Skip to content

Học tập lớp 12

  • Trắc nghiệm Holland
  • Tính điểm xét tuyển
  • Danh sách trường Đại học
  • Kết quả bài thi

Học tập lớp 12

  • Home » 
  • Toán lớp 11

Giải SGK Toán 11 Bài 17 (Kết nối tri thức): Hàm số liên tục

By Admin Lop12.com 23/02/2026 0

Giải bài tập Toán lớp 11 Bài 17: Hàm số liên tục

Giải Toán 11 trang 119 Tập 1

Mở đầu trang 119 Toán 11 Tập 1: Một người lái xe từ địa điểm A đến địa điểm B trong thời gian 3 giờ. Biết quãng đường từ A đến B dài 180 km. Chứng tỏ rằng có ít nhất một thời điểm trên hành trình, xe chạy với vận tốc 60 km/h.

Mở đầu trang 119 Toán 11 Tập 1 | Kết nối tri thức Giải Toán 11

Lời giải:

Áp dụng định lí: Nếu hàm số y = f(x) liên tục trên đoạn [a; b] và f(a) f(b) < 0 thì tồn tại ít nhất một điểm c ∈ (a; b) sao cho f(c) = 0.

1. Hàm số liên tục tại một điểm

HĐ1 trang 119 Toán 11 Tập 1: Nhận biết tính liên tục của hàm số tại một điểm

Cho hàm số HĐ1 trang 119 Toán 11 Tập 1 | Kết nối tri thức Giải Toán 11

Tìm giới hạn limx→1fx và so sánh giá trị này với f(1).

Lời giải:

Ta có: f(1) = 2.

limx→1fx=limx→1x2−1x−1=limx→1x−1x+1x−1=limx→1x+1=1+1=2.

Vậy limx→1fx = f(1).

Giải Toán 11 trang 120 Tập 1

Luyện tập 1 trang 120 Toán 11 Tập 1: Xét tính liên tục của hàm số Luyện tập 1 trang 120 Toán 11 Tập 1 | Kết nối tri thức Giải Toán 11 tại điểm x0 = 0.

Lời giải:

Hàm số f(x) xác định trên ℝ, do đó x0 = 0 thuộc tập xác định của hàm số.

Ta có: limx→0+fx=limx→0+x2=02=0; limx→0−fx=limx→0−−x=0.

Do đó, limx→0+fx=limx→0−fx=0, suy ra limx→0fx=0.

Lại có f(0) = 0 nên limx→0fx=f0. Vậy hàm số f(x) liên tục tại x0 = 0.

2. Hàm số liên tục trên một khoảng

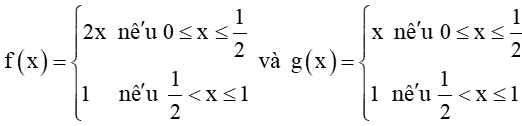
HĐ2 trang 120 Toán 11 Tập 1: Cho hai hàm số HĐ2 trang 120 Toán 11 Tập 1 | Kết nối tri thức Giải Toán 11 với đồ thị tương ứng như Hình 5.7.

HĐ2 trang 120 Toán 11 Tập 1 | Kết nối tri thức Giải Toán 11

Xét tính liên tục của các hàm số f(x) và g(x) tại điểm x=12 và nhận xét về sự khác nhau giữa hai đồ thị.

Lời giải:

+) Hàm số HĐ2 trang 120 Toán 11 Tập 1 | Kết nối tri thức Giải Toán 11

Hàm số f(x) xác định trên [0; 1], do đó x=12 thuộc tập xác định của hàm số.

Ta có: limx→12+fx=limx→12+1=1; limx→12−fx=limx→12−2x=2⋅12=1.

Suy ra limx→12+fx=limx→12−fx=1, do đó limx→12fx=1

Mà f12=2⋅12=1 nên limx→12fx=f12.

Vậy hàm số f(x) liên tục tại x=12.

+) Hàm số HĐ2 trang 120 Toán 11 Tập 1 | Kết nối tri thức Giải Toán 11

Hàm số g(x) liên tục trên [0; 1], do đó x=12 thuộc tập xác định của hàm số.

Ta có: limx→12−gx=limx→12−x=12; limx→12+gx=limx→12+1=1

Suy ra limx→12+gx≠limx→12−gx.

Vậy không tồn tại giới hạn của hàm số g(x) tại x=12, do đó hàm số g(x) gián đoạn tại x=12.

+) Quan sát Hình 5.7 ta thấy, đồ thị của hàm số y = f(x) là đường liền trên (0; 1), còn đồ thị của hàm số y = g(x) trên (0; 1) là các đoạn rời nhau.

Giải Toán 11 trang 121 Tập 1

Luyện tập 2 trang 121 Toán 11 Tập 1: Tìm các khoảng trên đó hàm số fx=x2+1x+2 liên tục.

