 11 Tập 2: Tính đạo hàm của các hàm số sau:

a) y=cos2x+3x2+x+1;

b) y=log52x+e2−7x.

Lời giải:

a) y‘=cos2x+3x2+x+1‘=cos2x‘+3x2+x+1‘

=2cosxcosx‘+3x2+x+1‘23x2+x+1=−2sinxcosx+6x+123x2+x+1

=−sin2x+6x+123x2+x+1.

Vậy y‘=−sin2x+6x+123x2+x+1.

b) y‘=log52x+e2−7x‘=log52x‘+e2−7x‘

=2log5xlog5x‘+e2−7x2−7x‘

=2log5x⋅1xln5−7e2−7x=2log5xxln5−7e2−7x

Vậy y‘=2log5xxln5−7e2−7x.

Bài 35 trang 71 SBT Toán 11 Tập 2: Tiếp tuyến của đồ thị hàm số y = 2x3 – 3x2 – 11x + 13 tại điểm M có hệ số góc là 1. Tìm tọa độ điểm M.

Lời giải:

Giả sử hoành độ của điểm M là x0.

Vì tiếp tuyến của đồ thị hàm số y = 2x3 – 3x2 – 11x + 13 tại điểm M có hệ số góc là 1 nên y'(x0) = 6x02−6x0−11=1⇔6x02−6x0−12=0⇔x0=2 hoặc x0=−1.

Với x0 = 2 thì y0 = −5; với x0 = −1 thì y0 = 19.

Vậy M(2; −5) hoặc M(−1; 19) là điểm cần tìm.

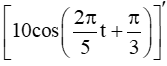
Bài 36 trang 71 SBT Toán 11 Tập 2: Cho phương trình dao động x(t) = 10cos2π5t+π3, ở đây li độ x tính bằng centimét và thời gian t tính bằng giây.

a) Tìm thời điểm đầu tiên để vật có li độ lớn nhất.

b) Tìm thời điểm đầu tiên để vật có vận tốc bằng 0.

c) Tìm thời điểm đầu tiên để vật có gia tốc bằng 0.

Lời giải:

a) Vì −1≤cos2π5t+π3≤1 với mọi t.

Do đó, vật có li độ lớn nhất khi 10cos2π5t+π3=10⇔cos2π5t+π3=1

⇔2π5t+π3=k2π⇔2π5t=−π3+k2π⇔t=−56+5k,k∈ℤ.

Do t ≥ 0 nên thời điểm đầu tiên vật có li độ lớn nhất tương ứng với k = 1, tức là tại thời điểm t=−56+5=256 (giây).

Vậy thời điểm đầu tiên vật có li độ lớn nhất là 256 giây.

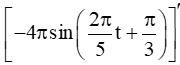
b) Ta có v(t) = x'(t) = cuối năm=−10sin2π5t+π32π5t+π3‘

=−4πsin2π5t+π3.

Vận tốc bằng 0 tức là −4πsin2π5t+π3=0⇔2π5t+π3=kπ

⇔2π5t=−π3+kπ

⇔t=−56+52k,k∈ℤ.

Do t ≥ 0 nên thời điểm đầu tiên vật có vận tốc bằng 0 tương ứng với k = 1, tức là tại thời điểm t=−56+52=53 (giây).

Vậy thời điểm đầu tiên để vật có vận tốc bằng 0 là 53 giây.

c) Ta có a(t) = v'(t) = cuối năm

=−4πcos2π5t+π32π5t+π3‘

=−85π2cos2π5t+π3.

Gia tốc bằng 0 tức là −85π2cos2π5t+π3=0⇔2π5t+π3=π2+kπ

⇔2π5t=π6+kπ⇔t=512+52k,k∈ℤ.

Do t ≥ 0 nên thời điểm đầu tiên vật có gia tốc bằng 0 tương ứng với k = 0, tức là tại thời điểm t=512 (giây).

Vậy thời điểm đầu tiên để vật có gia tốc bằng 0 là 512 giây.

