Skip to content

Học tập lớp 12

  • Trắc nghiệm Holland
  • Tính điểm xét tuyển
  • Danh sách trường Đại học
  • Kết quả bài thi

Học tập lớp 12

  • Home » 
  • Toán lớp 11

Sách bài tập Toán 11 (Kết nối tri thức) Bài tập cuối chương 9 trang 63

By Admin Lop12.com 23/02/2026 0

Giải SBT Toán lớp 11 Bài tập cuối chương 9 trang 63

A. TRẮC NGHIỆM

Giải SBT Toán 11 trang 63

Bài 9.22 trang 63 SBT Toán 11 Tập 2: Cho f(x) = cos22x+π12. Đạo hàm f'(0) bằng

A. 1.

B. −1.

C. 2cosπ12.

D. -2cosπ12.

Lời giải:

Đáp án đúng là: B

Có Cho f(x) = cos^2(2x+pi/12). Đạo hàm f'(0) bằng

=−4cos2x+π12sin2x+π12=−2sin4x+π6.

f‘0=−2sin4⋅0+π6=−1.

Bài 9.23 trang 63 SBT Toán 11 Tập 2: Cho f(x) = –13x3+x2+3x – 1. Đạo hàm f'(x) > 0 khi

A. x < −1.

B. x > 3.

C. −1 < x < 3.

D. x > −1.

Lời giải:

Đáp án đúng là: C

Có f‘x=−13x3+x2+3x−1‘ = −x2 + 2x + 3.

Để f'(x) > 0 thì −x2 + 2x + 3 > 0 ⇔ (3 − x)(x + 1) > 0 ⇔ −1 < x < 3.

Vậy f'(x) > 0 thì −1 < x < 3.

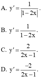
Bài 9.24 trang 63 SBT Toán 11 Tập 2: Đạo hàm của hàm số y = ln|1 – 2x| là

Đạo hàm của hàm số y = ln|1 – 2x| là

Lời giải:

Đáp án đúng là: C

Có y’ = (ln|1 – 2x|)’ = 1−2x‘1−2x=−21−2x=22x−1 . Vậy y‘=22x−1 .

Bài 9.25 trang 63 SBT Toán 11 Tập 2: Đạo hàm của hàm số y=2x+1x−13 là

A. 32x+1x−12 .

B. −92x+12x−15 .

C. −92x+12x−14 .

D. 92x+12x−14 .

Lời giải:

Đáp án đúng là: C

Có Đạo hàm của hàm số y = (2x+1/x-1)^3 là

=32x+1x−122x+1‘x−1−2x+1x−1‘x−12

=32x+1x−122x−1−2x+1x−12

=32x+1x−122x−2−2x−1x−12=−92x+12x−14.

Vậy y‘=−92x+12x−14.

Bài 9.26 trang 63 SBT Toán 11 Tập 2: Đạo hàm của hàm số y=1+2sin2x là

A. y‘=sin2x1+2sin2x .

B. y‘=sin2x21+2sin2x .

C. y‘=2sin2x1+2sin2x .

D. y‘=sinxcosx21+2sin2x .

Lời giải:

Đáp án đúng là: A

y‘=1+2sin2x‘=1+2sin2x‘21+2sin2x=4sinxcosx21+2sin2x

= 2sin2x21+2sin2x = sin2x1+2sin2x.

Vậy y‘=sin2x1+2sin2x .

Bài 9.27 trang 63 SBT Toán 11 Tập 2: Đạo hàm của hàm số y = xsin2x là

A. y’ = sin2x + 2xsinx.

B. y’ = sin2x + xsin2x.

C. y’ = sin2x + 2xcosx.

D. y’ = sin2x + xcos2x.

Lời giải:

Đáp án đúng là: B

Có y’ = (xsin2x)’ = sin2x + x×(sin2x)’ = sin2x + 2xsinxcosx = sin2x + xsin2x.

Vậy y’ = sin2x + xsin2x.

Giải SBT Toán 11 trang 64

Bài 9.28 trang 64 SBT Toán 11 Tập 2: Cho hàm số fx=1+5gx với g(0) = 3, g'(0) = −8. Đạo hàm f'(0) bằng

A. 10.

B. −8.

C. −5.

D. 5.

Lời giải:

Đáp án đúng là: C

f‘x=1+5gx‘=1+5gx‘21+5gx=5g‘x21+5gx.