Lời giải:

Biểu thức x2+1x+2 có nghĩa khi x + 2 ≠ 0 hay x ≠ – 2.

Do đó, tập xác định của hàm số f(x) là (–∞; – 2) ∪ (– 2; +∞).

Vậy hàm số f(x) liên tục trên các khoảng (–∞; – 2) và (– 2; +∞).

3. Một số tính chất cơ bản

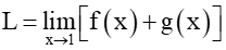
HĐ3 trang 121 Toán 11 Tập 1: Cho hai hàm số f(x) = x2 và g(x) = – x + 1.

a) Xét tính liên tục của hai hàm số trên tại x = 1.

b) Tính HĐ3 trang 121 Toán 11 Tập 1 | Kết nối tri thức Giải Toán 11 và so sánh L với f(1) + g(1).

Lời giải:

a) Hàm số f(x) = x2 và g(x) = – x + 1 là các hàm đa thức nên nó liên tục trên ℝ.

Do đó, hai hàm số f(x) và g(x) đều liên tục tại x = 1.

b) Ta có: f(x) + g(x) = x2 + (– x + 1) = x2 – x + 1.

Do đó, HĐ3 trang 121 Toán 11 Tập 1 | Kết nối tri thức Giải Toán 11=limx→1x2−x+1=12−1+1=1.

Lại có, f(1) = 12 = 1; g(1) = – 1 + 1 = 0, do đó f(1) + g(1) = 1 + 0 = 1.

Vậy L = f(1) + g(1) = 1.

Bài tập

Giải Toán 11 trang 122 Tập 1

Bài 5.14 trang 122 Toán 11 Tập 1: Cho f(x) và g(x) là các hàm số liên tục tại x = 1. Biết f(1) = 2 và Bài 5.14 trang 122 Toán 11 Tập 1 | Kết nối tri thức Giải Toán 11. Tính g(1).

Lời giải:

Vì hàm số f(x) liên tục tại x = 1 nên hàm số 2f(x) cũng liên tục tại x = 1.

Mà hàm số g(x) liên tục tại x = 1. Do đó, hàm số y = 2f(x) – g(x) liên tục tại x = 1.

Suy ra Bài 5.14 trang 122 Toán 11 Tập 1 | Kết nối tri thức Giải Toán 11

Vì Bài 5.14 trang 122 Toán 11 Tập 1 | Kết nối tri thức Giải Toán 11 và f(1) = 2 nên ta có 3 = 2 . 2 – g(1) ⇔ g(1) = 1.

Vậy g(1) = 1.

Bài 5.15 trang 122 Toán 11 Tập 1: Xét tính liên tục của các hàm số sau trên tập xác định của chúng:

a) fx=xx2+5x+6;

b) Bài 5.15 trang 122 Toán 11 Tập 1 | Kết nối tri thức Giải Toán 11

Lời giải:

a) fx=xx2+5x+6

Biểu thức xx2+5x+6 có nghĩa khi x2 + 5x + 6 ≠ 0 ⇔ (x + 2)(x + 3) ≠ 0 Bài 5.15 trang 122 Toán 11 Tập 1 | Kết nối tri thức Giải Toán 11

Do đó, tập xác định của hàm số f(x) là ℝ \ {– 3; – 2} = (–∞; – 3) ∪ (– 3; – 2) ∪ (– 2; +∞).

Vì f(x) là hàm phân thức hữu tỉ nên nó liên tục trên tập xác định.

Vậy hàm số f(x) liên tục trên các khoảng (–∞; – 3), (– 3; – 2) và (– 2; +∞).

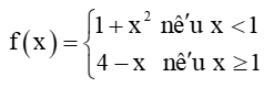
b) Bài 5.15 trang 122 Toán 11 Tập 1 | Kết nối tri thức Giải Toán 11

Tập xác định của hàm số là ℝ.

+) Nếu x < 1, thì f(x) = 1 + x2.

Đây là hàm đa thức nên có tập xác định là ℝ.

Vậy nó liên tục trên (–∞; 1).

+) Nếu x > 1, thì f(x) = 4 – x.

Đây là hàm đa thức nên có tập xác định là ℝ.

Vậy nó liên tục trên (1; +∞).

+) Ta có: limx→1+fx=limx→1+4−x=4−1=3;

limx→1−fx=limx→1−1+x2=1+12=2.

Suy ra limx→1+fx≠limx→1−fx, do đó không tồn tại giới hạn của f(x) tại x = 1.

Khi đó, hàm số f(x) không liên tục tại x = 1.

Vậy hàm số đã cho liên tục trên các khoảng (–∞; 1), (1; +∞) và gián đoạn tại x = 1.