Bài 37 trang 71 SBT Toán 11 Tập 2: Một công ty bất động sản đã thống kê số lượng khách hàng theo giá đất họ đầu tư và thu được kết quả như sau:

Mức giá (triệu đồng/m2)

[10; 15)

[15; 20)

[20; 25)

[25; 30)

[30; 35)

Số khách hàng

15

25

38

29

13

a) Ước lượng mức giá có nhiều khách hàng lựa chọn nhất.

b) Công ty muốn hướng đến 25% khách hàng cao cấp nhất thì nên kinh doanh bất động sản với mức giá ít nhất là bao nhiêu?

Lời giải:

a) Tổng số khách hàng là n = 15 + 25 + 38 + 29 + 13 = 120.

Nhóm chứa mốt là nhóm [20; 25) (vì nhóm này có tần số lớn nhất).

Ta có a3 = 20; m3 = 38; m2 = 25; m4 = 29, h = 5.

Áp dụng công thức tính Mo, ta được:

Mo=a3+m3−m2m3−m2+m3−m4⋅5=20+38−2538−25+38−29⋅5≈22,95.

Vậy mức giá có nhiều khách lựa chọn nhất khoảng 22,95 triệu đồng/m2.

b) Nhóm chứa tứ phân vị thứ ba là nhóm [25; 30).

Ta có a4 = 25; a5 = 30; m1 = 15; m2 = 25; m3 = 38; m4 = 29.

Áp dụng công thức tính tứ phân vị thứ ba Q3, ta được:

Q3=a4+3n4−m1+m2+m3m4⋅a5−a4

=25+3⋅1204−15+25+3829⋅30−25≈27,07.

Vậy công ty nên tập trung vào các bất động sản có mức giá ít nhất khoảng 27,07 triệu đồng/m2.

Bài 38 trang 71 SBT Toán 11 Tập 2: Gieo hai con xúc xắc I và II cân đối, đồng chất một cách độc lập. Xét các biến cố A, B sau đây:

A: “Có ít nhất một xúc xắc xuất hiện mặt 6 chấm”.

B: “Tổng số chấm xuất hiện trên mặt của hai xúc xắc bằng 7”.

a) Tính P(A), P(B).

b) Hai biến cố A và B có độc lập hay không?

Lời giải:

a) Gọi A1 là biến cố: “Xúc xắc I ra mặt 6 chấm”, A2 là biến cố: “Xúc xắc II ra mặt 6 chấm”.

A1A2¯ là biến cố: “Cả hai con xúc xắc đều không ra mặt 6 chấm”.

Khi đó A = A1 ∪ A2 và P(A) = 1-P(A1A2¯) = 1 – P(A1¯).P(A2¯) = (do A1; A2 độc lập nên A1¯;A2¯ độc lập).

Theo đề có P(A1) = 16; P(A2) = 16, suy ra P(A1¯) = 56; P(A2¯) = 56.

Có P(A1¯).P(A2¯) = 56⋅56=2536.

Do đó P(A) = 1-P(A1A2¯) = 1−2536=1136.

B: “Tổng số chấm xuất hiện trên mặt của hai xúc xắc bằng 7”.

Các kết quả thuận lợi cho biến cố B là: (1, 6); (2, 5); (3, 4); (4, 3); (5, 2); (6, 1).

Do đó P(B) = 636=16.

Vậy P(A)=1136;P(B)=16.

b) AB là biến cố: “Tổng số chấm xuất hiện trên mặt của hai xúc xắc bằng 7 trong đó ít nhất có một xúc xắc xuất hiện mặt 6 chấm”.

Các kết quả thuận lợi cho biến cố AB là (6, 1); (1, 6).

Do đó P(AB)=236=118. Lại có P(A).P(B) = 16⋅1136=11216.

Do P(AB) ≠ P(A).P(B) nên A, B không độc lập.

Giải SBT Toán 11 trang 72

Bài 39 trang 72 SBT Toán 11 Tập 2: Cho hình chóp S.ABCD có đáy ABCD là hình vuông cạnh bằng a, đường thẳng SA vuông góc với mặt phẳng (ABCD) và SA = a2.

a) Chứng minh (SBC) ⊥ (SAB).

b) Tính góc giữa đường thẳng SC và mặt phẳng (ABCD).

c) Tính theo a khoảng cách từ điểm A đến mặt phẳng (SBC).