Có f‘0=5g‘021+5g0=5⋅−821+5⋅3=−5 (do g(0) = 3, g'(0) = −8).

Vậy f'(0) = −5.

Bài 9.29 trang 64 SBT Toán 11 Tập 2: Cho f(x) = xsinx và g(x) = cosxx. Giá trị f‘1g‘1 là

A. −1.

B. sin1 + cos1.

C. 1.

D. −sin1 − cos1.

Lời giải:

Đáp án đúng là: A

Có f'(x) = (xsinx)’ = sinx + xcosx, suy ra f'(1) = sin1 + cos1

g‘x=cosxx‘=cosx‘x−cosx⋅x‘x2=−xsinx−cosxx2,

suy ra g'(1) = −sin1−cos112= -sin1 – cos1.

Do đó f‘1g‘1=sin1+cos1−sin1−cos1= -1.

Vậy f‘1g‘1=−1.

Bài 9.30 trang 64 SBT Toán 11 Tập 2: Cho f(x) = xe−x22. Tập nghiệm của phương trình f'(x) = 0 là

A. {1}.

B. {−1}.

C. {0; 1}.

D. {−1; 1}.

Lời giải:

Đáp án đúng là: D

Có f‘x=xe−x22‘=e−x22+xe−x22−x22‘=e−x22−x2e−x22.

Để f'(x) = 0 thì e−x22−x2e−x22=0⇔e−x221−x2=0⇔1−x2=0⇔x=±1.

Bài 9.31 trang 64 SBT Toán 11 Tập 2: Cho hai hàm số f(x) = 2x3 + 3x – 1 và g(x) = 3(x2 + x) + 2. Tập nghiệm của bất phương trình f'(x) < g'(x) là

A. (−∞; 0).

B. (1; +∞).

C. (−∞; 0) ∪ (1; +∞).

D. (0; 1).

Lời giải:

Đáp án đúng là: D

Có f'(x) = (2x3 + 3x – 1)’ = 6x2 + 3.

g'(x) = [3(x2 + x) + 2]’ = 6x + 3.

Để f'(x) < g'(x) thì 6x2 + 3 < 6x + 3 ⇔ 6x2 − 6x < 0 ⇔ 6x(x − 1) < 0 ⇔ 0 < x < 1.

Vậy tập nghiệm của bất phương trình f'(x) < g'(x) là (0; 1).

Bài 9.32 trang 64 SBT Toán 11 Tập 2: Cho S(r) là diện tích hình tròn bán kính r. Khẳng định nào sau đây đúng?

A. S'(r) là diện tích nửa hình tròn đó.

B. S'(r) là chu vi đường tròn đó.

C. S'(r) là chu vi nửa đường tròn đó.

D. S'(r) là hai lần chu vi đường tròn đó.

Lời giải:

Đáp án đúng là: B

Ta có S(r) = πr2. Do đó S'(r) = (πr2)’ = 2πr là chu vi của đường tròn đó.

Bài 9.33 trang 64 SBT Toán 11 Tập 2: Tiếp tuyến của đồ thị hàm số y = x(x – 1)2 + x2 + 1 tại điểm A(−1; −2) có phương trình là

A. y = 6x + 4.

B. y = 6x − 4.

C. y = −2x − 4.

D. y = −2x + 4.

Lời giải:

Đáp án đúng là: A

Có y’ = [x(x – 1)2 + x2 + 1]’ = (x – 1)2 + 2x(x – 1) + 2x

= x2 – 2x + 1 + 2x2 – 2x + 2x = 3x2 – 2x + 1.

Có y'(−1) = 3×(−1)2 – 2×(−1) + 1 = 6.

Phương trình tiếp tuyến của đồ thị hàm số y = x(x – 1)2 + x2 + 1 tại điểm A(−1; −2) có dạng: y = y'(−1)×(x + 1) – 2 = 6×(x + 1) – 2 = 6x + 6 – 2 = 6x + 4.

Vậy y = 6x + 4 là tiếp tuyến cần tìm.

