Skip to content

Học tập lớp 12

  • Trắc nghiệm Holland
  • Tính điểm xét tuyển
  • Danh sách trường Đại học
  • Kết quả bài thi

Học tập lớp 12

  • Home » 
  • Toán lớp 11

Giải SGK Toán 11 (Kết nối tri thức): Bài tập ôn tập cuối năm

By Admin Lop12.com 23/02/2026 0

Giải bài tập Toán lớp 11 Bài tập ôn tập cuối năm

A. Trắc nghiệm

Giải Toán 11 trang 105 Tập 2

Bài 1 trang 105 Toán 11 Tập 2:Khẳng định nào sau đây là sai?

A.cos(α + β) = cosαcosβ + sinαsinβ.

B. sinπ2+α=cosα.

C. sin(α + β) = sinαcosβ + cosαsinβ.

D. cos2α = cos2α − sin2α.

Lời giải:

Đáp án đúng là: A

Ta có: cos(α + β) = cosαcosβ − sinαsinβ nên đáp án A sai.

Bài 2 trang 105 Toán 11 Tập 2: Khẳng định nào sau đây là đúng?

A. Hàm số y = sinx tuần hoàn với chu kì π.

B. Hàm số y = cosx tuần hoàn với chu kì 2π.

C. Hàm số y = tanx tuần hoàn với chu kì 2π.

D. Hàm số y = cotx tuần hoàn với chu kì 2π.

Lời giải:

Đáp án đúng là: B

Hàm số y = sinx; y = cosx tuần hoàn với chu kì 2π.

Hàm số y = tanx; y = cotx tuần hoàn với chu kì π.

Bài 3 trang 105 Toán 11 Tập 2: Cho dãy số (un) với un = 5n. Số hạng u2n bằng

A. 2.5n.

B. 25n.

C. 10n.

D. 5n2.

Lời giải:

Đáp án đúng là: B

Ta có u2n = 52n = (52)n = 25n.

Bài 4 trang 105 Toán 11 Tập 2: Dãy số (un) cho bởi công thức số hạng tổng quát nào dưới đây là dãy số tăng?

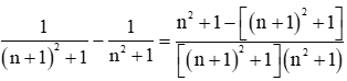
A. un=1n2+1.

B. un=2−n.

C. un=log12n.

D. un=nn+1.

Lời giải:

Đáp án đúng là: D

+) un=1n2+1.

Xét un + 1 – un = Bài 4 trang 105 Toán 11 Tập 2 | Kết nối tri thức Giải Toán 11

Bài 4 trang 105 Toán 11 Tập 2 | Kết nối tri thức Giải Toán 11, với mọi n ∈ ℕ*.

Do đó un=1n2+1là dãy số giảm.

+) un=2−n. Ta có un=2−n>0,∀n∈ℕ*.

Xét un+1un=2−(n+1)2−n=2−(n+1)+n=2−1=12<1.

Do đó un=2−n là dãy số giảm.

+) un=log12n.

Có a = 12nên un=log12nluôn nghịch biến với n ∈ ℕ*.

Do đó un=log12n là dãy số giảm.

+) un=nn+1.

Xét un + 1 – un = n+1n+2−nn+1 =n+12−nn+2n+2n+1 =1n+2n+1>0, với mọi n ∈ ℕ*.

Do đóun=nn+1là dãy số tăng.

Bài 5 trang 105 Toán 11 Tập 2: Khẳng định nào sau đây là sai?

A. Nếu limx→x0fx=L≥0thì limx→x0fx=L.

B. limx→0−1x=−∞.

C. Nếu |q| ≤ 1 thì limn→+∞qn=0.

D. limn→+∞sinnn+1=0.

Lời giải:

Đáp án đúng là: C

+) Theo quy tắc tìm giới hạn thì: Nếu limx→x0fx=L≥0thì limx→x0fx=Lnên A đúng.

+) limx→0−1x=−∞nên B đúng.

+) Nếu |q| < 1 thì limn→+∞qn=0, nếu |q| = 1 thì q = 1 hoặc q = – 1, do đó qn = 1 hoặc qn = – 1.

Vậy C sai.

+) Ta có Bài 5 trang 105 Toán 11 Tập 2 | Kết nối tri thức Giải Toán 11mà limn→+∞1n+1=0suy ra limn→+∞sinnn+1=0nên D đúng.

Bài 6 trang 105 Toán 11 Tập 2:Hàm số nào dưới đây không liên tục trên ℝ?

A. y = tanx.

B. y=2x2+3x−1x2+1 .

C. y = sinx.

D. y = |x|.

Lời giải:

Đáp án đúng là: A

Các hàm số y=2x2+3x−1x2+1; y = sinx; y = |x| đều liên tục trên ℝ.

Hàm số y = tanx có tập xác định là ℝ\Bài 6 trang 105 Toán 11 Tập 2 | Kết nối tri thức Giải Toán 11 nên hàm số y = tanx không liên tục trên ℝ.

Bài 7 trang 105 Toán 11 Tập 2: Cho 0 < a ≠ 1. Giá trị của biểu thức logaa3⋅a4+a3loga8 bằng

A. 194 .

B. 9.

C. 214 .

D. 4712 .

Lời giải:

Đáp án đúng là: C

Ta có logaa3⋅a4+a3loga8=logaa3⋅a14+a13loga8

=logaa134+a13loga23=134+a13⋅3loga2=134+aloga2=134+2=214.