Lời giải:

Cho hình chóp S.ABCD có đáy ABCD là hình vuông cạnh bằng a

a) Do ABCD là hình vuông nên BC ⊥ AB

Mà SA ⊥ BC (do SA ⊥ (ABCD)) nên BC ⊥ (SAB), suy ra (SBC) ⊥ (SAB).

b) Vì SA ⊥ (ABCD) nên AC là hình chiếu của SC trên mặt phẳng (ABCD).

Do đó, góc giữa đường thẳng SC và mặt phẳng (ABCD) bằng góc giữa hai đường thẳng SC và AC, mà (SC, AC) = SCA^ .

Xét tam giác ABC vuông tại B, có AC = AB2+BC2=a2+a2=a2.

Vì SA ⊥ (ABCD) nên SA ⊥ AC hay tam giác SAC vuông tại A.

Xét tam giác SAC vuông tại A, có AC = SA = a2 nên tam giác SAC vuông cân tại A, suy ra SCA^=45°.

Vậy góc giữa đường thẳng SC và mặt phẳng (ABCD) bằng 45°.

c) Kẻ AH ⊥ SB tại H.

Vì (SBC) ⊥ (SAB), (SBC) ∩ (SAB) = SB mà AH ⊥ SB nên AH ⊥ (SBC).

Khi đó d(A, (SBC)) = AH.

Vì SA ⊥ (ABCD) nên SA ⊥ AB hay tam giác SAB vuông tại A.

Xét tam giác SAB vuông tại A, AH là đường cao, có:

1AH2=1SA2+1AB2=12a2+1a2=32a2⇒AH=6a3.

Vậy d(A, (SBC)) = 6a3.

Bài 40 trang 72 SBT Toán 11 Tập 2: Cho hình chóp đều S.ABCD có đáy ABCD là hình vuông cạnh bằng a và SA = a2.

a) Tính theo a thể tích khối chóp S.ABCD.

b) Tính theo a khoảng cách giữa hai đường thẳng AD và SB.

Lời giải:

Cho hình chóp đều S.ABCD có đáy ABCD là hình vuông cạnh bằng a và SA = acăn2

a) Gọi O là giao điểm của AC và BD, suy ra O là trung điểm của AC, BD.

Vì S.ABCD là hình chóp đều nên SO ⊥ (ABCD).

Xét tam giác vuông ABC vuông tại B, có AC = AB2+BC2=a2+a2=a2.

Vì O là trung điểm của AC nên AO = OC = a22.

Vì SO ⊥ (ABCD) nên SO ⊥ AC.

Xét tam giác SOA vuông tại O, có SO = SA2−OA2=2a2−a22=a62.

Khi đó VS.ABCD=13⋅SABCD⋅SO=13⋅a2⋅a62=a366.

Vậy VS.ABCD=a366.

b) Có ABCD là hình vuông nên AD // BC suy ra AD // (SBC).

Khi đó d(AD, SB) = d(AD, (SBC)) = d(A, (SBC)).

Đường thẳng AO cắt mặt phẳng (SBC) tại C và O là trung điểm của AC nên

d(A, (SBC)) = 2d(O, (SBC)).

Kẻ OM ⊥ BC tại M, OH ⊥ SM tại H.

Vì BC ⊥ OM, BC ⊥ SO (do SO ⊥ (ABCD)) nên BC ⊥ (SOM), suy ra (SBC) ⊥ (SOM).

Mà OH ⊥ SM nên OH ⊥ (SBC). Do đó d(O, (SBC)) = OH.

Có OM // AB (vì cùng vuông góc với BC).

Xét tam giác ABC có O là trung điểm của AC, OM // AB nên M là trung điểm của BC, suy ra OM là đường trung bình. Do đó OM = AB2=a2.

Vì SO ⊥ (ABCD) nên SO ⊥ OM hay tam giác SOM vuông tại O.

Xét tam giác SOM vuông tại O, OH là đường cao có:

1OH2=1SO2+1OM2=46a2+4a2=143a2⇒OH=a4214.

Vậy d(AD, SB) = 2OH = a427.

