Skip to content

Học tập lớp 12

  • Trắc nghiệm Holland
  • Tính điểm xét tuyển
  • Danh sách trường Đại học
  • Kết quả bài thi

Học tập lớp 12

  • Home » 
  • Toán lớp 11

Sách bài tập Toán 11 (Kết nối tri thức): Bài tập cuối chương 1 trang 25

By Admin Lop12.com 23/02/2026 0

Giải SBT Toán lớp 11 Bài tập cuối chương 1 trang 25

A. TRẮC NGHIỆM

Giải SBT Toán 11 trang 25

Bài 1.31 trang 25 SBT Toán 11 Tập 1: Đổi số đo góc α = 105° sang rađian ta được

A. α=5π8.

B. α=π8.

C. α=7π12.

D. α=9π12.

Lời giải:

Đáp án đúng là: C

Ta có α = 105° = 105.π180=7π12 rad.

Bài 1.32 trang 25 SBT Toán 11 Tập 1: Cho góc lượng giác (Ou, Ov) có số đo α mà uOv^ là góc tù. Mệnh đề nào sau đây đúng?

A. Có số nguyên k để π2+k2π<α<3π2+k2π.

B. −π<α<−π2.

C. −π2<α≤3π2.

D. π2<α<π.

Lời giải:

Đáp án đúng là: A

Vì có vô số góc lượng giác tia đầu Ou, tia cuối Ov nên ta loại trừ đáp án B, C, D (do chưa thể xác định được khoảng cụ thể của góc α.

Mà uOv^ là góc tù nên π2<uOv^<3π2.

Vậy tồn tại số nguyên k để π2+k2π<α<3π2+k2π.

Bài 1.33 trang 25 SBT Toán 11 Tập 1: Giá trị cot89π6 bằng

A. −33.

B. 3.

C. −3.

D. 33.

Lời giải:

Đáp án đúng là: C

Ta có cot89π6=cot5π6+14π=cot5π6=−3.

Bài 1.34 trang 25 SBT Toán 11 Tập 1: Cho π2<α<π. Mệnh đề nào sau đây đúng?

A. sin α < 0; cos α > 0.

B. sin α > 0; cos α > 0.

C. sin α < 0; cos α < 0.

D. sin α > 0; cos α < 0. 

Lời giải:

Đáp án đúng là: D

Vì π2<α<π nên α thuộc góc phần tư thứ II, do đó sin α > 0, cos α < 0.

Bài 1.35 trang 25 SBT Toán 11 Tập 1: Trong các đẳng thức sau, đẳng thức nào sai?

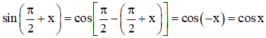
A. sinπ2−x=cosx.

B. sinπ2+x=cosx.

C. tanπ2−x=cotx.

D. tanπ2+x=cotx.

Lời giải:

Đáp án đúng là: D

Theo mối quan hệ giữa giá trị lượng giác của hai góc phụ nhau, ta có:

sinπ2−x=cosx; tanπ2−x=cotx nên đáp án A và C đúng.

Ta có Trong các đẳng thức sau đẳng thức nào sai trang 25 SBT Toán 11 nên đáp án B đúng.

Lại có Trong các đẳng thức sau đẳng thức nào sai trang 25 SBT Toán 11 nên đáp án D sai.

Giải SBT Toán 11 trang 26

Bài 1.36 trang 26 SBT Toán 11 Tập 1: Trong các đẳng thức sau, đẳng thức nào đúng?

A. sin(180° – a) = – cos a.

B. sin(180° – a) = – sin a.

C. sin(180° – a) = sin a.

D. sin(180° – a) = cos a.

Lời giải:

Đáp án đúng là: C

Theo mối quan hệ giữa giá trị lượng giác của hai góc bù nhau, ta có: sin(180° – a) = sin a.

Bài 1.37 trang 26 SBT Toán 11 Tập 1: Biết sin x = 12. Giá trị của cos2 x bằng

A. cos2x=12.

B. cos2x=32.

C. cos2x=14.

D. cos2x=34.

Lời giải:

Đáp án đúng là: D

Ta có sin2 x + cos2 x = 1, suy ra cos2 x = 1 – sin2 x = 1−122=34.

Bài 1.38 trang 26 SBT Toán 11 Tập 1: Biết cot x = 12. Giá trị của biểu thức 4sinx+5cosx2sinx−3cosx bằng

A. 117.

B. 59.

C. 13.

D. 29.

Lời giải:

Đáp án đúng là: C

Vì cot x = 12 nên sin x ≠ 0, ta chia cả tử và mẫu của biểu thức 4sinx+5cosx2sinx−3cosx cho sin x, ta được:

 4sinx+5cosx2sinx−3cosx=4sinxsinx+5cosxsinx2sinxsinx−3cosxsinx=4+5cotx2−3cotx=4+5.122−3.12=13.

Bài 1.39 trang 26 SBT Toán 11 Tập 1: Trong các đẳng thức sau, đẳng thức nào sai?

A. cosu+cosv=2cosu+v2cosu−v2.

B. cosu−cosv=2sinu+v2sinu−v2.

C. sinu+sinv=2sinu+v2cosu−v2.

D. sinu−sinv=2cosu+v2sinu−v2.

Lời giải:

Đáp án đúng là: B

Công thức biến đổi tổng thành tích:

cosu+cosv=2cosu+v2cosu−v2.

cosu−cosv=−2sinu+v2sinu−v2.

sinu+sinv=2sinu+v2cosu−v2.

sinu−sinv=2cosu+v2sinu−v2.

Vậy đáp án B sai.

Bài 1.40 trang 26 SBT Toán 11 Tập 1: Trong các đẳng thức sau, đẳng thức nào sai?