Bài 9.34 trang 64 SBT Toán 11 Tập 2: Tiếp tuyến của đồ thị hàm số y=23x3−4x2+5x+3 với hệ số góc nhỏ nhất có phương trình là

A. y = 3x − 25.

B. y = −3x + 25.

C. y=−3x+253.

D. y=3x−253.

Lời giải:

Đáp án đúng là: C

Hệ số góc của tiếp tuyến của đồ thị hàm số có dạng:

k = y’ = 23x3−4x2+5x+3‘ = 2x2 – 8x + 5.

Có k = 2x2 – 8x + 5 = 2(x2 – 4x) + 5 = 2(x2 – 4x + 4) – 3 = 2(x – 2)2 – 3 ≥ − 3.

Dấu “=” xảy ra khi x – 2 = 0 hay x = 2.

Do đó hệ số góc nhỏ nhất của tiếp tuyến là −3 khi x = 2; y = 73.

Phương trình tiếp tuyến của đồ thị hàm số là y = -3(x-2)+73 = -3x+253.

Vậy y = -3x + 253 là tiếp tuyến cần tìm.

Bài 9.35 trang 64 SBT Toán 11 Tập 2: Hệ số góc của tiếp tuyến của đồ thị hàm số y=1−2xx+2 tại điểm có hoành độ x = −1 là

A. k = 5.

B. k = 2.

C. k = −2.

D. k = −5.

Lời giải:

Đáp án đúng là: D

Có y‘=1−2xx+2‘=1−2x‘x+2−1−2xx+2‘x+22

=−2x+2−1−2xx+22=−2x−4−1+2xx+22=−5x+22.

Hệ số góc của tiếp tuyến của đồ thị hàm số tại điểm có hoành độ x = −1 là:

k = y'(-1) = −5−1+22 = -5.

Vậy k = −5 là hệ số góc cần tìm.

Bài 9.36 trang 64 SBT Toán 11 Tập 2: Tiếp tuyến của đồ thị hàm số y = −x3 + 6x2 – 9x + 1 với hệ số góc lớn nhất có phương trình là

A. y = 3x – 5.

B. y = 3x – 7.

C. y = 3x + 5.

D. y = 3x + 7.

Lời giải:

Đáp án đúng là: B

Hệ số góc của tiếp tuyến của đồ thị hàm số có dạng:

k = y’ = (−x3 + 6x2 – 9x + 1)’ = −3x2 + 12x – 9.

Có k = −3x2 + 12x – 9 = −3(x2 – 4x) – 9 = −3(x2 – 4x + 4) + 3 = −3(x − 2)2 + 3 ≤ 3.

Dấu “=” xảy ra khi x – 2 = 0 hay x = 2.

Do đó hệ số góc lớn nhất của tiếp tuyến của đồ thị hàm số là 3 khi x = 2; y = −1.

Phương trình tiếp tuyến của đồ thị hàm số là y = 3(x – 2) – 1= 3x – 7.

Vậy y = 3x – 7 là tiếp tuyến cần tìm.

Giải SBT Toán 11 trang 65

Bài 9.37 trang 65 SBT Toán 11 Tập 2: Cho f(x) = (x2 – x)e−x. Giá trị f”(0) là

A. 4.

B. −4.

C. 0.

D. −1.

Lời giải:

Đáp án đúng là: A

Có f'(x) = [(x2 – x)e−x]’ = (2x −1)e−x − (x2 – x)e−x = (−x2 + 3x – 1)e−x.

f”(x) = [(−x2 + 3x – 1)e−x]’ = (−2x + 3)e−x − (−x2 + 3x – 1)e−x = (x2 – 5x + 4)e−x.

Khi đó f”(0) = (02 – 5×0 + 4)e−0 = 4. Vậy f”(0) = 4.

Bài 9.38 trang 65 SBT Toán 11 Tập 2: Cho hàm số y = excosx. Đẳng thức đúng là

A. y” – 2y’ – 2y = 0.

B. y” – 2y’ + 2y = 0.

C. y” + 2y’ – 2y = 0.

D. y” + 2y’ + 2y = 0.

Lời giải:

Đáp án đúng là: B

Có y’ = (excosx)’ = excosx − exsinx

⇒ y’ = y − exsinx ⇒ exsinx = y – y’.

y” = (excosx − exsinx)’ = excosx − exsinx – (exsinx + excosx) = −2exsinx = −2(y – y’).

Do đó y” = −2(y – y’) ⇔ y” = −2y + 2y’ ⇔ y” – 2y’ + 2y = 0.