Bài 41 trang 72 SBT Toán 11 Tập 2: Cho hình lăng trụ tam giác ABC.A’B’C’ có đáy ABC là tam giác đều cạnh bằng a, tam giác AB’C’ cân tại A, mặt phẳng (AB’C’) vuông góc với mặt phẳng (A’B’C’) và AA’ = a3.

a) Chứng minh rằng BCC’B’ là hình chữ nhật.

b) Tính theo a thể tích khối lăng trụ ABC.A’B’C’.

c) Tính góc giữa đường thẳng AA’ và mặt phẳng (A’B’C’).

Lời giải:

Cho hình lăng trụ tam giác ABC.A'B'C' có đáy ABC là tam giác đều

a) Kẻ AH ⊥ B’C’ tại H.

Do tam giác AB’C’ cân tại A mà AH ⊥ B’C’ nên AH đồng thời là trung tuyến hay H là trung điểm của B’C’.

Do tam giác A’B’C’ là tam giác đều mà A’H là trung tuyến nên A’H đồng thời là đường cao hay A’H ⊥ B’C’.

Vì AH ⊥ B’C’ và A’H ⊥ B’C’ nên B’C’ ⊥ (A’AH), suy ra B’C’ ⊥ A’A.

Do ABB’A’ là hình bình hành nên AA’ // BB’ mà B’C’ ⊥ A’A nên BB’ ⊥ B’C’.

Vì BCC’B’ là hình bình hành có BB’ ⊥ B’C’ nên BCC’B’ là hình chữ nhật.

b) Vì (AB’C’) ⊥ (A’B’C’), (AB’C’) ∩ (A’B’C’) = B’C’ mà AH ⊥ B’C’ nên AH ⊥ (A’B’C’).

Suy ra AH ⊥ A’H hay tam giác AHA’ vuông tại H.

Vì tam giác A’B’C’ là tam giác đều cạnh a, đường cao A’H nên A’H = a32, SA‘B‘C‘=a234.

Xét tam giác AHA’ vuông tại H có: AH = AA‘2−A‘H2=3a2−3a24=3a2.

Khi đó VABC.A‘B‘C‘=SA‘B‘C‘⋅AH=a234⋅3a2=33a38 .

Vậy VABC.A‘B‘C‘=33a38.

c) Vì AH ⊥ (A’B’C’) nên HA’ là hình chiếu của AA’ trên mặt phẳng (A’B’C’).

Do đó góc giữa đường thẳng AA’ và mặt phẳng (A’B’C’) bằng góc giữa hai đường thẳng AA’ và A’H, mà (AA’, A’H) = AA‘H^.

Xét tam giác AA’H vuông tại H có tanAA‘H^=AHA‘H=3a2:a32 .

Suy ra, AA‘H^=60°.

Vậy góc giữa đường thẳng AA’ và mặt phẳng (A’B’C’) bằng 60°.

Bài 42 trang 72 SBT Toán 11 Tập 2: Cho hình hộp chữ nhật ABCD.A’B’C’D’ có AB = a; AD = a2, góc giữa đường thẳng A’C và mặt phẳng (ABCD) bằng 30°.

a) Tính theo a thể tích khối hộp chữ nhật.

b) Tính theo a khoảng cách giữa hai đường thẳng BD và CD’.

Lời giải:

Cho hình hộp chữ nhật ABCD.A'B'C'D' có AB = a; AD = acăn2

a) Vì AA’ ⊥ (ABCD) nên AC là hình chiếu của A’C trên mặt phẳng (ABCD).

Do đó góc giữa đường thẳng A’C và mặt phẳng (ABCD) bằng góc giữa hai đường thẳng A’C và AC, mà (A’C, AC) = A‘CA^=30°.

Vì ABCD là hình chữ nhật nên AB = CD = a; AD = BC = a2.

Xét tam giác ABC vuông tại B, có AC = AB2+BC2=a2+2a2=a3.

Xét tam giác A’AC vuông tại A, có AA’ = AC.tan30° = a3⋅33=a.

Khi đó VABCD.A’B’C’D’ = AA’ . AB . AD = a.a.a2 = a32.

b) Có A’D’ // BC và A’D’ = BC (do cùng song song và bằng AD).

