Skip to content

Học tập lớp 12

  • Trắc nghiệm Holland
  • Tính điểm xét tuyển
  • Danh sách trường Đại học
  • Kết quả bài thi

Học tập lớp 12

  • Home » 
  • Toán lớp 11

Giải SGK Toán 11 (Kết nối tri thức): Bài tập cuối Chương 5

By Admin Lop12.com 23/02/2026 0

Giải bài tập Toán lớp 11 Bài tập cuối Chương 5

Giải Toán 11 trang 123 Tập 1

A. Trắc nghiệm

Bài 5.18 trang 123 Toán 11 Tập 1: Cho dãy số (un) với un=n2+1−n. Mệnh đề đúng là

A. limn→+∞un=−∞.

B. limn→+∞un=1.

C. limn→+∞un=+∞.

D. limn→+∞un=0.

Lời giải:

Đáp án đúng là: C

Ta có: limn→+∞un=limn→+∞n2+1−n=limn→+∞n21+1n2−n

Bài 5.18 trang 123 Toán 11 Tập 1 | Kết nối tri thức Giải Toán 11

Vì limn→+∞n=+∞ và limn→+∞1+1n2−1n=1>0.

Do đó Bài 5.18 trang 123 Toán 11 Tập 1 | Kết nối tri thức Giải Toán 11 Vậy limn→+∞un=+∞.

Bài 5.19 trang 123 Toán 11 Tập 1: Cho un=2+22+…+2n2n. Giới hạn của dãy số (un) bằng

A. 1.

B. 2.

C. – 1.

D. 0.

Lời giải:

Đáp án đúng là: B

Ta có: 2 + 22 + … + 2n, đây là tổng của n số hạng đầu của cấp số nhân với số hạng đầu là u1 = 2 và công bội q = 2. Do đó, 2 + 22 + … + 2n = u11−qn1−q=21−2n1−2=−21−2n.

Khi đó, un=2+22+…+2n2n=−21−2n2n=2n−12n−1=2−12n−1.

Vậy limn→+∞un=limn→+∞2−12n−1=2.

Bài 5.20 trang 123 Toán 11 Tập 1: Cho cấp số nhân lùi vô hạn (un) với un=23n. Tổng của cấp số nhân này bằng

A. 3.

B. 2.

C. 1.

D. 6.

Lời giải:

Đáp án đúng là: C

Ta có: u1=231=23, u2=232=29, do đó công bội của cấp số nhân là q=u2u1=29:23=13.

Khi đó, tổng của cấp số nhân lùi vô hạn đã cho là S=u11−q=231−13=1.

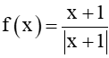
Bài 5.21 trang 123 Toán 11 Tập 1: Cho hàm số fx=x+1−x+2. Mệnh đề đúng là

A. limx→+∞fx=−∞.

B. limx→+∞fx=0.

C. limx→+∞fx=−1.

D. limx→+∞fx=−12.

Lời giải:

Đáp án đúng là: B

Ta có: fx=x+1−x+2=x+12−x+22x+1+x+2

=x+1−x+2x+1+x+2=−1x+1+x+2.

Do đó, limx→+∞fx=limx→+∞−1x+1+x+2= 0.

Bài 5.22 trang 123 Toán 11 Tập 1: Cho hàm sốBài 5.22 trang 123 Toán 11 Tập 1 | Kết nối tri thức Giải Toán 11. Khi đó limx→0+fx bằng

A. 0.

B. 1.

C. +∞.

D. – 1.

Lời giải:

Đáp án đúng là: B

Ta có: Bài 5.22 trang 123 Toán 11 Tập 1 | Kết nối tri thức Giải Toán 11.

Do đó, limx→0+fx=limx→0+1−x=1−0=1.

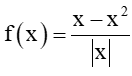
Bài 5.23 trang 123 Toán 11 Tập 1: Cho hàm số Bài 5.23 trang 123 Toán 11 Tập 1 | Kết nối tri thức Giải Toán 11. Hàm số f(x) liên tục trên

A. (–∞; +∞).

B. (–∞; – 1].

C. (–∞; – 1) ∪ (– 1; +∞).

D. [– 1; +∞).

Lời giải:

Đáp án đúng là: C

Ta có: Bài 5.23 trang 123 Toán 11 Tập 1 | Kết nối tri thức Giải Toán 11.