Bài 8 trang 105 Toán 11 Tập 2: Cho đồ thị ba hàm số mũ y = ax, y = bx và y = cx như trong hình vẽ dưới đây. Khẳng định nào sau đây là đúng?

Bài 8 trang 105 Toán 11 Tập 2 | Kết nối tri thức Giải Toán 11

A. a > c > b.

B. b > a > c.

C. c > a > b.

D. c > b > a.

Lời giải:

Đáp án đúng là: C

Hàm số y = bx có đồ thị đi xuống từ trái sang phải nên hàm số này nghịch biến, từ đó suy ra 0 < b < 1.

Hàm số y = ax và y = cx đồng biến (do đồ thị của các hàm số này đều đi lên từ trái sang phải) nên a, c > 1.

Với x > 0 thì cx > ax nên c > a. Vậy c > a > b.

Giải Toán 11 trang 106 Tập 2

Bài 9 trang 106 Toán 11 Tập 2: Nếu f(x) = sin2x + xe2x thì f”(0) bằng

A. 4.

B. 5.

C. 6.

D. 0.

Lời giải:

Đáp án đúng là: C

Ta có f'(x) = 2sinxcosx + e2x + 2xe2x = sin2x + e2x + 2xe2x;

f”(x) = 2cos2x + 2e2x + 2e2x + 4xe2x = 2cos2x + 4e2x + 4xe2x .

Ta có f”(0) = 2cos0 + 4 = 2 + 4 = 6.

Bài 10 trang 106 Toán 11 Tập 2: Phương trình tiếp tuyến của đồ thị hàm số y = −2x3 + 6x2 – 5 tại điểm M(3; −5) thuộc đồ thị là

A. y = 18x + 49.

B. y = 18x − 49.

C. y = −18x − 49.

D. y = −18x + 49.

Lời giải:

Đáp án đúng là: D

Ta có y’ = −6x2 + 12x, y'(3) = −18.

Phương trình tiếp tuyến của đồ thị hàm số y = −2x3 + 6x2 – 5 tại điểm M(3; −5) là

y = −18(x – 3) – 5 hay y = −18x + 49.

Bài 11 trang 106 Toán 11 Tập 2: Cho hình chóp S.ABC có đáy ABC là tam giác đều cạnh a và SA ⊥ (ABC), SA = a2. Khoảng cách từ A đến mặt phẳng (SBC) bằng

A. 6a11 .

B. a6611 .

C. a611 .

D. a1111 .

Lời giải:

Đáp án đúng là: B

Bài 11 trang 106 Toán 11 Tập 2 | Kết nối tri thức Giải Toán 11

Kẻ AD ⊥ BC tại D.

Vì SA ⊥ (ABC) nên SA ⊥ BC mà AD ^ BC nên BC ⊥ (SAD), suy ra (SBC) ⊥ (SAD).

Kẻ AF ⊥ SD tại F.

Vì (SBC) ⊥ (SAD), (SBC) ∩ (SAD) = SD, AF ⊥ SD nên AF ⊥ (SBC).

Suy ra d(A, (SBC)) = AF.

Vì tam giác ABC đều cạnh a, AD là đường cao nên AD = a32 .

Vì SA ⊥ (ABC) nên SA ⊥ AD hay tam giác SAD vuông tại A.

Xét tam giác SAD vuông tại A, AF là đường cao nên ta có

=1SA2+1AD2=12a2+43a21AF2⇒AF=66a11 .

Vậy d(A, (SBC)) = 66a11 .

Bài 12 trang 106 Toán 11 Tập 2: Cho hình hộp ABCD.A’B’C’D’ có đáy ABCD là hình chữ nhật. Biết AC = AA’ = 2a. Giá trị lớn nhất của thể tích hình hộp ABCD.A’B’C’D’ bằng

A. 8a3.

B. 6a3.

C. 4a3.

D. a3.

Lời giải:

Đáp án đúng là: C

Bài 12 trang 106 Toán 11 Tập 2 | Kết nối tri thức Giải Toán 11

Xét tam giác ABC vuông tại B, có AC2 = AB2 + BC2.

Ta có SABCD = AB . BC ≤ AB2+BC22=AC22=2a2 . Dấu “=” xảy ra khi AB = BC.

Gọi H là hình chiếu của A’ trên mặt phẳng (ABCD). Khi đó A’H ⊥ (ABCD). Khi đó AH là hình chiếu của AA’ trên mặt phẳng (ABCD).

Gọi α là góc tạo bởi đường thẳng AA’ và mặt phẳng (ABCD). Khi đó α=A‘AH^ .

Xét tam giác A’AH vuông tại H có A’H = AA’ . sinα ≤ AA’ = 2a.

Dấu bằng xảy ra khi α = 90° hay AA’ ⊥ (ABCD).

Do đó VABCD.A’B’C’D’ = SABCD . A’H ≤ 2a2 . 2a = 4a3.

Vậy giá trị lớn nhất của thể tích hình hộp ABCD.A’B’C’D’ bằng 4a3.