A. sin 2a = 2sin a cos a.

B. cos 2a = cos2 a – sin2 a.

C. cos 2a = 1 – 2sin2 a.

D. tan 2a = 2tana1+tan2a.

Lời giải:

Đáp án đúng là: D

Công thức nhân đôi:

sin 2a = 2sin a cos a.

cos 2a = cos2 a – sin2 a = 1 – 2sin2 a.

tan 2a = 2tana1−tan2a.

Vậy đáp án D sai.

Bài 1.41 trang 26 SBT Toán 11 Tập 1: Tập xác định của hàm số y=1−cosx là

 Tập xác định của hàm số  Y trang 26 SBT Toán 11

Lời giải:

Đáp án đúng là: D

Biểu thức 1−cosx xác định khi 1 – cos x ≥ 0.

Vì – 1 ≤ cos x ≤ 1 nên 1 – cos x ≥ 0 với mọi x ∈ ℝ.

Vậy tập xác định của hàm số y=1−cosx là D = ℝ.

Bài 1.42 trang 26 SBT Toán 11 Tập 1: Khẳng định nào sau đây đúng?

A. Hàm số y = cos x nghịch biến trên khoảng (– π; 0) và đồng biến khoảng (0; π).

B. Hàm số y = cos x đồng biến trên các khoảng (– π; 0) và (0; π).

C. Hàm số y = cos x nghịch biến trên các khoảng (– π; 0) và (0; π).

D. Hàm số y = cos x đồng biến trên khoảng (– π; 0) và nghịch biến trên khoảng (0; π).

Lời giải:

Đáp án đúng là: D

Hàm số y = cos x đồng biến trên mỗi khoảng (– π + k2π; k2π) và nghịch biến trên mỗi khoảng (k2π; π + k2π), k ∈ ℤ.

Do đó, hàm số y = cos x đồng biến trên khoảng (– π; 0) và nghịch biến trên khoảng (0; π).

Giải SBT Toán 11 trang 27

Bài 1.43 trang 27 SBT Toán 11 Tập 1: Khẳng định nào sau đây sai?

A. Tập xác định của hàm số y = tan x là Khẳng định nào sau đây sai trang 27 SBT Toán 11

B. Hàm số y = tan x đồng biến trên các khoảng −π2+kπ;  π2+kπ với mọi k ∈ ℤ.

C. Tập giá trị của hàm số y = tan x là −π2; π2.

D. Hàm số y = tan x là hàm số tuần hoàn với chu kì π.

Lời giải:

Đáp án đúng là: C

Theo lí thuyết, ta có các đáp án A, B, D đúng.

Lại có tập giá trị của hàm số y = tan x là ℝ nên đáp án C sai.

Bài 1.44 trang 27 SBT Toán 11 Tập 1: Hàm số nào dưới đây có đồ thị nhận trục tung làm trục đối xứng?

A. y = cos x.

B. y = sin3 x .

C. y = sin x.

D. y = tan x.

Lời giải:

Đáp án đúng là: A

Hàm số y = cos x là hàm số chẵn nên đồ thị của nó nhận trục tung làm trục đối xứng.

Bài 1.45 trang 27 SBT Toán 11 Tập 1: Mệnh đề nào sau đây sai?

A. Hàm số y = sin x tuần hoàn với chu kì 2π.

B. Hàm số y = cos x tuần hoàn với chu kì 2π.

C. Hàm số y = tan x tuần hoàn với chu kì 2π.

D. Hàm số y = cot x tuần hoàn với chu kì π.

Lời giải:

Đáp án đúng là: C

Hàm số y = tan x tuần hoàn với chu kì π nên đáp án C sai.

Bài 1.46 trang 27 SBT Toán 11 Tập 1: Mệnh đề nào sau đây sai?

A. Hàm số y = sin x cos 2x là hàm số tuần hoàn.

B. Hàm số y = sin x cos 2x là hàm số lẻ.

C. Hàm số y = x sin x là hàm số tuần hoàn.

D. Hàm số y = x sin x là hàm số chẵn.

Lời giải:

Đáp án đúng là: C

Xét từng đáp án:

+) Hàm số y = sin x cos 2x có tập xác định D = ℝ.

– Ta có ∀ x ∈ D thì x + 2π ∈ D và x – 2π ∈ D, hơn nữa

f(x + 2π) = sin(x + 2π) cos(2x + 2π) = sin x cos 2x = f(x).

Vậy hàm số y = sin x cos 2x là hàm số tuần hoàn nên đáp án A đúng.

– Ta có ∀ x ∈ D thì – x ∈ D và f(– x) = sin(– x) . cos(– 2x) = – sin x . cos 2x = – f(x).

Do đó hàm số y = sin x cos 2x là hàm số lẻ nên đáp án B đúng.

+) Hàm số y = x sin x có tập xác định D = ℝ.

Ta có ∀ x ∈ D thì – x ∈ D và f(– x) = (– x) . sin(– x) = x sin x = f(x).

Do đó hàm số y = x sin x là hàm số chẵn nên đáp án D đúng.

Vậy đáp án C sai.

Bài 1.47 trang 27 SBT Toán 11 Tập 1: Mệnh đề nào dưới đây đúng?

A. cos x = – 1 ⇔ x = π + k2π (k ∈ ℤ).

B. sin x = 0 ⇔ x = k2π (k ∈ ℤ).

C. tan x = 0 ⇔ x = k2π (k ∈ ℤ).

D. cos x = 0 ⇔ x = π2 + k2π (k ∈ ℤ).

Lời giải:

Đáp án đúng là: A

Xét từng đáp án:

+) cos x = – 1 ⇔ x = π + k2π (k ∈ ℤ) nên đáp án A đúng.