Bài 9.39 trang 65 SBT Toán 11 Tập 2: Độ cao (tính bằng mét) của một vật rơi tự do sau t giây là h(t) = 400 – 4,9t2. Giá trị tuyệt đối của vận tốc của vật khi nó chạm đất (làm tròn kết quả đến chữ số thập phân thứ nhất) là

A. 88,5 m/s.

B. 86,7 m/s.

C. 89,4 m/s.

D. 90 m/s.

Lời giải:

Đáp án đúng là: A

Vận tốc của vật tại thời điểm t là v(t) = h'(t) = (400 – 4,9t2)’ = −9,8t.

Khi vật chạm đất tức là h(t) = 0 ⇔ 400 – 4,9t2 = 0 ⇔t=20107 giây.

Giá trị tuyệt đối của vận tốc của vật khi nó chạm đất là Độ cao (tính bằng mét) của một vật rơi tự do sau t giây ≈88,5 m/s.

Bài 9.40 trang 65 SBT Toán 11 Tập 2: Chuyển động của một vật có phương trình s = 5+ sin0,8πt+π6, ở đó s tính bằng centimét và thời gian t tính bằng giây. Tại các thời điểm vận tốc bằng 0, giá trị tuyệt đối của gia tốc của vật gần với giá trị nào sau đây nhất?

A. 4,5 cm/s2.

B. 5,5 cm/s2.

C. 6,3 cm/s2.

D. 7,1 cm/s2.

Lời giải:

Đáp án đúng là: C

Vận tốc của vật tại thời điểm t là v(t) = s'(t) = Chuyển động của một vật có phương trình s = 5 + sin((0,8pi)t+pi/6)

=0,8πt+π6‘cos0,8πt+π6=0,8πcos0,8πt+π6.

Gia tốc của vật tại thời điểm t là a(t) = v'(t) = Chuyển động của một vật có phương trình s = 5 + sin((0,8pi)t+pi/6)

=−0,82π2sin0,8πt+π6.

Tại thời điểm vận tốc bằng 0 tức là 0,8πcos0,8πt+π6=0

⇔cos0,8πt+π6=0.

Do cos20,8πt+π6+sin20,8πt+π6=1 mà cos0,8πt+π6=0 nên

sin20,8πt+π6=1 ⇔Chuyển động của một vật có phương trình s = 5 + sin((0,8pi)t+pi/6) = 1.

Giá trị tuyệt đối của gia tốc tại thời điểm vận tốc bằng 0 là

Chuyển động của một vật có phương trình s = 5 + sin((0,8pi)t+pi/6) = (0,8π)2 ≈ 6,3cm/s2.

Vậy giá trị tuyệt đối của gia tốc gần 6,3 cm/s2.

Bài 9.41 trang 65 SBT Toán 11 Tập 2: Vị trí của một vật chuyển động (tính bằng mét) sau t giây được xác định bởi s = t4 – 4t3 – 20t2 + 20t, t > 0. Gia tốc của vật tại thời điểm mà vận tốc v = 20 m/s là

A. 140 m/s2.

B. 120 m/s2.

C. 130 m/s2.

D. 100 m/s2.

Lời giải:

Đáp án đúng là: A

Ta có v(t) = s'(t) = 4t3 – 12t2 – 40t + 20.

a(t) = v'(t) = 12t2 – 24t – 40.

Thời điểm mà vận tốc v = 20 m/s tức là 4t3 – 12t2 – 40t + 20 = 20

⇔ 4t3 – 12t2 – 40t = 0 ⇔ t = 5 (thỏa mãn) hoặc t = 0 (loại) hoặc t = −2 (loại).

Gia tốc của vật tại thời điểm t = 5 giây là a(5) = 12.52 – 24.5 – 40 = 140 m/s2.

Vậy gia tốc của vật tại thời điểm mà vận tốc v = 20 m/s là 140 m/s2.

B. TỰ LUẬN

Bài 9.42 trang 65 SBT Toán 11 Tập 2: Tính đạo hàm các hàm số sau:

a) y=x2−2x+4x3

b) y = 2x + log3(1 – 2x);

c) y=1−2xx2+1;

d) y = sin2x + cos23x.