Bài 13 trang 106 Toán 11 Tập 2: Cho tứ diện đều ABCD có cạnh bằng a. Gọi M, N lần lượt là trung điểm của cạnh AC và cạnh AD. Thể tích khối chóp B.CMND bằng

A. a3212 .

B. a3216 .

C. a3224 .

D. a328 .

Lời giải:

Đáp án đúng là: B

Bài 13 trang 106 Toán 11 Tập 2 | Kết nối tri thức Giải Toán 11

Gọi G là tâm của tam giác BCD. Vì tứ diện ABCD đều nên G là trọng tâm đồng thời là trực tâm của tam giác BCD và AG ⊥ (BCD).

Kẻ BG cắt CD tại P, suy ra P là trung điểm của CD và BG = 23BP .

Xét tam giác BCD đều cạnh a có BP là đường cao nên BP = a32 , suy ra BG = a33 .

Xét tam giác ABG vuông tại G, có AG = AB2−BG2=a2−a23=a63 .

Vì tam giác BCD đều cạnh a nên SBCD=a234 .

Ta có VABCD=13⋅SBCD⋅AG=13⋅a234⋅a63=a3212 .

Vì M, N lần lượt là trung điểm của cạnh AC và cạnh AD nên AMAC=ANAD=12 .

Có VA.BMNVA.BCD=ABAB⋅AMAC⋅ANAD=1⋅12⋅12=14⇒VA.BMN=14VA.BCD .

Mà VA.BMN + VB.CMND = VABCD nên VB.CMND=34VABCD=34⋅a3212=a3216.

Bài 14 trang 106 Toán 11 Tập 2: Cho lăng trụ tam giác đều ABC.A’B’C’ có AB = 1; AA’ = 2. Thể tích khối lăng trụ ABC.A’B’C’ bằng

A. 32 .

B. 36 .

C. 34 .

D. 38 .

Lời giải:

Đáp án đúng là: A

Bài 14 trang 106 Toán 11 Tập 2 | Kết nối tri thức Giải Toán 11

Vì ABC.A’B’C’ là lăng trụ tam giác đều nên AA’ ⊥ (ABC) và tam giác ABC đều có cạnh bằng 1 nên SABC=34 .

Do đó VABC.A‘B‘C‘=SABC⋅AA‘=34⋅2=32 .

Bài 15 trang 106 Toán 11 Tập 2: Cho hình lập phương ABCD.A’B’C’D’ có AC’ = 3 . Khoảng cách giữa hai đường thẳng AB’ và BC’ bằng

A. 13 .

B. 33 .

C. 32 .

D. 12 .

Lời giải:

Đáp án đúng là: B

Bài 15 trang 106 Toán 11 Tập 2 | Kết nối tri thức Giải Toán 11

Gọi O là giao điểm của AC và BD. Vì ABCD là hình vuông nên O là trung điểm của AC, BD và AC ⊥ BD.

Có AD // B’C’ và AD = B’C’ (vì cùng song song và bằng BC) nên ADC’B’ là hình bình hành, suy ra AB’ // DC’. Do đó AB’ // (BDC’).

Khi đó d(AB’, BC’) = d(AB’, (BDC’)) = d(A, (BDC’)) = d(C, (BDC’)) .

Giả sử hình lập phương ABCD.A’B’C’D’ có cạnh là a.

Xét tam giác ABC vuông tại B có AC=AB2+BC2=a2+a2=a2 .

Vì CC’ ⊥ (ABCD) nên CC’ ⊥ AC hay tam giác ACC’ vuông tại C.

Xét tam giác ACC’ vuông tại C, có AC‘2=AC2+CC‘2⇔3=2a2+a2⇒a=1 .

Do đó hình lập phương ABCD.A’B’C’D’ có cạnh là 1 nên AC = 2 .

Vì O là trung điểm của AC nên CO = 22 .

Có AC ⊥ BD, BD ⊥ AA’ (do AA’ ⊥ (ABCD)), suy ra BD ⊥ (ACC’A’) mà BD ⊂ (BDC’) nên (BDC’) ⊥ (ACC’A’) .

Kẻ CE ⊥ C’O tại E.

Vì (BDC’) ⊥ (ACC’A’), (BDC’) ∩ (ACC’A’) = C’O mà CE ⊥ C’O nên CE ⊥ (BDC’).

Khi đó d(C, (BDC’)) = CE.

Xét tam giác C’CO vuông tại C, CE là đường cao có:

1CE2=1CC‘2+1CO2=11+1222=3⇒CE2=13⇒CE=33.

Vậy d(AB’, BC’) =33 .

Bài 16 trang 106 Toán 11 Tập 2: Cho mẫu số liệu ghép nhóm về thu nhập của các công nhân tại một doanh nghiệp lớn:

Mức thu nhập (triệu đồng/tháng)

[0; 5)

[5; 10)

[10; 15)

[15; 20)

[20; 25)

Số công nhân

7

18

35

57

28

Nhóm chứa trung vị là

A. [5; 10).

B. [10; 15).

C. [15; 20).

D. [20; 25).

Lời giải:

Đáp án đúng là: C

Cỡ mẫu là n = 7 + 18 + 35 + 57 + 28 = 145.

Giả sử x1; x2; …; x145 là mức thu nhập của 145 công nhân được sắp xếp theo thứ tự tăng dần. Khi đó trung vị là x73 mà x73 thuộc nhóm [15; 20). Vậy nhóm chứa trung vị là [15; 20).