Tập xác định của hàm số là D = (–∞; – 1) ∪ (– 1; +∞).

Từ đó suy ra hàm số đã cho liên tục trên (–∞; – 1) ∪ (– 1; +∞).

Bài 5.24 trang 123 Toán 11 Tập 1: Cho hàm số Hàm số Colorkey liên tục tại x = 1 khi

A. a = 0.

B. a = 3.

C. a = – 1.

D. a = 1.

Lời giải:

Đáp án đúng là: B

Ta có: limx→1fx=limx→1x2+x−2x−1=limx→1x−1x+2x−1=limx→1x+2=1+2=3.

f(1) = a.

Để hàm số f(x) liên tục tại x = 1 thì limx→1fx=f1⇔ a = 3.

Giải Toán 11 trang 124 Tập 1

B. Tự luận

Bài 5.25 trang 124 Toán 11 Tập 1: Cho dãy số (un) có tính chất Colorkey. Có kết luận gì về giới hạn của dãy số này?

Lời giải:

Vì Colorkey

Do đó, limn→+∞un−1=0. Từ đó suy ra limn→+∞un=1.

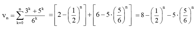
Bài 5.26 trang 124 Toán 11 Tập 1: Tìm giới hạn của các dãy số sau:

a) un=n23n2+7n−2;

b) vn=∑k=0n3k+5k6k;

c) wn=sinn4n.

Lời giải:

a) un=n23n2+7n−2

Ta có: limn→+∞un=limn→+∞n23n2+7n−2=limn→+∞n2n23+7n−2n2=limn→+∞13+7n−2n2=13

b) vn=∑k=0n3k+5k6k=30+5060+31+5161+32+5262+…+3n+5n6n

=3060+5060+3161+5161+3262+5262+…+3n6n+5n6n

=120+560+121+561+122+562+…+12n+56n

Bài 5.26 trang 124 Toán 11 Tập 1 | Kết nối tri thức Giải Toán 11

Vì 121+122+…+12n là tổng n số hạng đầu của cấp số nhân với số hạng đầu là 121=12 và công bội là 12 nên

120+121+122+…+12n=120+121−12n1−12=1+1−12n=2−12n.

Tương tự, ta tính được:

560+561+562+…+56n=560+561−56n1−56=1+51−56n=6−5⋅56n.

Do đó, Bài 5.26 trang 124 Toán 11 Tập 1 | Kết nối tri thức Giải Toán 11

Vậy Bài 5.26 trang 124 Toán 11 Tập 1 | Kết nối tri thức Giải Toán 11

c) wn=sinn4n

Ta có: Bài 5.26 trang 124 Toán 11 Tập 1 | Kết nối tri thức Giải Toán 11

Do đó, limn→+∞wn=limn→+∞sinn4n=0.

Bài 5.27 trang 124 Toán 11 Tập 1: Viết các số thập phân vô hạn tuần hoàn sau đây dưới dạng phân số.

a) 1,(01);

b) 5,(132).

Lời giải:

a) Ta có: 1,(01) = 1,010101… = 1 + 0,01 + 0,0001 + 0,000001 + …

= 100 + 10-2 + 10-4 + 10-6 + …

Đây là tổng của cấp số nhân lùi vô hạn với u1 = 100 = 1 và q = 10-2 nên

1,(01) = u11−q=11−10−2=10099.

b) Ta có: 5,(132) = 5,132132132… = 5 + 0,132 + 0,000132 + 0,000000132 + …

= 5 + 0,132 + 0,132 . 10-3 + 0,132 . 10-6 + …

Vì 0,132 + 0,132 . 10-3 + 0,132 . 10-6 + … là tổng của cấp số nhân lùi vô hạn với u1 = 0,132 và q = 10-3 nên

0,132 + 0,132 . 10-3 + 0,132 . 10-6 + … = u11−q=0,1321−10−3=44333.

Do đó 5,(132) = 5 + 44333 = 1709333.