Lời giải:

a) y’ = Tính đạo hàm các hàm số sau y = (x^2-2/x+4cănx)^3

=3x2−2x+4x2x2−2x+4x‘

=3x2−2x+4x22x+2x2+2x

=6x2−2x+4x2x+1x2+1x/

Vậy y‘=6x2−2x+4x2x+1x2+1x.

b) y’ = [2x + log3(1 – 2x)]’ = 2xln2+1−2x‘1−2xln3=2xln2−21−2xln3.

Vậy y‘=2xln2−21−2xln3.

c) y‘=1−2xx2+1‘=1−2x‘x2+1−1−2xx2+1‘x2+12

=−2x2+1−2x1−2xx2+12=−2x2−2−2x+4x2x2+12=2x2−2x−2x2+12.

Vậy y‘=2x2−2x−2x2+12.

d) y’ = (sin2x + cos23x)’ = cos2x×(2x)’ + 2cos3x×(cos3x)’

= 2cos2x – 6cos3xsin3x = 2cos2x – 3sin6x.

Vậy y’ = 2cos2x – 3sin6x.

Bài 9.43 trang 65 SBT Toán 11 Tập 2: Cho hàm số f(x) = x + 4+x2.

a) Tìm tập xác định của hàm số đã cho.

b) Tính đạo hàm f'(x) và tìm tập xác định của f'(x).

c) Tìm x sao cho f'(x) = 0.

Lời giải:

a) Điều kiện 4 – x2 ≥ 0 ⇔ −2 ≤ x ≤ 2.

Vậy tập xác định của hàm số là [−2; 2].

b) Có f'(x) = (x+4–x2)’ = 1 + 4−x2‘24−x2

=1+−2x24−x2=1−x4−x2=4−x2−x4−x2.

Điều kiện để f'(x) xác định là 4 – x2 > 0 ⇔ −2 < x < 2.

Vậy tập xác định của f'(x) là (−2; 2).

c) Có f'(x) = 0 thì 4−x2−x4−x2=0⇒4−x2−x=0

⇔4−x2=xCho hàm số f(x) = x + căn (4-x^2). Tìm tập xác định của hàm số đã cho⇔x=2.

Kết hợp với điều kiện ở câu b, ta có x=2 là giá trị cần tìm.

Giải SBT Toán 11 trang 66

Bài 9.44 trang 66 SBT Toán 11 Tập 2: Cho hàm số f(x) = Cho hàm số f(x) = x^2-x khi x nhỏ hơn hoặc bằng 0 với m là tham số. Tìm m để hàm số có đạo hàm tại mọi x ∈ ℝ.

Lời giải:

+) Với x < 0 thì f(x) = x2 – x. Có f'(x) = 2x – 1.

+) Với x > 0 thì f(x) = −x3 + mx. Có f'(x) = −3x2 + m.

Hàm số có đạo hàm tại mọi x ∈ ℝ khi và chỉ khi tồn tại f'(0).

Ta đi tính đạo hàm bên trái và đạo hàm bên phải tại điểm x = 0.

Có limx→0+fx−f0x−0=limx→0+−x3+mxx=limx→0+−x2+m=m.

limx→0−fx−f0x−0=limx→0−x2−xx=limx→0−x−1=−1.

Do vậy hàm số có đạo hàm tại mọi x ∈ ℝ khi và chỉ khi m = −1.

Vậy m = −1 là giá trị cần tìm.

Bài 9.45 trang 66 SBT Toán 11 Tập 2: Cho hàm số f(x) = x3 + ax2 + 3x + 1 (a ∈ ℝ là tham số). Tìm a để f'(x) > 0 với mọi x ∈ ℝ.

Lời giải:

Có f'(x) = (x3 + ax2 + 3x + 1)’ = 3x2 + 2ax + 3.

Để f'(x) > 0 với mọi x ∈ ℝ thì 3x2 + 2ax + 3 > 0 với mọi x ∈ ℝ, điều này xảy ra khi và chỉ khi ∆‘ = a2 – 9 < 0 ⇔ −3 < a < 3.

Vậy −3 < a < 3 là giá trị cần tìm.

Bài 9.46 trang 66 SBT Toán 11 Tập 2: Cho hàm số y = x3 – 3x2 + 2x – 1 có đồ thị là đường cong (C). Tìm tọa độ điểm M thuộc đồ thị (C) sao cho tiếp tuyến của (C) tại điểm M song song với đường thẳng có phương trình y = 2x – 1.