Bài 17 trang 106 Toán 11 Tập 2: Cho mẫu số liệu ghép nhóm về thu nhập của các công nhân tại một doanh nghiệp lớn:

Mức thu nhập (triệu đồng/tháng)

[0; 5)

[5; 10)

[10; 15)

[15; 20)

[20; 25)

Số công nhân

7

18

35

57

28

Nhóm chứa mốt là

A. [5; 10).

B. [10; 15).

C. [15; 20).

D. [20; 25).

Lời giải:

Đáp án đúng là: C

Tần số lớn nhất là 57 nên nhóm chứa mốt là [15; 20).

Bài 18 trang 106 Toán 11 Tập 2:Vận động viên Tùng thi bắn súng. Biết rằng xác suất để Tùng bắn trúng vòng 10 là 0,2. Mỗi vận động viên được bắn hai lần và hai lần bắn là độc lập. Vận động viên đạt huy chương vàng nếu cả hai lần bắn trúng vòng 10. Xác suất để vận động viên Tùng đạt huy chương vàng là

A. 0,04.

B. 0,035.

C. 0,05.

D. 0,045.

Lời giải:

Đáp án đúng là: A

Gọi biến cố A: “Lần thứ nhất Tùng bắn trúng vòng 10”;

Biến cố B: “Lần thứ hai Tùng bắn trúng vòng 10”.

Biến cố C: “Tùng đạt huy chương vàng”.

Theo đề có P(A) = 0,2; P(B) = 0,2.

Ta có C = AB. Vì A, B là độc lập nên P(C) = P(A) . P(B) = 0,2 . 0,2 = 0,04.

Vậy xác suất để Tùng đạt huy chương vàng là 0,04.

Giải Toán 11 trang 107 Tập 2

Bài 19 trang 107 Toán 11 Tập 2: Hai bạn Sơn và Tùng, mỗi người gieo một con xúc xắc. Xác suất để số chấm xuất hiện trên cả hai con xúc xắc của Sơn và Tùng lớn hơn 1 là

A. 34 .

B. 2536 .

C. 2635 .

D. 2837 .

Lời giải:

Đáp án đúng là: B

Gọi biến cố A: “Số chấm xuất hiện trên cả hai con xúc xắc của Sơn và Tùng lớn hơn 1”.

Khi đó ta có A = {(a,b)|a,b∈{2;3;4;5;6}}. Ta có n(A) = 25; n(Ω) = 36.

P(A) = nAnΩ=2536 .

Vậy xác suất để số chấm xuất hiện trên cả hai con xúc xắc của Sơn và Tùng lớn hơn 1 là 2536 .

Bài 20 trang 107 Toán 11 Tập 2: Hai bạn An và Bình tham gia một trò chơi độc lập với nhau. Xác suất để An và Bình giành giải thưởng tương ứng là 0,8 và 0,6. Xác suất để có ít nhất một bạn giành giải thưởng là

A. 0,94.

B. 0,924.

C. 0,92.

D. 0,93.

Lời giải:

Đáp án đúng là: C

Gọi biến cố A: “An giành được giải thưởng”;

Biến cố B: “Bình giành được giải thưởng”;

A ∪ B: “Có ít nhất một bạn được giải”

Theo đề có P(A) = 0,8; P(B) = 0,6.

Vì A, B độc lập nên ta có: P(AB) = P(A).P(B) = 0,8 . 0,6 = 0,48.

Ta có P(A ∪ B) = P(A) + P(B) – P(AB) = 0,8 + 0,6 – 0,48 = 0,92.

Vậy xác suất để có ít nhất một bạn giành giải là 0,92.

B. Tự luận

Bài 21 trang 107 Toán 11 Tập 2: Rút gọn các biểu thức sau:

a) A=1−2sin2x1+sin2x−1−tanx1+tanx ;

b) B=sin4x1+cos4x⋅cos2x1+cos2x−cot3π2−x ;

c) C=2cos4x−sin4xsin2x .

Lời giải:

a) A=1−2sin2x1+sin2x−1−tanx1+tanx

=sin2x+cos2x−2sin2xsin2x+cos2x+2sinxcosx−1−sinxcosx1+sinxcosx

=cos2x−sin2xsinx+cosx2−cosx−sinxcosx+sinx

=cosx−sinxcosx+sinxsinx+cosx2−cosx−sinxcosx+sinx

=cosx−sinxsinx+cosx−cosx−sinxcosx+sinx=0.

b) B=sin4x1+cos4x⋅cos2x1+cos2x−cot3π2−x

=2sin2xcos2x2cos22x⋅cos2x2cos2x−cotπ+π2−x (áp dụng công thức góc nhân đôi)

=2sinxcosx2cos2x−cotπ2−x

=sinxcosx−tanx = tan x – tan x = 0.

c) C=2cos4x−sin4xsin2x

=2cos2x−sin2xcos2x+sin2xsin2x

= cos2xsin2x = sin4x.