Bài 5.28 trang 124 Toán 11 Tập 1: Tính các giới hạn sau:

a) limx→7x+2−3x−7;

b) limx→1x3−1x2−1;

c) limx→12−x1−x2;

d) limx→−∞x+24x2+1.

Lời giải:

a) limx→7x+2−3x−7=limx→7x+22−32x−7x+2+3

=limx→7x−7x−7x+2+3=limx→71x+2+3=17+2+3=16.

b) limx→1x3−1x2−1=limx→1x−1x2+x+1x−1x+1=limx→1x2+x+1x+1=12+1+11+1=32.

c) limx→12−x1−x2

Ta có: limx→12−x=2−1=1>0;

limx→11−x2=0 và (1 – x)2 > 0 với mọi x ≠ 1.

Do vậy, limx→12−x1−x2=+∞.

d) limx→−∞x+24x2+1=limx→−∞x+2x24+1x2

=limx→−∞x1+2x−x4+1x2=limx→−∞−1+2x4+1x2=−12.

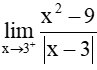
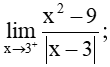
Bài 5.29 trang 124 Toán 11 Tập 1: Tính các giới hạn một bên:

a) Bài 5.29 trang 124 Toán 11 Tập 1 | Kết nối tri thức Giải Toán 11

b) limx→1−x1−x.

Lời giải:

a) Bài 5.29 trang 124 Toán 11 Tập 1 | Kết nối tri thức Giải Toán 11

Với mọi x > 3, ta có x – 3 > 0 nên |x – 3| = x – 3.

Do đó, Bài 5.29 trang 124 Toán 11 Tập 1 | Kết nối tri thức Giải Toán 11

b) limx→1−x1−x

Ta có: limx→1−x=1>0; limx→1−1−x=0

Và với mọi x < 1, ta có 1 – x > 0, suy ra 1−x>0.

Vậy limx→1−x1−x=+∞.

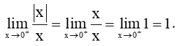
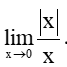
Bài 5.30 trang 124 Toán 11 Tập 1: Chứng minh rằng giới hạn Bài 5.30 trang 124 Toán 11 Tập 1 | Kết nối tri thức Giải Toán 11 không tồn tại.

Lời giải:

+) Với x > 0, ta có: |x| = x.

Khi đó, Bài 5.30 trang 124 Toán 11 Tập 1 | Kết nối tri thức Giải Toán 11 (1)

+) Với x < 0, ta có: |x| = – x.

Khi đó, Bài 5.30 trang 124 Toán 11 Tập 1 | Kết nối tri thức Giải Toán 11 (2)

Từ (1) và (2) suy ra Bài 5.30 trang 124 Toán 11 Tập 1 | Kết nối tri thức Giải Toán 11 nên không tồn tại giới hạn Bài 5.30 trang 124 Toán 11 Tập 1 | Kết nối tri thức Giải Toán 11

Bài 5.31 trang 124 Toán 11 Tập 1: Giải thích tại sao các hàm số sau đây gián đoạn tại điểm đã cho.

Bài 5.31 trang 124 Toán 11 Tập 1 | Kết nối tri thức Giải Toán 11

Lời giải:

a) Với x ≠ 0, thì fx=1x, ta có: limx→0−1x=−∞ và limx→0+1x=+∞.

Suy ra limx→0−1x≠limx→0+1x nên không tồn tại limx→01x.

Vậy hàm số đã cho gián đoạn tại x = 0.

b) Ta có: limx→1+fx=limx→1+2−x=2−1=1;

limx→1−fx=limx→1−1+x=1+1=2.

Suy ra nên không tồn tại limx→1fx.

Vậy hàm số đã cho gian đoạn tại x = 1.

Bài 5.32 trang 124 Toán 11 Tập 1: Lực hấp dẫn tác dụng lên một đơn vị khối lượng ở khoảng cách r tính từ tâm Trái Đất là

Bài 5.32 trang 124 Toán 11 Tập 1 | Kết nối tri thức Giải Toán 11

trong đó M và R lần lượt là khối lượng và bán kính của Trái Đất, G là hằng số hấp dẫn. Xét tính liên tục của hàm số F(r).

