Skip to content

Học tập lớp 12

  • Trắc nghiệm Holland
  • Tính điểm xét tuyển
  • Danh sách trường Đại học
  • Kết quả bài thi

Học tập lớp 12

  • Home » 
  • Toán lớp 11

Sách bài tập Toán 11 Bài 33 (Kết nối tri thức): Đạo hàm cấp hai

By Admin Lop12.com 23/02/2026 0

Giải SBT Toán lớp 11 Bài 33: Đạo hàm cấp hai

Giải SBT Toán 11 trang 62

Bài 9.17 trang 62 SBT Toán 11 Tập 2: Tính đạo hàm cấp hai của các hàm số sau:

a) y=x44−2x2+1 ;

b) y=2x+1x−1 .

Lời giải:

a) Có y‘=x44−2x2+1‘ = x3 – 4x.

Có y” = (x3 – 4x)’ = 3x2 – 4.

Vậy y” = 3x2 – 4.

b) y‘=2x+1x−1‘=2x+1‘⋅x−1−2x+1⋅x−1‘x−12

=2⋅x−1−2x+1x−12=−3x−12.

Tính đạo hàm cấp hai của các hàm số sau x^4/4 - 2x^2 + 1

Vậy y”=6x−13.

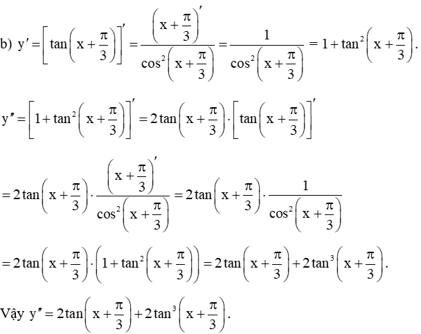
Bài 9.18 trang 62 SBT Toán 11 Tập 2: Tính đạo hàm cấp hai của các hàm số sau:

a) y = ln|2x – 1|;

b) y = tanx+π3.

Lời giải:

a) y’ = (ln|2x – 1|)’ = 2x−1‘2x−1 =22x−1.

y”=22x−1‘=2⋅−22x−12=−42x−12.

Vậy y”=−42x−12 .

Tính đạo hàm cấp hai của các hàm số sau y = |ln(2x-1)|

Bài 9.19 trang 62 SBT Toán 11 Tập 2: Cho hàm số f(x) = xex2 + ln(x+1). Tính f'(0) và f”(0).

Lời giải:

Có f'(x) = (xex2+ ln(x+1))’ = (xex2)’ + (ln(x+1))’

=ex2+xex2⋅x2‘+1x+1.

=ex2+2x2ex2+1x+1.

f”x=ex2+2x2ex2+1x+1‘=ex2‘+2x2ex2‘+1x+1‘

=2xex2+4xex2+4x3ex2−1x+12=6xex2+4x3ex2−1x+12

Khi đó f‘0=e02+2⋅0⋅e02+10+1=2 ;

f”0=6⋅0⋅e02+4⋅03e02−10+12=−1.

Vậy f'(0) = 2 và f”(0) = −1.

Bài 9.20 trang 62 SBT Toán 11 Tập 2: Cho f(x) = (x2 + a)2 + b (a, b là tham số). Biết f(0) = 2 và f”(1) = 8, tìm a và b.

Lời giải:

Vì f(0) = 2 nên (02 + a)2 + b = 2 ⇔ a2 + b = 2. (1)

Có f'(x) = 2(x2 + a).(x2 + a)’ = 4x.(x2 + a); f”(x) = 4.(x2 + a) + 8x2.

Mà f”(1) = 8 nên 4.(12 + a) + 8.12 = 8 ⇔ a + 1 = 0 ⇔ a = −1.

Thay a = −1 vào (1), ta được (−1)2 + b = 2 ⇔ b = 1.

Vậy a = −1; b = 1.

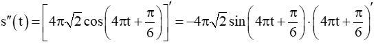
Bài 9.21 trang 62 SBT Toán 11 Tập 2: Phương trình chuyển động của một hạt được cho bởi công thức st=15+2sin4πt+π6, trong đó s tính bằng centimét và t tính bằng giây. Tính gia tốc của hạt tại thời điểm t = 3 giây (làm tròn kết quả đến chữ số thập phân thứ nhất).

Lời giải:

Có Phương trình chuyển động của một hạt được cho bởi công thức

=4π2cos4πt+π6.

Phương trình chuyển động của một hạt được cho bởi công thức

=−16π22sin4πt+π6.

Gia tốc của hạt tại thời điểm t = 3 giây là

a(3) = s”3=−16π22sin12π+π6=−8π22≈−111,7 m/s2.

Vậy gia tốc của hạt tại thời điểm t = 3 giây khoảng – 111,7 m/s2.