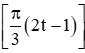
Bài 22 trang 107 Toán 11 Tập 2: Mùa xuân ở hội Lim (tỉnh Bắc Ninh) thường có trò chơi đu. Khi người chơi đu nhún cây đu sẽ đưa người chơi dao động qua lại quanh vị trí cân bằng. Giả sử khoảng cách h (tính bằng mét) từ người chơi đu đến vị trí cân bằng được tính theo thời gian t (t ≥ 0 và được tính bằng giây) bởi hệ thức h = |d| với d = 3cosBài 22 trang 107 Toán 11 Tập 2 | Kết nối tri thức Giải Toán 11 , trong đó ta quy ước rằng d > 0 khi vị trí cân bằng ở về phía sau lưng người chơi đu và d < 0 trong trường hợp ngược lại.

a) Tìm các thời điểm trong vòng 2 giây đầu tiên mà người chơi đu ở xa vị trí cân bằng nhất.

b) Tìm các thời điểm trong vòng 2 giây đầu tiên mà người chơi đu cách vị trí cân bằng 2 m (tính chính xác đến 0,01 giây).

Bài 22 trang 107 Toán 11 Tập 2 | Kết nối tri thức Giải Toán 11

Lời giải:

a) Ta có h = |d| = 3Bài 22 trang 107 Toán 11 Tập 2 | Kết nối tri thức Giải Toán 11.

Vậy người chơi đu ở xa vị trí cân bằng nhất khi và chỉ khi cosBài 22 trang 107 Toán 11 Tập 2 | Kết nối tri thức Giải Toán 11 = ±1

sinBài 22 trang 107 Toán 11 Tập 2 | Kết nối tri thức Giải Toán 11 = 0 ⇔π32t−1=kπ⇔t=12+32k, k ∈ ℤ.

Mà t ∈ [0; 2] nên 0≤12+32k≤2⇒−13≤k≤1 , mà k ∈ ℤ nên k = 0; k = 1.

Với k = 0 thì t = 12 (giây), k = 1 thì t = 2 (giây).

Vậy có 2 thời điểm t = 12 giây và t = 2 giây người chơi đu ở xa vị trí cân bằng nhất.

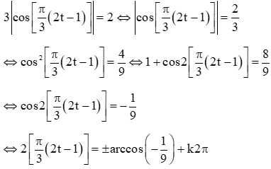
b) Người chơi cách vị trí cân bằng 2m tức là h = 2 m.

Khi đó

Bài 22 trang 107 Toán 11 Tập 2 | Kết nối tri thức Giải Toán 11

⇔4π3t=2π3±arccos−19+k2π

⇔t=12±34πarccos−19+32k, k ∈ ℤ.

Mà t ∈ [0; 2] nên 0≤12±34πarccos−19+32k≤2 .

Trường hợp 1: 0≤12+34πarccos−19+32k≤2 ⇔−0,6≤k≤0,73 mà k ∈ ℤ nên k = 0.

Với k = 0 thì t=12+34πarccos−19+32⋅0≈0,9 (giây).

Trường hợp 2: 0≤12−34πarccos−19+32k≤2

⇔−0,07≤k≤1,27 mà k ∈ ℤ nên k = 0; k = 1.

Với k = 0 thì t=12−34πarccos−19+32⋅0≈0,1 (giây).

Với k = 1 thì t=12−34πarccos−19+32⋅1≈1,6 (giây).

Vậy có 3 thời điểm t ≈ 0,9 giây, t ≈ 0,1 giây và t ≈ 1,6 giây người chơi đu cách vị trí cân bằng 2 m.

Bài 23 trang 107 Toán 11 Tập 2: Cho cấp số nhân (un) biết rằng ba số u1, u4 và u7 lần lượt là các số hạng thứ nhất, thứ hai và thứ mười của một cấp số cộng có công sai d ≠ 0. Hãy tìm công bội q của cấp số nhân đó.

Lời giải:

Vì q là công bội của cấp số nhân (un) nên ta có: u4 = u1.q3 và u7 = u1.q6.

Vì u1, u4 và u7 lần lượt là các số hạng thứ nhất, thứ hai và thứ mười của một cấp số cộng có công sai d ≠ 0 nên u4 = u1 + d; u7 = u1 + 9d.

Ta có hệ Bài 23 trang 107 Toán 11 Tập 2 | Kết nối tri thức Giải Toán 11

Vì d ≠ 0 nên 19=u1⋅q3−1u1⋅q6−1⇔19=q3−1q32−1

⇔19=q3−1q3−1q3+1⇔q3+1=9⇔q3=8⇔q=2.

Vậy q = 2.

Bài 24 trang 107 Toán 11 Tập 2: Một công ty đề xuất kí hợp đồng với một người lao động theo một trong hai loại hợp đồng sau:

Hợp đồng A: Lương 200 triệu đồng cho năm đầu tiên và sau mỗi năm tăng thêm 10 triệu đồng.

Hợp đồng B: Lương 180 triệu đồng cho năm đầu tiên và sau mỗi năm tăng thêm 5%.

Kí hiệu un, vn tương ứng là lương nhận được (triệu đồng) của năm thứ n ứng với các hợp đồng A và B.

a) Tính u2, u3 và un theo n. Nếu người lao động đó làm việc cho công ty trong thời gian 5 năm theo hợp đồng A thì tổng số tiền lương người đó nhận được là bao nhiêu?

b) Tính v2, v3 và vn theo n. Nếu người lao động đó làm việc cho công ty trong thời gian 5 năm theo hợp đồng B thì tổng số tiền lương người đó nhận được là bao nhiêu?

c) Sau bao nhiêu năm thì lương hằng năm theo hợp đồng B vượt lương hằng năm theo hợp đồng A?

Lời giải:

a) Ta có u2 = u1 + 10 = 200 + 10 = 210 triệu đồng;

u3 = u2 + 10 = 210 + 10 = 220 triệu đồng.