+) sin x = 0 ⇔ x = kπ (k ∈ ℤ) nên đáp án B sai, từ đó suy ra đáp án C sai.

+) cos x = 0 ⇔ x = π2 + kπ (k ∈ ℤ) nên đáp án D sai.

Bài 1.48 trang 27 SBT Toán 11 Tập 1: Số nghiệm của phương trình 2cosx=3 trên đoạn Số nghiệm của phương trình 2cosx = căn bậc hai 3 trên đoạn  [0;5π/2] là là

A. 1.

B. 4.

C. 3.

D. 2.

Lời giải:

Đáp án đúng là: C

Ta có 2cosx=3⇔cosx=32⇔cosx=cosπ6⇔x=±π6+k2π   k∈ℤ.

Vì Số nghiệm của phương trình 2cosx = căn bậc hai 3 trên đoạn  [0;5π/2] là nên:

+ Với x=π6+k2π   k∈ℤ thì 0≤π6+k2π≤5π2⇔−112≤k≤76 , mà k ∈ ℤ, từ đó suy ra k ∈ {0; 1}.

+ Với x=π6+k2π   k∈ℤ thì 0≤−π6+k2π≤5π2⇔112≤k≤43, mà k ∈ ℤ, từ đó suy ra k = 1.

Vậy phương trình 2cosx=3 có 3 nghiệm trên đoạn Số nghiệm của phương trình 2cosx = căn bậc hai 3 trên đoạn  [0;5π/2] là.

Bài 1.49 trang 28 SBT Toán 11 Tập 1: Tổng các nghiệm thuộc khoảng (0; 2π) của phương trình 3cos x – 1 = 0 bằng

A. S = 2π.

B. S = 0.

C. S = 4π.

D. S = 3π.

Lời giải:

Đáp án đúng là: A

Ta có 3cos x – 1 = 0 ⇔cosx=13⇔cosx≈cos0,392π

 Tổng các nghiệm thuộc khoảng (0; 2π) của phương trình 3cos x – 1 = 0 bằng

Mà x ∈ (0; 2π) nên x ≈ 0,392π hoặc x ≈ – 0,392π + 2π.

 Vậy tổng các nghiệm cần tìm là S = 0,392π + (– 0,392π + 2π) = 2π.

Giải SBT Toán 11 trang 28

Bài 1.50 trang 28 SBT Toán 11 Tập 1: Giá trị của các hàm số y = sin3x và y = sin x bằng nhau khi và chỉ khi

 Giá trị của các hàm số y = sin3x và y = sin x bằng nhau khi và chỉ khi

Lời giải:

Đáp án đúng là: A

Giá trị của hai hàm số y = sin3x và y = sin x bằng nhau khi và chỉ khi sin 3x = sin x

 Giá trị của các hàm số y = sin3x và y = sin x bằng nhau khi và chỉ khi

B. TỰ LUẬN

Bài 1.51 trang 28 SBT Toán 11 Tập 1: Trên đường tròn lượng giác, xác định điểm M biểu diễn các góc lượng giác có số đo sau và tính các giá trị lượng giác của chúng.

a) 23π4;                          b) 31π6;                          c) – 1 380°.

Lời giải:

a) Ta có 23π4=6π−π4. Góc 23π4 được biểu diễn bởi điểm M22; −22 trên đường tròn lượng giác (hình dưới).

 Trên đường tròn lượng giác xác định điểm M biểu diễn các góc lượng giác có số đo sau

Vậy sin23π4=−22;  cos23π4=22 và tan23π4=cot23π4=−1.

b) Ta có 31π6=7π6+4π. Góс 31π6 được biểu diễn bởi điểm M−32; −12> trên đường tròn lượng giác (hình dưới).

 Trên đường tròn lượng giác xác định điểm M biểu diễn các góc lượng giác có số đo sau

Vậy sin31π6=−12;  cos31π6=−32; tan31π6=13 và cot31π6=3. 

c) Ta có – 1 380° = − 4 . 360° + 60°. Góc –1 380° được biểu diễn bởi điểm M12;  32 trên đường tròn lượng giác (hình dưới).

 Trên đường tròn lượng giác xác định điểm M biểu diễn các góc lượng giác có số đo sau

Vậy sin(– 1 380°) = 32; cos(– 1 380°) = 12; tan(– 1 380°) = 3 và cot(– 1 380°) = 13.

Bài 1.52 trang 28 SBT Toán 11 Tập 1: Kim phút và kim giờ của đồng hồ lớn nhà Bưu điện Thành phố Hà Nội theo thứ tự dài 1,75 m và 1,26 m. Hỏi trong 15 phút, mũi kim phút vạch nên cung tròn có độ dài bao nhiêu mét? Cũng câu hỏi đó cho mũi kim giờ.

Lời giải:

+) Trong 15 phút thì mũi kim phút vạch nên một cung tròn có độ dài bằng 14 độ dài đường tròn, do đó độ dài của cung này bằng

14⋅2π⋅R=14⋅2π⋅1,75=7π8≈2,75  m.

+) Trong 15 phút thì mũi kim giờ vạch nên một cung tròn có độ dài bằng 14⋅112=148 đường tròn, do đó độ dài của cung này bằng

148⋅2π⋅R‘=148⋅2π⋅1,26=21π400≈0,16  m.

Bài 1.53 trang 28 SBT Toán 11 Tập 1: Huyện lị Quản Bạ tỉnh Hà Giang và huyện lị Cái Nước tỉnh Cà Mau cùng nằm ở 105° kinh đông, nhưng Quản Bạ ở 23° vĩ bắc, Cái Nước ở vĩ độ 9° bắc. Hãy tính độ dài cung kinh tuyến nối hai huyện lị đó (khoảng cách theo đường chim bay), coi Trái Đất có bán kính 6 378 km.