Xem thêm các bài giải SBT Toán 11 Kết nối tri thức hay, chi tiết khác:

Bài tập cuối chương 8

Bài 31: Định nghĩa và ý nghĩa của đạo hàm

Bài 32: Các quy tắc tính đạo hàm

Bài 33: Đạo hàm cấp hai

Bài tập cuối chương 9

Bài tập ôn tập cuối năm

Lý thuyết Đạo hàm cấp hai

1. Khái niệm đạo hàm cấp hai

Giả sử hàm số y = f(x) có đạo hàm tại mỗi điểm x∈(a;b). Nếu hàm số y’ = f’(x) lại có đạo hàm tại x thì ta gọi đạo hàm của y’ là đạo hàm cấp hai của hàm số y = f(x) tại x, kí hiệu là y” hoặc f”(x).

f″(x)=(f′(x))′.

2. Ý nghĩa cơ học của đạo hàm cấp hai

Một chuyển động có phương trình s = f(t) thì đạo hàm cấp hai (nếu có) của hàm số f(t) là gia tốc tức thời của chuyển động. Ta có:

a(t)=f″(t).

Tags : Tags Giải SBT Toán 11
Share
facebookShare on Facebook

Bài liên quan

Giải SGK Toán 11 Bài 12 (Kết nối tri thức): Đường thẳng và mặt phẳng song song

Giải SGK Toán 11 Bài 23 (Kết nối tri thức): Đường thẳng vuông góc với mặt phẳng

Giải SGK Toán 11 (Kết nối tri thức): Bài tập ôn tập cuối năm

Sách bài tập Toán 11 Bài 13 (Kết nối tri thức): Hai mặt phẳng song song

Sách bài tập Toán 11 Bài 26 (Kết nối tri thức): Khoảng cách

Giải Chuyên đề Toán 11 Kết nối tri thức Bài 5: Phép dời hình

20 câu Trắc nghiệm Hàm số lượng giác (Kết nối tri thức 2025) có đáp án – Toán lớp 11

20 Bài tập Giới hạn của hàm số (sách mới) có đáp án – Toán 11

0 Góp ý
Phản hồi nội tuyến
Xem tất cả bình luận

Mục lục

  1. Giải SGK Toán 11 Bài 1 (Kết nối tri thức): Giá trị lượng giác của góc lượng giác
  2. Giải SGK Toán 11 Bài 2 (Kết nối tri thức): Công thức lượng giác
  3. Giải SGK Toán 11 Bài 3 (Kết nối tri thức): Hàm số lượng giác
  4. Giải SGK Toán 11 Bài 4 (Kết nối tri thức): Phương trình lượng giác cơ bản
  5. Giải SGK Toán 11 (Kết nối tri thức) Bài tập cuối chương 1 trang 40
  6. Giải SGK Toán 11 Bài 5 (Kết nối tri thức): Dãy số
  7. Giải SGK Toán 11 Bài 6 (Kết nối tri thức): Cấp số cộng
  8. Giải SGK Toán 11 Bài 7 (Kết nối tri thức): Cấp số nhân
  9. Giải SGK Toán 11 (Kết nối tri thức) Bài tập cuối chương 2 trang 56
  10. Giải SGK Toán 11 Bài 8 (Kết nối tri thức): Mẫu số liệu ghép nhóm
  11. Giải SGK Toán 11 Bài 9 (Kết nối tri thức): Các số đặc trưng đo xu thế trung tâm
  12. Giải SGK Toán 11 (Kết nối tri thức) Bài tập cuối chương 3 trang 69
  13. Giải SGK Toán 11 Bài 10 (Kết nối tri thức): Đường thẳng và mặt phẳng trong không gian
  14. Giải SGK Toán 11 Bài 11 (Kết nối tri thức): Hai đường thẳng song song
  15. Giải SGK Toán 11 Bài 12 (Kết nối tri thức): Đường thẳng và mặt phẳng song song
  16. Giải SGK Toán 11 Bài 13 (Kết nối tri thức): Hai mặt phẳng song song
  17. Giải SGK Toán 11 Bài 14 (Kết nối tri thức): Phép chiếu song song
  18. Giải SGK Toán 11 (Kết nối tri thức): Bài tập cuối chương 4
  19. Giải SGK Toán 11 Bài 15 (Kết nối tri thức): Giới hạn của dãy số
  20. Giải SGK Toán 11 Bài 16 (Kết nối tri thức): Giới hạn của hàm số

Copyright © 2026 Học tập lớp 12 - Sách Toán - Học Tập AI
  • Sitemap
  • Chính sách
  • Giới thiệu
  • Hướng dẫn
  • Kết quả
  • Liên hệ
Back to Top
Menu
  • Sitemap
  • Chính sách
  • Giới thiệu
  • Hướng dẫn
  • Kết quả
  • Liên hệ
wpDiscuz