Ta thấy un là một cấp số cộng với u1 = 200 và d = 10 nên

un = u1 + (n – 1)d = 200 + (n – 1)10 = 10n + 190.

Nếu người lao động đó làm việc cho công ty trong thời gian 5 năm theo hợp đồng A thì tổng số tiền lương người đó nhận được là:

S5(A) = u1 + u2 + …+ u5 = 5u1+5⋅42⋅d = 5 . 200 + 100 = 1 100 (triệu đồng).

b) Ta có v2 = v1 + 5%.v1 = v1 . 1,05 = 180 . 1,05 = 189 (triệu đồng);

v3 = v2 + v2.5% = v2 .1,05 = 189 . 1,05 = 198,45 (triệu đồng).

Ta thấy vn là một cấp số nhân với v1 = 180 và q = 1,05 nên

vn = v1 . (1,05)n – 1 = 180 . (1,05)n – 1.

Nếu người lao động đó làm việc cho công ty trong thời gian 5 năm theo hợp đồng B thì tổng số tiền lương người đó nhận được là:

S5(B) = v1 + v2 + …+ v5 = v11−q51−q = 180⋅1−1,0551−1,05 ≈ 994,61 triệu đồng.

c) Để lương hàng năm theo hợp đồng B vượt lương hằng năm theo hợp đồng A thì vn > un hay 180.(1,05)n – 1 > 10n + 190 ⇔ 18 . (1,05)n – 1 > n + 19.

Ta thấy n = 13 là số nguyên dương nhỏ nhất thỏa mãn bất phương trình này nên từ năm thứ 13 trở đi thì lương hằng năm theo hợp đồng B vượt lương hằng năm theo hợp đồng A.

Giải Toán 11 trang 108 Tập 2

Bài 25 trang 108 Toán 11 Tập 2: Tính các giới hạn sau:

a) limn→+∞1+3+5+⋯+2n−1n2+2n+3 ;

b) limn→+∞1+23+49+⋯+2n3n ;

c) limx→−22x2+3x−2x2−4 ;

d) limx→−∞4x2+x+1+2x .

Lời giải:

a) Ta có 1; 3; 5; …; 2n – 1 là một cấp số cộng có 2n−1−12+1=n (số hạng).

Suy ra 1 + 3 + 5 + … + (2n – 1) = 1+2n−12⋅n=n2 .

Khi đó limn→+∞1+3+5+⋯+2n−1n2+2n+3=limn→+∞n2n2+2n+3=limn→+∞11+2n+3n2=1 .

b) Ta có 1;23;49;…;2n3n là một cấp số nhân với u1 = 1 và q = 23.

Khi đó limn→+∞1+23+49+⋯+2n3n=limn→+∞1−23n+11−23

Bài 25 trang 108 Toán 11 Tập 2 | Kết nối tri thức Giải Toán 11 = 3.

c) limx→−22x2+3x−2x2−4=limx→−22x−1x+2x−2x+2=limx→−22x−1x−2=2⋅−2−1−2−2=54

d) limx→−∞4x2+x+1+2x=limx→−∞x+14x2+x+1−2x= Bài 25 trang 108 Toán 11 Tập 2 | Kết nối tri thức Giải Toán 11

=limx→−∞x+1−x4+1x+1x2−2x=limx→−∞1+1x−4+1x+1x2−2=−14.

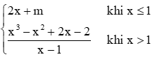
Bài 26 trang 108 Toán 11 Tập 2: Tìm các giá trị của tham số m để:

a) Hàm số f(x) = Bài 26 trang 108 Toán 11 Tập 2 | Kết nối tri thức Giải Toán 11 liên tục tại điểm x = −1;

b) Hàm số g(x) = Bài 26 trang 108 Toán 11 Tập 2 | Kết nối tri thức Giải Toán 11 liên tục trên ℝ.

Lời giải:

a) Ta có limx→−1fx=limx→−1x2+4x+3x+1=limx→−1x+1x+3x+1=limx→−1x+3=2 ; f(−1) = m2.

Để hàm số liên tục tại x = −1 thì limx→−1fx=f−1 ⇔ m2 = 2 ⇔m=±2 .

Vậy m=±2 thì hàm số liên tục tại x = −1.

b) Ta có x < 1 thì g(x) = 2x + m liên tục với mọi x < 1.

Có x > 1 thì g(x) = x3−x2+2x−2x−1 liên tục với mọi x > 1.

Tại x = 1, ta có: limx→1−gx=limx→1−2x+m=2+m.

limx→1+gx=limx→1+x3−x2+2x−2x−1=limx→1+x2x−1+2x−1x−1

=limx→1+x2+2x−1x−1=limx→1+x2+2=3.

Có g(1) = 2 ∙ 1 + m = 2 + m.

Hàm số đã cho liên tục trên ℝ khi và chỉ khi hàm số liên tục tại x = 1

⇔limx→1−gx=limx→1+gx=g1 ⇔ 2 + m = 3 ⇔ m = 1.

Vậy m = 1 thì hàm số đã cho liên tục trên ℝ.

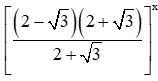
Bài 27 trang 108 Toán 11 Tập 2: Giải các phương trình và bất phương trình sau:

a) 31x= 4;

b) 2x2−3x= 4;

c) log4 (x + 1) + log4 (x – 3) = 3;

d) 15x2−2x≥1125 ;

e) 2−3x≤2+3x+2 ;

f) log (3x2 + 1) > log (4x).