Lời giải:

Giả sử Mx0;x03−3x02+2x0−1 là điểm thuộc đồ thị (C).

Vì tiếp tuyến tại điểm M song song với đường thẳng có phương trình y = 2x – 1 nên hệ số góc của tiếp tuyến là k = y'(x0) = 2.

Có y'(x0) = 3x02−6x0+2.

Vì y'(x0) = 2 nên 3x02−6x0+2=2 ⇔3x02−6x0=0 ⇔x0 = 0 hoặc x0 = 2.

+ Với x0 = 0 thì M(0; −1). Khi đó ta có phương trình tiếp tuyến là: y = 2x − 1 trùng với đường thẳng đề cho nên M(0; −1) không thỏa mãn.

+ Với x0 = 2 thì M(2; −1). Khi đó ta có phương trình tiếp tuyến là: y = 2(x – 2) – 1 hay y = 2x – 5.

Vậy M(2; −1) là điểm cần tìm.

Bài 9.47 trang 66 SBT Toán 11 Tập 2: Viết phương trình tiếp tuyến của đồ thị hàm số y = (x2 – 1)2 – 3 tại các giao điểm của nó với đồ thị hàm số y = 10 – x2.

Lời giải:

Hoành độ giao điểm của đồ thị hàm số y = (x2 – 1)2 – 3 và đồ thị hàm số y = 10 – x2 là nghiệm của phương trình: (x2 – 1)2 – 3 = 10 – x2

⇔ x4 – 2x2 + 1 – 3 = 10 – x2

⇔ x4 – x2 – 12 = 0

⇔ (x2 + 3)(x2 – 4) = 0

⇔ x2 – 4 = 0 (do x2 + 3 > 0 với mọi x)

⇔ x = 2 hoặc x = −2.

Với x = 2, ta có tọa độ giao điểm A(2; 6).

Với x = −2, ta có tọa độ giao điểm B(−2; 6).

Có y’ = [(x2 – 1)2 – 3]’ = 2(x2 – 1)(x2 – 1)’ = 4x(x2 – 1).

+) Viết phương trình tiếp tuyến của đồ thị hàm số tại A(2; 6).

Hệ số góc của tiếp tuyến là k = y'(2) = 4×2×(22 – 1) = 24.

Do đó phương trình tiếp tuyến của đồ thị hàm số tại A(2; 6) là:

y = 24(x – 2) + 6 hay y = 24x – 42.

+) Viết phương trình tiếp tuyến của đồ thị hàm số tại B(−2; 6).

Hệ số góc của tiếp tuyến là k = y'(−2) = 4×(−2)×[(−2)2 – 1] = −24.

Do đó phương trình tiếp tuyến của đồ thị hàm số tại B(−2; 6) là:

y = −24(x + 2) + 6 hay y = −24x – 42.

Vậy y = 24x – 42 và y = −24x – 42 là hai tiếp tuyến cần tìm.

Bài 9.48 trang 66 SBT Toán 11 Tập 2: Một vật gắn trên lò xo chuyển động theo phương ngang trên một mặt phẳng nhẵn (H.9.1). Phương trình chuyển động của vật được cho bởi x=8sin2πt+π3, với t tính bằng giây và x tính bằng centimét. Tìm vận tốc và gia tốc của vật tại thời điểm t = 5 giây (làm tròn kết quả đến chữ số thập phân thứ nhất). Vật chuyển động theo hướng nào tại thời điểm đó?

Một vật gắn trên lò xo chuyển động theo phương ngang trên một mặt phẳng nhẵn

Lời giải:

Vận tốc của vật tại thời điểm t là

v(t) = x'(t) = Một vật gắn trên lò xo chuyển động theo phương ngang trên một mặt phẳng nhẵn

=8.2πt+π3‘cos2πt+π3

=82πcos2πt+π3

Gia tốc của vật tại thời điểm t là

a(t) = v'(t) = Một vật gắn trên lò xo chuyển động theo phương ngang trên một mặt phẳng nhẵn

=−82πsin2πt+π3.2πt+π3‘

=−16π2sin2πt+π3.

Vận tốc của vật tại thời điểm t = 5 giây là

v5=82πcos52π+π3≈−10,5 m/s.