Lời giải:

Góc ở tâm chắn cung kinh tuyến nối huyện Quản Bạ tỉnh Hà Giang và huyện Cái Nước tỉnh Cà Mau có số đo bằng 23° – 9° = 14°.

Vậy độ dài cung kinh tuyến đó bằng 6 378⋅14⋅π180≈1 558   km.

Bài 1.54 trang 28 SBT Toán 11 Tập 1: Cho cos α = 34, sin α > 0; sin β = 35, β∈9π2;  5π. Hãy tính cos 2α, sin 2α, cos 2β, sin 2β, cos (α + β), sin (α – β).

Lời giải:

Ta có cos 2α = 2 cos2 α – 1 = 2.342−1=18.

Ta có sin2 α = 1 – cos2 a = 1−342= 716.  

Lại do sin α > 0 nên sin α = 74.

Suy ra sin 2α = 2 sin α cos α = 2.74.34=378.

Ta có cos 2β = 1 – 2 sin2 β = 1−2.352 = 725.

Ta có cos2 β = 1 – sin2 β = 1−352= 1625.

Lại do β∈9π2;  5π nên cos β < 0, do đó cosβ=−45.

Suy ra sin 2β = 2 sin β cos β = 2.35.−45=−2425.

Ta có 

cos(α + β) = cos α cos β – sin α sin β = 34.−45−74.35=−12−3720.

sin(α – β) = sin α cos β – cos α sin β = 74.−45−34.35=−9−4720.

Bài 1.55 trang 28 SBT Toán 11 Tập 1: Rút gọn các biểu thức sau

a) sin45°+α−cos45°+αsin45°+α+cos45°+α;

b) sin2α+sinα1+cos2α+cosα;

c) 1+cosα−sinα1−cosα−sinα;

d) sinα+sin3α+sin5αcosα+cos3α+cos5α.

Lời giải:

a) sin45°+α−cos45°+αsin45°+α+cos45°+α

=sin45°cosα+cos45°sinα−cos45°cosα−sin45°sinαsin45°cosα+cos45°sinα+cos45°cosα−sin45°sinα

=22cosα+22sinα−22cosα−22sinα22cosα+22sinα+22cosα−22sinα

=2sinα2cosα=tanα.

b) sin2α+sinα1+cos2α+cosα

=2sinαcosα+sinα1+2cos2α−1+cosα

=2sinαcosα+12cosαcosα+1

=sinαcosα=tanα.

c) 1+cosα−sinα1−cosα−sinα

=1+2cos2α2−1−2sinα2cosα21−1−2sin2α2−2sinα2cosα2

=2cos2α2−2sinα2cosα22sin2α2−2sinα2cosα2

=2cosα2cosα2−sinα22sinα2sinα2−cosα2

 Rút gọn các biểu thức sau trang 28 SBT Toán 11

=−cosα2sinα2=−cotα2.

d) sinα+sin3α+sin5αcosα+cos3α+cos5α

=sin5α+sinα+sin3αcos5α+cosα+cos3α

=2sin5α+α2cos5α−α2+sin3α2cos5α+α2cos5α−α2+cos3α

=2sin3αcos2α+sin3α2cos3αcos2α+cos3α

=sin3α2cos2α+1cos3α2cos2α+1

=sin3αcos3α=tan3α.

Bài 1.56 trang 28 SBT Toán 11 Tập 1: Chứng minh các biểu thức sau không phụ thuộc vào x:

a) A=sinπ4+x−cosπ4−x;

b) B=cosπ6−x−sinπ3+x;

c) C=sin2x+cosπ3−xcosπ3+x;

d) D=1−cos2x+sin2x1+cos2x+sin2x.cotx.

Lời giải:

a) Cách 1:

A=sinπ4+x−cosπ4−x

=sinπ4cosx+cosπ4sinx−cosπ4cosx+sinπ4sinx

=22cosx+22sinx−22cosx+22sinx=0   ∀x.

Vậy biểu thức A không phụ thuộc vào biến x.

Cách 2:

A=sinπ4+x−cosπ4−x

 Chứng minh các biểu thức sau không phụ thuộc vào x

=sinπ4+x−sinπ4+x=0   ∀x.

Vậy biểu thức A không phụ thuộc vào biến x.

b) B=cosπ6−x−sinπ3+x

 Chứng minh các biểu thức sau không phụ thuộc vào x

=cosπ6−x−cosπ6−x=0  ∀x.

Vậy biểu thức B không phụ thuộc vào biến x.

c) C=sin2x+cosπ3−xcosπ3+x

 Chứng minh các biểu thức sau không phụ thuộc vào x

=sin2x+12cos2π3+cos−2x

=sin2x+12−12+cos2x

 Chứng minh các biểu thức sau không phụ thuộc vào x

=sin2x+1212−2sin2x

=sin2x+14−sin2x=14   ∀x.

Vậy biểu thức C không phụ thuộc vào biến x.

d) D=1−cos2x+sin2x1+cos2x+sin2x.cotx

=1−1−2sin2x+2sinxcosx1+2cos2x−1+2sinxcosx.cotx

=2sin2x+2sinxcosx2cos2x+2sinxcosx.cotx

=2sinxsinx+cosx2cosxcosx+sinx.cotx

=sinxcosx.cotx=tanx.cotx=1   ∀x.

Vậy biểu thức D không phụ thuộc vào biến x.