Lời giải:

Vì M và R lần lượt là khối lượng và bán kính của Trái Đất, G là hằng số hấp dẫn, do đó M, R, G đều khác 0, r là khoảng cách nên r > 0.

Ta có: Bài 5.32 trang 124 Toán 11 Tập 1 | Kết nối tri thức Giải Toán 11 Tập xác định của hàm số F(r) là (0; +∞).

+) Với r < R thì F(r) = GMrR3 hay F(r) = GMR3.r là hàm đa thức nên nó liên tục trên (0; R).

+) Với r > R thì F(r) = GMr2 là hàm phân thức nên nó liên tục trên (R; +∞).

+) Tại r = R, ta có F(R) = GMR2.

limr→R+Fr=limr→R+GMr2=GMR2; limr→R−fR=limr→R−GMrR3=GMRR3=GMR2.

Do đó, limr→R+Fr=limr→R−Fr=GMR2 nên limr→RFr=GMR2=FR.

Suy ra hàm số F(r) liên tục tại r = R.

Vậy hàm số F(r) liên tục trên (0; +∞).

Bài 5.33 trang 124 Toán 11 Tập 1: Tìm tập xác định của các hàm số sau và giải thích tại sao các hàm này liên tục trên các khoảng xác định của chúng.

a) fx=cosxx2+5x+6;

b) gx=x−2sinx.

Lời giải:

a) Biểu thức có nghĩa khi x2 + 5x + 6 ≠ 0 ⇔ (x + 2)(x + 3) ≠ 0 Bài 5.33 trang 124 Toán 11 Tập 1 | Kết nối tri thức Giải Toán 11

Do đó, tập xác định của hàm số f(x) là ℝ \ {– 3; – 2} = (–∞; – 3) ∪ (– 3; – 2) ∪ (– 2; +∞).

Suy ra hàm số f(x) xác định trên các khoảng (–∞; – 3), (– 3; – 2) và (– 2; +∞). Trên các khoảng này, tử thức (hàm lượng giác) và mẫu thức (hàm đa thức) là các hàm số liên tục. Vậy hàm số fx=cosxx2+5x+6 liên tục trên các khoảng xác định của chúng.

b) Biểu thức x−2sinx có nghĩa khi sin x ≠ 0 ⇔ x ≠ kπ, k ∈ ℤ.

Do đó, tập xác định của hàm số g(x) là ℝ \ {kπ | k ∈ ℤ}.

Trên các khoảng xác định của hàm số g(x), tử thức x – 2 (hàm đa thức) và mẫu thức sin x (hàm lượng giác) là các hàm số liên tục.

Vậy hàm số gx=x−2sinx liên tục trên các khoảng xác định của chúng.

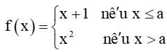
Bài 5.34 trang 124 Toán 11 Tập 1: Tìm các giá trị của a để hàm sốBài 5.34 trang 124 Toán 11 Tập 1 | Kết nối tri thức Giải Toán 11 liên tục trên ℝ.

Lời giải:

Ta có: Bài 5.34 trang 124 Toán 11 Tập 1 | Kết nối tri thức Giải Toán 11 Tập xác định của hàm số f(x) là ℝ.

+) Với x < a thì f(x) = x + 1 là hàm đa thức nên nó liên tục trên (–∞; a).

+) Với x > a thì f(x) = x2 là hàm đa thức nên nó liên tục trên (a; +∞).

+) Tại x = a, ta có f(a) = a + 1.

limx→a−fx=limx→a−x+1=a+1; limx→a+fx=limx→a+x2=a2.

Để hàm số f(x) đã cho liên tục trên ℝ thì f(x) phải liên tục tại x = a, điều này xảy ra khi và chỉ khi limx→a+fx=limx→a−fx=fa⇔ a + 1 = a2 ⇔ a2 – a – 1 = 0

Suy ra a=1−52 hoặc a=1+52.

Vậy Bài 5.34 trang 124 Toán 11 Tập 1 | Kết nối tri thức Giải Toán 11 thì thỏa mãn yêu cầu bài toán.