Lời giải:

a) Điều kiện: x ≠ 0.

Ta có 31x=4⇔1x=log34⇔x=1log34=log43 (thỏa mãn).

Vậy nghiệm của phương trình là x = log43.

b) 2x2−3x=4⇔2x2−3x=22⇔x2−3x=2

⇔x2−3x−2=0⇔x=3+172 hoặc x=3−172 .

Vậy tập nghiệm của phương trình là S = Bài 27 trang 108 Toán 11 Tập 2 | Kết nối tri thức Giải Toán 11 .

c) Điều kiện Bài 27 trang 108 Toán 11 Tập 2 | Kết nối tri thức Giải Toán 11 .

Ta có log4 (x + 1) + log4 (x – 3) = 3

⇔ log4 [(x + 1)(x – 3)] = 3

⇔ (x + 1)(x – 3) = 43

⇔ x2 – 2x – 67 = 0

⇔ x = 1 – 217 (loại) hoặc x = 1 + 217 (thỏa mãn).

Vậy nghiệm của phương trình là x = 1 + 217 .

d) Ta có 15x2−2x≥1125⇔15x2−2x≥153

⇔x2−2x≤3⇔x2−2x−3≤0⇔−1≤x≤3.

Vậy tập nghiệm của bất phương trình là S = [−1; 3].

e) 2−3x≤2+3x+2

⇔Bài 27 trang 108 Toán 11 Tập 2 | Kết nối tri thức Giải Toán 11≤2+3x+2

⇔12+3x≤2+3x+2

⇔2+3−x≤2+3x+2.

Vậy tập nghiệm của bất phương trình là S = [−1; +∞).

f) Điều kiện: 4x > 0 ⇔ x > 0.

Ta có log (3x2 + 1) > log (4x) ⇔ 3x2 + 1 > 4x ⇔ 3x2 – 4x + 1 > 0 ⇔Bài 27 trang 108 Toán 11 Tập 2 | Kết nối tri thức Giải Toán 11 .

Kết hợp với điều kiện, ta có Bài 27 trang 108 Toán 11 Tập 2 | Kết nối tri thức Giải Toán 11 .

Vậy tập nghiệm của bất phương trình là S=0;13∪1;+∞ .

Bài 28 trang 108 Toán 11 Tập 2: Để xác định tính acid và tính base của các dung dịch, người ta sử dụng khái niệm độ pH. Độ pH của một dung dịch được cho bởi công thức pH = −log[H+], trong đó [H+] là nồng độ của ion hydrogen (tính bằng mol/lít).

a) Tính độ pH của một dung dịch có nồng độ ion hydrogen là 0,1 mol/lít.

b) Độ pH sẽ biến đổi như thế nào nếu nồng độ ion hydrogen giảm?

c) Xác định nồng độ ion hydrogen trong bia biết độ pH của bia là khoảng 4,5.

Lời giải:

a) Độ pH của một dung dịch có nồng độ ion hydrogen là 0,1 mol/lít là pH = −log0,1 = 1.

Vậy độ pH của một dung dịch có nồng độ ion hydrogen là 0,1 mol/lít là 1.

b) Vì hàm số y = log x đồng biến trên khoảng (0; +∞) nên hàm số y = −log x nghịch biến trên (0; +∞). Suy ra nếu nồng độ ion hydrogen giảm thì độ pH sẽ tăng.

c) Có pH = 4,5 nên −log[H+] = 4,5 ⇔ [H+] = 10−4,5.

Vậy nồng độ ion hydrogen trong bia là 10−4,5 mol/lít.

Bài 29 trang 108 Toán 11 Tập 2: Tính đạo hàm của các hàm số sau:

a) y=3x2−2x;

b) y=1+2x−x2;

c) y=tanx2−cotx2;

d) y = e2x + lnx2.

Lời giải:

a) Ta có: y‘=3x2−2x‘=6x−1x . Vậy y’ = 6x – 1x.

b) Ta có: y‘=1+2x−x2‘=1+2x−x2‘21+2x−x2

=2−2x21+2x−x2=1−x1+2x−x2.

Vậy y‘=1−x1+2x−x2 .

c) Ta có: y‘=tanx2−cotx2‘=x2‘cos2x2+x2‘sin2x2

=12cos2x2+12sin2x2=12⋅sin2x2+cos2x2sin2x2cos2x2

=12⋅1sin2x2cos2x2=24sin2x2cos2x2=2sin2x.

Vậy y‘=2sin2x .

d) Ta có: y’ = (e2x + lnx2)’ = 2x‘⋅e2x+x2‘x2=2⋅e2x+2x=2e2x+1x .

Vậy y‘=2e2x+1x .

Bài 30 trang 108 Toán 11 Tập 2: Một chất điểm chuyển động có phương trình s(t) = t3 – 3t2 – 9t + 2, ở đó thời gian t > 0 tính bằng giây và quãng đường s tính bằng mét.

a) Tính vận tốc của chất điểm tại thời điểm t = 2 giây.

b) Tính gia tốc của chất điểm tại thời điểm t = 3 giây.

c) Tính gia tốc của chất điểm tại thời điểm vận tốc bằng 0.

d) Tính vận tốc của chất điểm tại thời điểm gia tốc bằng 0.