Giải SBT Toán 11 trang 29

Bài 1.57 trang 29 SBT Toán 11 Tập 1: Hai sóng âm có phương trình lần lượt là

f1(t) = C sin ωt và f2(t) = C sin(ωt + α).

Hai sóng này giao thoa với nhau tạo ra một âm kết hợp có phương trình

f(t) =  f1(t) + f2(t) = C sin ωt + C sin(ωt + α).

a) Sử dụng công thức cộng chỉ ra rằng hàm f(t) có thể viết được dưới dạng f(t) = A sin ωt + B cos ωt, ở đó A, B là hai hằng số phụ thuộc vào α.

b) Khi C = 10 và α=π3, hãy tìm biên độ và pha ban đầu của sóng âm kết hợp, tức là tìm hai hằng số k và φ sao cho f(t) = k sin(ωt + φ).

Lời giải:

a) Ta có f(t) = f1(t) + f­­2(t)

= C sin ωt + C sin(ωt + α)

= C sin ωt + C(sin ωt cos α + cos ωt sin α)

= C sin ωt + C sin ωt cos α + C cos ωt sin α

= C(1 + cos α) sin ωt + C sin α cos ωt.

Vậy f(t) = C(1 + cos α) sin ωt + C sin α cos ωt với A = C(1 + cos α) và B = C sin α.

b) Khi C = 10 và α=π3 ta có

ft=10sinωt+10sinωt+π3

 Hai sóng âm có phương trình lần lượt là f1(t) = C sinωt và f2(t) = C sin(ωt + α)

=10.2sinωt+ωt+π32cosωt−ωt−π32

=20sinωt+π6cos−π6

=103sinωt+π6.

Vậy biên độ và pha ban đầu của sóng âm kết hợp lần lượt là k=103 và φ=π6.

Bài 1.58 trang 29 SBT Toán 11 Tập 1: Tìm tập xác định của các hàm số sau:

a) y=cos2xx−1;

b) y=1cosx−cos3x;

c) y=1cosx+sin2x;

d) y = tan x + cot x.

Lời giải:

a) Biểu thức cos2xx−1 có nghĩa khi x – 1 ≠ 0 hay x ≠ 1.

Vậy tập xác định của hàm số là  Tìm tập xác định của các hàm số sau trang 29 SBT Toán 11.

b) Biểu thức 1cosx−cos3x có nghĩa khi cos x – cos 3x ≠ 0 hay cos x ≠ cos 3x

⇔ 3x ≠ ± x + k2π (k ∈ ℤ) ⇔ x ≠ kπ2(k ∈ ℤ). .

Vậy tập xác định của hàm số là  Tìm tập xác định của các hàm số sau trang 29 SBT Toán 11.

c) Biểu thức 1cosx+sin2x có nghĩa khi cos x + sin 2x ≠ 0 ⇔ cos x ≠ – sin 2x

⇔ cos x ≠ sin (– 2x) ⇔cosx≠cosπ2−−2x ⇔cosx≠cosπ2+2x

 Tìm tập xác định của các hàm số sau trang 29 SBT Toán 11

Vậy tập xác định của hàm số là  Tìm tập xác định của các hàm số sau trang 29 SBT Toán 11.

d) Biểu thức tan x + cot x có nghĩa khi

 Tìm tập xác định của các hàm số sau trang 29 SBT Toán 11

Vậy tập xác định của hàm số là  Tìm tập xác định của các hàm số sau trang 29 SBT Toán 11.

Bài 1.59 trang 29 SBT Toán 11 Tập 1: Tìm giá trị lớn nhất và giá trị nhỏ nhất của p

a) y = sin x – cos x;

b) y = sin x + sinπ3−x;

c) y = sin4 x + cos4 x;

d) y = cos 2x + 2cos x – 1.

Lời giải:

a) Ta có y = sin x – cos x = 2sinx−π4.

Vì −1≤sinx−π4≤1 nên −2≤2sinx−π4≤2, với mọi x∈ℝ.

Vậy giá trị lớn nhất của hàm số là 2, đạt được khi sinx−π4=1

⇔x−π4=π2+k2π  k∈ℤ ⇔x=3π4+k2π  k∈ℤ>.

Giá trị nhỏ nhất của hàm số là −2, đạt được khi sinx−π4=−1

⇔x−π4=−π2+k2π  k∈ℤ ⇔x=−π4+k2π  k∈ℤ.

b) Ta có y = sin x + sinπ3−x =2sinx+π3−x2cosx−π3+x2

=2sinπ6cosx−π6=2.12cosx−π6=cosx−π6.

Ta có −1≤cosx−π6≤1  ∀x∈ℝ.

Vậy giá trị lớn nhất của hàm số là 1, đạt được khi cosx−π6=1⇔x−π6=k2π  k∈ℤ⇔x=π6+k2π  k∈ℤ và giá trị nhỏ nhất của hàm số là – 1, đạt được khi cosx−π6=−1⇔x−π6=π+k2π  k∈ℤ⇔x=7π6+k2π  k∈ℤ.

c) Ta có y = sin4 x + cos4 x = (sin2 x + cos2 x)2 – 2sin2 x cos2 x

= 1 – 2 (sin x cos x)2 = 1−2.sin2x22= 1−12sin22x 

= 1−12.1−cos4x2 = 1−14+14cos4x = 34+14cos4x.

Vì – 1 ≤ cos 4x ≤ 1 nên −14≤14cos4x≤14, do đó 34−14≤34+14cos4x≤34+14

hay 12≤34+14cos4x≤1   ∀x∈ℝ.

Vậy giá trị lớn nhất của hàm số là 1, đạt được khi cos 4x = 1 ⇔ 4x = k2π (k ∈ ℤ)

⇔x=kπ2  k∈ℤ.