Gia tốc của vật tại thời điểm t = 5 giây là

a5=−16π2sin52π+π3≈150,8 m/s2.

Tại thời điểm đó vật đang chuyển động theo hướng từ phải sang trái (hướng tới vách chắn cố định).

Xem thêm các bài giải SBT Toán 11 Kết nối tri thức hay, chi tiết khác:

Bài tập cuối chương 8

Bài 31: Định nghĩa và ý nghĩa của đạo hàm

Bài 32: Các quy tắc tính đạo hàm

Bài 33: Đạo hàm cấp hai

Bài tập cuối chương 9

Bài tập ôn tập cuối năm

Tags : Tags Giải SBT Toán 11
Share
facebookShare on Facebook

Bài liên quan

Giải SGK Toán 11 Bài 12 (Kết nối tri thức): Đường thẳng và mặt phẳng song song

Giải SGK Toán 11 Bài 23 (Kết nối tri thức): Đường thẳng vuông góc với mặt phẳng

Giải SGK Toán 11 (Kết nối tri thức): Bài tập ôn tập cuối năm

Sách bài tập Toán 11 Bài 13 (Kết nối tri thức): Hai mặt phẳng song song

Sách bài tập Toán 11 Bài 26 (Kết nối tri thức): Khoảng cách

Giải Chuyên đề Toán 11 Kết nối tri thức Bài 5: Phép dời hình

20 câu Trắc nghiệm Hàm số lượng giác (Kết nối tri thức 2025) có đáp án – Toán lớp 11

20 Bài tập Giới hạn của hàm số (sách mới) có đáp án – Toán 11

0 Góp ý
Phản hồi nội tuyến
Xem tất cả bình luận

Mục lục

  1. Giải SGK Toán 11 Bài 1 (Kết nối tri thức): Giá trị lượng giác của góc lượng giác
  2. Giải SGK Toán 11 Bài 2 (Kết nối tri thức): Công thức lượng giác
  3. Giải SGK Toán 11 Bài 3 (Kết nối tri thức): Hàm số lượng giác
  4. Giải SGK Toán 11 Bài 4 (Kết nối tri thức): Phương trình lượng giác cơ bản
  5. Giải SGK Toán 11 (Kết nối tri thức) Bài tập cuối chương 1 trang 40
  6. Giải SGK Toán 11 Bài 5 (Kết nối tri thức): Dãy số
  7. Giải SGK Toán 11 Bài 6 (Kết nối tri thức): Cấp số cộng
  8. Giải SGK Toán 11 Bài 7 (Kết nối tri thức): Cấp số nhân
  9. Giải SGK Toán 11 (Kết nối tri thức) Bài tập cuối chương 2 trang 56
  10. Giải SGK Toán 11 Bài 8 (Kết nối tri thức): Mẫu số liệu ghép nhóm
  11. Giải SGK Toán 11 Bài 9 (Kết nối tri thức): Các số đặc trưng đo xu thế trung tâm
  12. Giải SGK Toán 11 (Kết nối tri thức) Bài tập cuối chương 3 trang 69
  13. Giải SGK Toán 11 Bài 10 (Kết nối tri thức): Đường thẳng và mặt phẳng trong không gian
  14. Giải SGK Toán 11 Bài 11 (Kết nối tri thức): Hai đường thẳng song song
  15. Giải SGK Toán 11 Bài 12 (Kết nối tri thức): Đường thẳng và mặt phẳng song song
  16. Giải SGK Toán 11 Bài 13 (Kết nối tri thức): Hai mặt phẳng song song
  17. Giải SGK Toán 11 Bài 14 (Kết nối tri thức): Phép chiếu song song
  18. Giải SGK Toán 11 (Kết nối tri thức): Bài tập cuối chương 4
  19. Giải SGK Toán 11 Bài 15 (Kết nối tri thức): Giới hạn của dãy số
  20. Giải SGK Toán 11 Bài 16 (Kết nối tri thức): Giới hạn của hàm số

Copyright © 2026 Học tập lớp 12 - Sách Toán - Học Tập AI
  • Sitemap
  • Chính sách
  • Giới thiệu
  • Hướng dẫn
  • Kết quả
  • Liên hệ
Back to Top
Menu
  • Sitemap
  • Chính sách
  • Giới thiệu
  • Hướng dẫn
  • Kết quả
  • Liên hệ
wpDiscuz