Do đó A’D’CB là hình bình hành, suy ra CD’ // BA’. Do đó CD’ // (A’DB).

Khi đó d(BD, CD’) = d(CD’, (A’DB)) = d(D’, (A’DB)).

Vì AD’ cắt mặt phẳng (A’BD) tại trung điểm của đoạn AD’ nên

d(D’, (A’DB)) = d(A, (A’DB)) = h.

Áp dụng kết quả bài 7.7 trang 28 SBT Toán tập 2, ta có:

1h2=1A‘A2+1AD2+1AB2=1a2+12a2+1a2=52a2⇒h=a105.

Vậy d(BD, CD’) =a105 .

Bài 43 trang 72 SBT Toán 11 Tập 2: Cho hình lăng trụ tam giác đều ABC.A’B’C’ có AB = a, AA’ = 2a. Gọi M, N lần lượt là trung điểm của các cạnh BB’ và CC’.

a) Tính theo a thể tích khối tứ diện AA’MN.

b) Tính côsin góc nhị diện [A, MN, A’].

Lời giải:

Cho hình lăng trụ tam giác đều ABC.A'B'C' có AB = a

a) Ta có VNAA‘M=13d(N,(AMA’)).SAA‘M.

Do CC’ // AA’ nên CC’ // (AA’B’B) nên d(N, (AMA’)) = d(C, (AA’B’B)).

Kẻ CH ⊥ AB tại H.

Vì BB’ ⊥ (ABC) nên BB’ ⊥ CH mà CH ⊥ AB nên CH ⊥ (AA’B’B).

Do đó d(C, (AA’B’B)) = CH.

Xét tam giác ABC đều cạnh a, CH là đường cao có CH = a32,

suy ra d(C, (AA’B’B)) = a32.

Vì ABB’A’ là hình chữ nhật có d(M, AA’) = AB = a.

Do đó SAA‘M=12d(M,AA’).AA’ = 12.a.2a = a2.

Vậy VNAA‘M=13dN,(AMA‘)⋅SAA‘M=13⋅a32⋅a2=a336.

b) Gọi I là trung điểm của MN.

Vì M, N là trung điểm của BB’ và CC’ nên CN = C’N, BM = B’M.

Mà AA’ = BB’ = CC’ = 2a nên CN = C’N = BM = B’M = a.

Vì ABC.A’B’C’ là hình lăng trụ tam giác đều nên

AB = AC = BC = A’B’ = A’C’ = B’C’ = a.

Xét tam giác CAN vuông tại C, có AN2 = AC2 + CN2 = a2 + a2 = 2a2.

Xét tam giác A’C’N vuông tại C’, có A’N2 = A’C’2 + C’N2 = a2 + a2 = 2a2.

Xét tam giác A’B’M vuông tại B’, có A’M2 = A’B’2 + B’M2 = a2 + a2 = 2a2.

Xét tam giác ABM vuông tại B, có AM2 = AB2 + BM2 = a2 + a2 = 2a2.

Do đó AN = A’N = A’M = AM.

Xét tam giác A’MN có A’M = A’N nên tam giác A’MN cân tại A’ mà A’I là trung tuyến nên A’I đồng thời là đường cao hay A’I ⊥ MN.

Xét tam giác AMN có AM = AN nên tam giác AMN cân tại A mà AI là trung tuyến nên AI đồng thời là đường cao hay AI ⊥ MN.

Vì A’I ⊥ MN và AI ⊥ MN nên [A, MN, A’] = AIA‘^.

Vì I là trung điểm của MN mà MN = BC = a nên MI = IN = MN2=a2.

Xét tam giác A’MI vuông tại I, có A‘I=A‘M2−MI2=2a2−a24=a72.

Xét tam giác ANI vuông tại I, có AI=AN2−NI2=2a2−a24=a72.

Áp dụng định lí côsin trong tam giác AA’I, ta có:

cosAIA‘^=AI2+A‘I2−AA‘22⋅AI⋅A‘I=7a24+7a24−4a22⋅7a24=−17.

Vậy côsin góc nhị diện [A, MN, A’] bằng –17.