Lời giải:

Vận tốc của chất điểm tại thời điểm t là v(t) = s'(t) = 3t2 – 6t – 9.

Gia tốc của chất điểm tại thời điểm t là a(t) = v'(t) = 6t – 6.

a) Vận tốc của chất điểm tại thời điểm t = 2 giây là v(2) = 3 . 22 – 6 . 2 − 9 = −9 (m/s).

b) Gia tốc của chất điểm tại thời điểm t = 3 giây là a(3) = 6 . 3 – 6 = 12 (m/s2).

c) Vận tốc bằng 0 tức là v(t) = 0 ⇔ 3t2 – 6t – 9 = 0 ⇔ t = 3 (thỏa mãn) hoặc t = −1 (loại).

Vậy gia tốc của chất điểm tại thời điểm vận tốc bằng 0 là a(3) = 12 m/s2.

d) Gia tốc bằng 0 tức là a(t) = 0 ⇔ 6t – 6 = 0 ⇔ t = 1.

Vậy vận tốc của chất điểm tại thời điểm gia tốc bằng 0 là v(1) = 3 . 12 – 6 . 1 – 9 = −12 m/s.

Xem thêm các bài giải SGK Toán lớp 11 Kết nối tri thức hay, chi tiết khác:

Bài 33: Đạo hàm cấp hai

Bài tập cuối chương 9

Một vài mô hình toán học sử dụng hàm số mũ và hàm số lôgarit

Hoạt động thực hành trải nghiệm Hình học

Bài tập ôn tập cuối năm

Tags : Tags Giải SGK Toán 11
Share
facebookShare on Facebook

Bài liên quan

Giải SGK Toán 11 Bài 12 (Kết nối tri thức): Đường thẳng và mặt phẳng song song

Giải SGK Toán 11 Bài 23 (Kết nối tri thức): Đường thẳng vuông góc với mặt phẳng

Sách bài tập Toán 11 Bài 1 (Kết nối tri thức): Giá trị lượng giác của góc lượng giác

Sách bài tập Toán 11 Bài 14 (Kết nối tri thức): Phép chiếu song song

Sách bài tập Toán 11 Bài 27 (Kết nối tri thức): Thể tích

Giải Chuyên đề Toán 11 Kết nối tri thức Bài 5: Phép dời hình

20 câu Trắc nghiệm Hàm số lượng giác (Kết nối tri thức 2025) có đáp án – Toán lớp 11

20 Bài tập Giới hạn của hàm số (sách mới) có đáp án – Toán 11

0 Góp ý
Phản hồi nội tuyến
Xem tất cả bình luận

Mục lục

  1. Giải SGK Toán 11 Bài 1 (Kết nối tri thức): Giá trị lượng giác của góc lượng giác
  2. Giải SGK Toán 11 Bài 2 (Kết nối tri thức): Công thức lượng giác
  3. Giải SGK Toán 11 Bài 3 (Kết nối tri thức): Hàm số lượng giác
  4. Giải SGK Toán 11 Bài 4 (Kết nối tri thức): Phương trình lượng giác cơ bản
  5. Giải SGK Toán 11 (Kết nối tri thức) Bài tập cuối chương 1 trang 40
  6. Giải SGK Toán 11 Bài 5 (Kết nối tri thức): Dãy số
  7. Giải SGK Toán 11 Bài 6 (Kết nối tri thức): Cấp số cộng
  8. Giải SGK Toán 11 Bài 7 (Kết nối tri thức): Cấp số nhân
  9. Giải SGK Toán 11 (Kết nối tri thức) Bài tập cuối chương 2 trang 56
  10. Giải SGK Toán 11 Bài 8 (Kết nối tri thức): Mẫu số liệu ghép nhóm
  11. Giải SGK Toán 11 Bài 9 (Kết nối tri thức): Các số đặc trưng đo xu thế trung tâm
  12. Giải SGK Toán 11 (Kết nối tri thức) Bài tập cuối chương 3 trang 69
  13. Giải SGK Toán 11 Bài 10 (Kết nối tri thức): Đường thẳng và mặt phẳng trong không gian
  14. Giải SGK Toán 11 Bài 11 (Kết nối tri thức): Hai đường thẳng song song
  15. Giải SGK Toán 11 Bài 12 (Kết nối tri thức): Đường thẳng và mặt phẳng song song
  16. Giải SGK Toán 11 Bài 13 (Kết nối tri thức): Hai mặt phẳng song song
  17. Giải SGK Toán 11 Bài 14 (Kết nối tri thức): Phép chiếu song song
  18. Giải SGK Toán 11 (Kết nối tri thức): Bài tập cuối chương 4
  19. Giải SGK Toán 11 Bài 15 (Kết nối tri thức): Giới hạn của dãy số
  20. Giải SGK Toán 11 Bài 16 (Kết nối tri thức): Giới hạn của hàm số

Copyright © 2026 Học tập lớp 12 - Sách Toán - Học Tập AI
  • Sitemap
  • Chính sách
  • Giới thiệu
  • Hướng dẫn
  • Kết quả
  • Liên hệ
Back to Top
Menu
  • Sitemap
  • Chính sách
  • Giới thiệu
  • Hướng dẫn
  • Kết quả
  • Liên hệ
wpDiscuz