Giá trị nhỏ nhất của hàm số là 12, đạt được khi cos 4x = – 1 ⇔ 4x = π + k2π (k ∈ ℤ)

⇔x=π4+kπ2  k∈ℤ.

d) Ta có y = cos 2x + 2cos x − 1

= (2cos2 x – 1) + 2cos x – 1

= 2cos2 x + 2cos x – 2

= 2t2 + 2t – 2 với t = cos x ∈ [– 1; 1].

Xét hàm số y = 2t2 + 2t – 2 trên đoạn [– 1; 1]. Hàm số này có đồ thị như trong hình vẽ dưới đây.

 Tìm giá trị lớn nhất và giá trị nhỏ nhất của p trang 29 SBT Toán 11

Từ đồ thị ở hình trên ta suy ra được giá trị lớn nhất của hàm số đã cho là 2, đạt được khi cos x = 1 ⇔ x = k2π (k ∈ ℤ) và giá trị nhỏ nhất của hàm số là −52, đạt được khi cosx=−12⇔x=±2π3+k2π  k∈ℤ.

Bài 1.60 trang 29 SBT Toán 11 Tập 1: Xét tính chẵn lẻ của các hàm số sau:

a) y = sin3 x – cot x;

b) y=cosx+tan2xcosx;

c) y = sin 2x + cos x;

d) y=2cos3π4+xsinπ4−x.

Lời giải:

a) Tập xác định của hàm số y = sin3 x – cot x là D = ℝ \ {kπ | k ∈ ℤ}.

Nếu kí hiệu f(x) = sin3 x + cot x thì với mọi x ∈ D ta có: – x ∈ D và

f(– x) = sin3 (–x) – cot(– x) = – sin3 x + cot x = –  (sin3 x – cot x) = – f(x).

Vậy hàm số đã cho là hàm số lẻ.

b) Tập xác định của hàm số y=cosx+tan2xcosx là  Xét tính chẵn lẻ của các hàm số sau trang 29 SBT Toán 11

Nếu kí hiệu fx=cosx+tan2xcosx thì với mọi x ∈ D ta có: – x ∈ D và

f−x=cos−x+tan2−xcos−x=cosx+−tanx2cosx=cosx+tan2xcosx=fx

Vậy hàm số đã cho là hàm số chẵn.

c) Tập xác định của hàm số y = sin 2x + cos x là D = ℝ.

Nếu kí hiệu f(x) = sin 2x + cos x thì với mọi x ∈ D ta có: – x ∈ D và

f(– x) = sin [2(– x)] + cos (– x) = – sin 2x + cos x ≠ ± f(x).

Vậy hàm số đã cho là hàm số không chẵn cũng không lẻ.

d) Tập xác định của hàm số y=2cos3π4+xsinπ4−x là D = ℝ.

Ta có y=2cos3π4+xsinπ4−x

 Xét tính chẵn lẻ của các hàm số sau trang 29 SBT Toán 11

=sinπ+sin−π2−2x=0−sinπ2+2x

 Xét tính chẵn lẻ của các hàm số sau trang 29 SBT Toán 11

Nếu kí hiệu fx=2cos3π4+xsinπ4−x=−cos2x thì với mọi x ∈ D ta có: – x ∈ D và f(– x) = – cos (– 2x) = – cos 2x = f(x).

Vậy hàm số đã cho là hàm số chẵn.

Bài 1.61 trang 29 SBT Toán 11 Tập 1: Xét tính tuần hoàn của các hàm số sau:

a) y = sinx2 + cos 3x;

b) y = cos 5x + tanx3.

Lời giải:

a) Hàm số y = sinx2 tuần hoàn với chu kì T1 = 2π12=4π, hàm số y = cos 3x tuần hoàn với chu kì T2 = 2π3. Ta có 4π=6⋅2π3.

Ta chỉ ra rằng hàm số f(x) = = sinx2 + cos 3x tuần hoàn như sau:

fx+4π=sinx+4π2+cos3x+4π

          =sinx2+2π+cos3x+12π

          =sinx2+cos3x=fx   ∀x∈ℝ.

Vậy hàm số đã cho là hàm số tuần hoàn với chu kì T = 4π.

b) Hàm số y = cos 5x tuần hoàn với chu kì T1 = null, hàm số y = tanx3 hoàn với chu kì T2=π13=3π.

Ta có 6π=2×3π=15×2π5.

Ta có thể chỉ ra hàm số f(x) = cos5x + tanx3 tuần hoàn như sau

fx+6π=cos5x+6π+tanx+6π3

          =cos5x+30π+tanx3+2π=cos5x+tanx3=fx  ∀x∈ℝ.

Vậy hàm số đã cho là hàm số tuần hoàn với chu kì T = 6π.

Bài 1.62 trang 29 SBT Toán 11 Tập 1: Giải các phương trình sau:

a) sin3x=−32;

b) tanx3+10°=−13;

c) sin 3x – cos 5x = 0;

d) tan 3x tan x = 1.

Lời giải:

a) Ta có sin3x=−32

⇔sin3x=sin−π3

 Giải các phương trình sau trang 29 SBT Toán 11

b) Ta có tanx3+10°=−13

⇔tanx3+10°=tan−30°

⇔ x3 + 10° = – 30° + k180°  (k ∈ ℤ)

⇔ x = – 120° + k540° (k ∈ ℤ).