Video bài giảng Toán 11 Bài tập cuối Chương 5 – Kết nối tri thức

Xem thêm các bài giải SGK Toán lớp 11 Kết nối tri thức hay, chi tiết khác:

Bài 16: Giới hạn của hàm số

Bài 17: Hàm số liên tục

Bài tập cuối Chương 5

Một vài áp dụng của toán học trong tài chính

Lực căng mặt ngoài của nước

Tags : Tags Giải SGK Toán 11
Share
facebookShare on Facebook

Bài liên quan

Giải SGK Toán 11 Bài 12 (Kết nối tri thức): Đường thẳng và mặt phẳng song song

Giải SGK Toán 11 Bài 24 (Kết nối tri thức): Phép chiếu vuông góc. Góc giữa đường thẳng và mặt phẳng

Sách bài tập Toán 11 Bài 1 (Kết nối tri thức): Giá trị lượng giác của góc lượng giác

Sách bài tập Toán 11 Bài 14 (Kết nối tri thức): Phép chiếu song song

Sách bài tập Toán 11 Bài 27 (Kết nối tri thức): Thể tích

Giải Chuyên đề Toán 11 Kết nối tri thức Bài 5: Phép dời hình

20 câu Trắc nghiệm Hàm số lượng giác (Kết nối tri thức 2025) có đáp án – Toán lớp 11

20 Bài tập Giới hạn của hàm số (sách mới) có đáp án – Toán 11

0 Góp ý
Phản hồi nội tuyến
Xem tất cả bình luận

Mục lục

  1. Giải SGK Toán 11 Bài 1 (Kết nối tri thức): Giá trị lượng giác của góc lượng giác
  2. Giải SGK Toán 11 Bài 2 (Kết nối tri thức): Công thức lượng giác
  3. Giải SGK Toán 11 Bài 3 (Kết nối tri thức): Hàm số lượng giác
  4. Giải SGK Toán 11 Bài 4 (Kết nối tri thức): Phương trình lượng giác cơ bản
  5. Giải SGK Toán 11 (Kết nối tri thức) Bài tập cuối chương 1 trang 40
  6. Giải SGK Toán 11 Bài 5 (Kết nối tri thức): Dãy số
  7. Giải SGK Toán 11 Bài 6 (Kết nối tri thức): Cấp số cộng
  8. Giải SGK Toán 11 Bài 7 (Kết nối tri thức): Cấp số nhân
  9. Giải SGK Toán 11 (Kết nối tri thức) Bài tập cuối chương 2 trang 56
  10. Giải SGK Toán 11 Bài 8 (Kết nối tri thức): Mẫu số liệu ghép nhóm
  11. Giải SGK Toán 11 Bài 9 (Kết nối tri thức): Các số đặc trưng đo xu thế trung tâm
  12. Giải SGK Toán 11 (Kết nối tri thức) Bài tập cuối chương 3 trang 69
  13. Giải SGK Toán 11 Bài 10 (Kết nối tri thức): Đường thẳng và mặt phẳng trong không gian
  14. Giải SGK Toán 11 Bài 11 (Kết nối tri thức): Hai đường thẳng song song
  15. Giải SGK Toán 11 Bài 12 (Kết nối tri thức): Đường thẳng và mặt phẳng song song
  16. Giải SGK Toán 11 Bài 13 (Kết nối tri thức): Hai mặt phẳng song song
  17. Giải SGK Toán 11 Bài 14 (Kết nối tri thức): Phép chiếu song song
  18. Giải SGK Toán 11 (Kết nối tri thức): Bài tập cuối chương 4
  19. Giải SGK Toán 11 Bài 15 (Kết nối tri thức): Giới hạn của dãy số
  20. Giải SGK Toán 11 Bài 16 (Kết nối tri thức): Giới hạn của hàm số

Copyright © 2026 Học tập lớp 12 - Sách Toán - Học Tập AI
  • Sitemap
  • Chính sách
  • Giới thiệu
  • Hướng dẫn
  • Kết quả
  • Liên hệ
Back to Top
Menu
  • Sitemap
  • Chính sách
  • Giới thiệu
  • Hướng dẫn
  • Kết quả
  • Liên hệ
wpDiscuz