Xem thêm các bài giải SBT Toán 11 Kết nối tri thức hay, chi tiết khác:

Bài tập cuối chương 8

Bài 31: Định nghĩa và ý nghĩa của đạo hàm

Bài 32: Các quy tắc tính đạo hàm

Bài 33: Đạo hàm cấp hai

Bài tập cuối chương 9

Bài tập ôn tập cuối năm

Tags : Tags Giải SBT Toán 11
Share
facebookShare on Facebook

Bài liên quan

Giải SGK Toán 11 Bài 12 (Kết nối tri thức): Đường thẳng và mặt phẳng song song

Giải SGK Toán 11 Bài 23 (Kết nối tri thức): Đường thẳng vuông góc với mặt phẳng

Giải SGK Toán 11 (Kết nối tri thức): Bài tập ôn tập cuối năm

Sách bài tập Toán 11 Bài 13 (Kết nối tri thức): Hai mặt phẳng song song

Sách bài tập Toán 11 Bài 26 (Kết nối tri thức): Khoảng cách

Giải Chuyên đề Toán 11 Kết nối tri thức Bài 5: Phép dời hình

20 câu Trắc nghiệm Hàm số lượng giác (Kết nối tri thức 2025) có đáp án – Toán lớp 11

20 Bài tập Giới hạn của hàm số (sách mới) có đáp án – Toán 11

0 Góp ý
Phản hồi nội tuyến
Xem tất cả bình luận

Mục lục

  1. Giải SGK Toán 11 Bài 1 (Kết nối tri thức): Giá trị lượng giác của góc lượng giác
  2. Giải SGK Toán 11 Bài 2 (Kết nối tri thức): Công thức lượng giác
  3. Giải SGK Toán 11 Bài 3 (Kết nối tri thức): Hàm số lượng giác
  4. Giải SGK Toán 11 Bài 4 (Kết nối tri thức): Phương trình lượng giác cơ bản
  5. Giải SGK Toán 11 (Kết nối tri thức) Bài tập cuối chương 1 trang 40
  6. Giải SGK Toán 11 Bài 5 (Kết nối tri thức): Dãy số
  7. Giải SGK Toán 11 Bài 6 (Kết nối tri thức): Cấp số cộng
  8. Giải SGK Toán 11 Bài 7 (Kết nối tri thức): Cấp số nhân
  9. Giải SGK Toán 11 (Kết nối tri thức) Bài tập cuối chương 2 trang 56
  10. Giải SGK Toán 11 Bài 8 (Kết nối tri thức): Mẫu số liệu ghép nhóm
  11. Giải SGK Toán 11 Bài 9 (Kết nối tri thức): Các số đặc trưng đo xu thế trung tâm
  12. Giải SGK Toán 11 (Kết nối tri thức) Bài tập cuối chương 3 trang 69
  13. Giải SGK Toán 11 Bài 10 (Kết nối tri thức): Đường thẳng và mặt phẳng trong không gian
  14. Giải SGK Toán 11 Bài 11 (Kết nối tri thức): Hai đường thẳng song song
  15. Giải SGK Toán 11 Bài 12 (Kết nối tri thức): Đường thẳng và mặt phẳng song song
  16. Giải SGK Toán 11 Bài 13 (Kết nối tri thức): Hai mặt phẳng song song
  17. Giải SGK Toán 11 Bài 14 (Kết nối tri thức): Phép chiếu song song
  18. Giải SGK Toán 11 (Kết nối tri thức): Bài tập cuối chương 4
  19. Giải SGK Toán 11 Bài 15 (Kết nối tri thức): Giới hạn của dãy số
  20. Giải SGK Toán 11 Bài 16 (Kết nối tri thức): Giới hạn của hàm số

Copyright © 2026 Học tập lớp 12 - Sách Toán - Học Tập AI
  • Sitemap
  • Chính sách
  • Giới thiệu
  • Hướng dẫn
  • Kết quả
  • Liên hệ
Back to Top
Menu
  • Sitemap
  • Chính sách
  • Giới thiệu
  • Hướng dẫn
  • Kết quả
  • Liên hệ
wpDiscuz