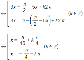
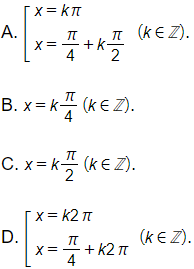
c) Ta có sin 3x – cos 5x = 0

⇔ sin 3x = cos 5x

⇔sin3x=sinπ2−5x

 Giải các phương trình sau trang 29 SBT Toán 11

d) Điều kiện cos 3x ≠ 0 và cos x ≠ 0 ⇔ cos3x ≠ 0 .

Ta có tan 3x tan x = 1

⇔tan3x=1tanx

⇔ tan 3x = cot x

⇔tan3x=tanπ2−x

⇔3x=π2−x+kπ  k∈ℤ

⇔x=π8+kπ4  k∈ℤ.

Ta thấy x=π8+kπ4  k∈ℤ thoả mãn điều kiện.

Vậy nghiệm của phương trình là x=π8+kπ4  k∈ℤ.

Giải SBT Toán 11 trang 30

Bài 1.63 trang 30 SBT Toán 11 Tập 1: Giải các phương trình sau:

a) sin 5x + cos 5x = – 1;

b) cos 3x – cos 5x = sin x;

c) 2 cos2 x + cos 2x = 2;

d) sin4 x + cos4 x = 12sin2 2x.

Lời giải:

a) Ta có sin 5x + cos 5x = – 1

⇔2sin5x+π4=−1

⇔sin5x+π4=−12

⇔sin5x+π4=sin−π4

 Giải các phương trình sau trang 30 SBT Toán 11

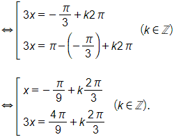
b) Ta có cos 3x – cos 5x = sin x

⇔−2sin3x+5x2sin3x−5x2=sinx

⇔−2sin4xsin−x=sinx

⇔2sin4xsinx−sinx=0

⇔sinx2sin4x−1=0

 Giải các phương trình sau trang 30 SBT Toán 11

+ Với sin x = 0 ta được x = kπ (k ∈ ℤ).

+ Với sin4x=12⇔sin4x=sinπ6

 Giải các phương trình sau trang 30 SBT Toán 11

c) Ta có 2 cos2 x + cos 2x = 2

⇔ (2 cos2 x – 1) + cos 2x = 1

⇔ cos 2x + cos 2x = 1

⇔ 2cos 2x = 1

⇔ cos 2x = 12

⇔ cos 2x = cosπ3

⇔ 2x = ±π3+k2π  k∈ℤ

⇔x=±π6+kπ  k∈ℤ.

d) Ta có sin4 x + cos4 x = 12sin2 2x

⇔sin2x+cos2x2−2sin2xcos2x=12sin22x

⇔1−122sinxcosx2=12sin22x

⇔1−12sin22x=12sin22x

⇔sin22x=1

⇔cos2x=0  (do sin2 2x + cos2 2x = 1)

⇔2x=π2+kπ  k∈ℤ

⇔x=π4+kπ2  k∈ℤ.

Bài 1.64 trang 30 SBT Toán 11 Tập 1: Một thanh xà gồ hình hộp chữ nhật được cắt ra từ một khối gỗ hình trụ có đường kính 30 cm.

a) Chứng minh rằng diện tích mặt cắt của thanh xà gồ được tính bởi công thức

S(θ) = 450 sin 2θ (cm2),

ở đó góc θ được chỉ ra trong hình vẽ dưới đây.

 Một thanh xà gồ hình hộp chữ nhật được cắt ra từ một khối gỗ hình trụ có đường kính 30 cm

b) Tìm góc θ để diện tích mặt cắt của thanh xà gồ là lớn nhất.

Lời giải:

a) Mặt cắt của thanh xà gồ (hình dưới) là hình chữ nhật có hai kích thước là

AB = 30cos θ và BC = 30sin θ.

 Một thanh xà gồ hình hộp chữ nhật được cắt ra từ một khối gỗ hình trụ có đường kính 30 cm

Vậy diện tích mặt cắt là S = AB ∙ BC = 30cos θ ∙ 30sin θ = 450sin 2θ.

b) Vì – 1 ≤ sin 2θ ≤ 1 nên ta có S = 450sin 2θ ≤ 450.

Vậy diện tích mặt cắt của thanh xà gồ lớn nhất khi sin 2θ = 1 hay góc θ = 45°.

Bài 1.65 trang 30 SBT Toán 11 Tập 1: Huyết áp là áp lực cần thiết tác động lên thành của động mạch để đưa máu từ tim đến nuôi dưỡng các mô trong cơ thể. Huyết áp được tạo ra do lực co bóp của cơ tim và sức cản của thành động mạch. Mỗi lần tim đập, huyết áp của chúng ta tăng rồi giảm giữa các nhịp. Huyết áp tối đa và huyết áp tối thiểu gọi là huyết áp tâm thu và tâm trương, tương ứng. Chỉ số huyết áp của chúng ta được viết là tâm thu/tâm trương. Chỉ số huyết áp 120/80 là bình thường. Giả sử một người nào đó có nhịp tim là 70 lần trên phút và huyết áp của người đó được mô hình hóa bởi hàm số

Pt=100+20sin7π3t

ở đó P(t) là huyết áp tính theo đơn vị mmHg (milimét thuỷ ngân) và thời gian t tính theo giây.

a) Trong khoảng từ 0 đến 1 giây, hãy xác định số lần huyết áp là 100 mmHg.

b) Trong khoảng từ 0 đến 1 giây, hãy xác định số lần huyết áp là 120 mmHg

Lời giải:

a) Huyết áp là 100 mmHg khi

Pt=100⇔100+20sin7π3t=100

⇔sin7π3t=0⇔7π3t=kπ  k∈ℤ⇔t=3k7  k∈ℤ.

Xét 0 < t < 1 ⇔0<3k7<1⇔0<k<73. Suy ra k ∈ {1; 2} vì k ∈ ℤ.

Vậy trong khoảng từ 0 đến 1 giây, có 2 lần huyết áp là 100 mmHg.

b) Huyết áp là 120 mmHg khi

Pt=120⇔100+20sin7π3t=120

⇔sin7π3t=1⇔7π3t=π2+k2π  k∈ℤ⇔t=314+6k7  k∈ℤ.

Xét 0 < t < 1 ⇔0<314+6k7<1⇔−14<k<1112. Suy ra k = 0 vì k ∈ ℤ.

Vậy trong khoảng từ 0 đến 1 giây, có 1 lần huyết áp là 120 mmHg.

a) Huyết áp là 100 mmHg khi

Pt=100⇔100+20sin7π3t=100

⇔sin7π3t=0⇔7π3t=kπ  k∈ℤ⇔t=3k7  k∈ℤ.

Xét 0 < t < 1 ⇔0<3k7<1⇔0<k<73. Suy ra k ∈ {1; 2} vì k ∈ ℤ.

Vậy trong khoảng từ 0 đến 1 giây, có 2 lần huyết áp là 100 mmHg.

b) Huyết áp là 120 mmHg khi

Pt=120⇔100+20sin7π3t=120

⇔sin7π3t=1⇔7π3t=π2+k2π  k∈ℤ⇔t=314+6k7  k∈ℤ.

Xét 0 < t < 1 ⇔0<314+6k7<1⇔−14<k<1112. Suy ra k = 0 vì k ∈ ℤ.

Vậy trong khoảng từ 0 đến 1 giây, có 1 lần huyết áp là 120 mmHg.

Xem thêm các bài giải SBT Toán lớp 11 Kết nối tri thức hay, chi tiết khác:

Bài 4: Phương trình lượng giác cơ bản

Bài tập cuối chương 1

Bài 5: Dãy số

Bài 6: Cấp số cộng

Bài 7: Cấp số nhân

Tags : Tags Giải SBT Toán 11
Share
facebookShare on Facebook

Bài liên quan

Giải SGK Toán 11 Bài 12 (Kết nối tri thức): Đường thẳng và mặt phẳng song song

Giải SGK Toán 11 Bài 23 (Kết nối tri thức): Đường thẳng vuông góc với mặt phẳng

Giải SGK Toán 11 (Kết nối tri thức): Bài tập ôn tập cuối năm

Sách bài tập Toán 11 Bài 14 (Kết nối tri thức): Phép chiếu song song

Sách bài tập Toán 11 Bài 27 (Kết nối tri thức): Thể tích

Giải Chuyên đề Toán 11 Kết nối tri thức Bài 5: Phép dời hình

20 câu Trắc nghiệm Hàm số lượng giác (Kết nối tri thức 2025) có đáp án – Toán lớp 11

20 Bài tập Giới hạn của hàm số (sách mới) có đáp án – Toán 11

0 Góp ý
Phản hồi nội tuyến
Xem tất cả bình luận

Mục lục

  1. Giải SGK Toán 11 Bài 1 (Kết nối tri thức): Giá trị lượng giác của góc lượng giác
  2. Giải SGK Toán 11 Bài 2 (Kết nối tri thức): Công thức lượng giác
  3. Giải SGK Toán 11 Bài 3 (Kết nối tri thức): Hàm số lượng giác
  4. Giải SGK Toán 11 Bài 4 (Kết nối tri thức): Phương trình lượng giác cơ bản
  5. Giải SGK Toán 11 (Kết nối tri thức) Bài tập cuối chương 1 trang 40
  6. Giải SGK Toán 11 Bài 5 (Kết nối tri thức): Dãy số
  7. Giải SGK Toán 11 Bài 6 (Kết nối tri thức): Cấp số cộng
  8. Giải SGK Toán 11 Bài 7 (Kết nối tri thức): Cấp số nhân
  9. Giải SGK Toán 11 (Kết nối tri thức) Bài tập cuối chương 2 trang 56
  10. Giải SGK Toán 11 Bài 8 (Kết nối tri thức): Mẫu số liệu ghép nhóm
  11. Giải SGK Toán 11 Bài 9 (Kết nối tri thức): Các số đặc trưng đo xu thế trung tâm
  12. Giải SGK Toán 11 (Kết nối tri thức) Bài tập cuối chương 3 trang 69
  13. Giải SGK Toán 11 Bài 10 (Kết nối tri thức): Đường thẳng và mặt phẳng trong không gian
  14. Giải SGK Toán 11 Bài 11 (Kết nối tri thức): Hai đường thẳng song song
  15. Giải SGK Toán 11 Bài 12 (Kết nối tri thức): Đường thẳng và mặt phẳng song song
  16. Giải SGK Toán 11 Bài 13 (Kết nối tri thức): Hai mặt phẳng song song
  17. Giải SGK Toán 11 Bài 14 (Kết nối tri thức): Phép chiếu song song
  18. Giải SGK Toán 11 (Kết nối tri thức): Bài tập cuối chương 4
  19. Giải SGK Toán 11 Bài 15 (Kết nối tri thức): Giới hạn của dãy số
  20. Giải SGK Toán 11 Bài 16 (Kết nối tri thức): Giới hạn của hàm số

Copyright © 2026 Học tập lớp 12 - Sách Toán - Học Tập AI
  • Sitemap
  • Chính sách
  • Giới thiệu
  • Hướng dẫn
  • Kết quả
  • Liên hệ
Back to Top
Menu
  • Sitemap
  • Chính sách
  • Giới thiệu
  • Hướng dẫn
  • Kết quả
  • Liên hệ
wpDiscuz