Bài 5.16 trang 122 Toán 11 Tập 1 :Tìm giá trị của tham số m để hàm sốliên tục trên ℝ.

Bài 5.16 trang 122 Toán 11 Tập 1 | Kết nối tri thức Giải Toán 11

Lời giải:

Tập xác định của hàm số là ℝ.

+) Nếu x > 0, thì f(x) = sin x. Do đó nó liên tục trên (0; +∞).

+) Nếu x < 0, thì f(x) = – x + m, đây là hàm đa thức nên nó liên tục trên (–∞; 0).

Khi đó, hàm số f(x) liên tục trên các khoảng (–∞; 0) và (0; +∞).

Do đó, để hàm số f(x) liên tục trên ℝ thì f(x) phải liên tục tại x = 0. Điều này xảy ra khi và chỉ khi limx→0fx=f0⇔limx→0+fx=limx→0−fx=f0 (1).

Lại có: limx→0+fx=limx→0+sinx=0; f(0) = sin 0 = 0; limx→0−fx=limx→0−−x+m=m .

Khi đó, (1) ⇔ m = 0.

Vậy m = 0 thì thỏa mãn yêu cầu bài toán.

Bài 5.17 trang 122 Toán 11 Tập 1: Một bảng giá cước taxi được cho như sau:

Giá mở cửa

(0,5 km đầu)

Giá cước các km tiếp theo đến 30 km

Giá cước từ km thứ 31

10 000 đồng

13 500 đồng

11 000 đồng

a) Viết công thức hàm số mô tả số tiền khách phải trả theo quãng đường di chuyển.

b) Xét tính liên tục của hàm số ở câu a.

Lời giải:

a) Gọi x (km, x > 0) là quãng đường khách di chuyển và y (đồng) là số tiền khách phải trả theo quãng đường di chuyển x.

Với x ≤ 0,5, ta có y = 10 000.

Với 0,5 < x ≤ 30, ta có: y = 10 000 + 13 500(x – 0,5) hay y = 13 500x + 3 250.

Với x > 30, ta có: y = 10 000 + 13 500 . 29,5 + 11 000(x – 30) hay y = 11 000x + 78 250.

Vậy công thức hàm số mô tả số tiền khách phải trả theo quãng đường di chuyển là

Bài 5.17 trang 122 Toán 11 Tập 1 | Kết nối tri thức Giải Toán 11

b) +) Với 0 < x < 0,5 thì y = 10 000 là hàm hằng nên nó liên tục trên (0; 0,5).

+) Với 0,5 < x < 30 thì y = 13500x + 3 250 là hàm đa thức nên nó liên tục trên (0,5; 30).

+) Với x > 30 thì y = 11 000x + 78 250 là hàm đa thức nên nó liên tục trên (30; +∞).

+) Ta xét tính liên tục của hàm số tại x = 0,5 và x = 30.

– Tại x = 0,5, ta có y(0,5) = 10 000;

limx→0,5−y=limx→0,5−10000=10000;

limx→0,5+y=limx→0,5+13500x+3250= 13 500 . 0,5 + 3 250 = 10 000.

Do đó, limx→0,5−y=limx→0,5+y=limx→0,5y=y0,5 nên hàm số liên tục tại x = 0,5.

– Tại x = 30, ta có: y(30) = 13 500 . 30 + 3 250 = 408 250;

limx→30−y=limx→30−13500x+3250 = 13 500 . 30 + 3 250 = 408 250;

limx→30+y=limx→30+11000x+78250 = 11 000 . 30 + 78 250 = 408 250.

Do đó, limx→30−y=limx→30+y=limx→30y=y30 nên hàm số liên tục tại x = 30.

Vậy hàm số ở câu a liên tục trên (0; +∞).

Video bài giảng Toán 11 Bài 17: Hàm số liên tục – Kết nối tri thức

Xem thêm các bài giải SGK Toán lớp 11 Kết nối tri thức hay, chi tiết khác:

Bài 16: Giới hạn của hàm số

Bài 17: Hàm số liên tục

Bài tập cuối Chương 5

Một vài áp dụng của toán học trong tài chính

Lực căng mặt ngoài của nước

Lý thuyết Hàm số liên tục

1. Hàm số liên tục tại 1 điểm

 Cho hàm y=f(x) xác định trên khoảng (a;b)chứa điểm x0. Hàm số f(x) được gọi là liên tục tại điểm x0 nếu limx→x0⁡f(x)=f(x0).

 Hàm số không liên tục tại x0 được gọi là gián đoạn tại điểm đó.

2. Hàm số liên tục trên một khoảng

– Hàm số y=f(x) được gọi là liên tục trên khoảng (a;b) nếu nó liên tục tại mọi điểm thuộc khoảng này.

– Hàm số y=f(x) được gọi là liên tục trên đoạn [a;b]nếu nó liên tục trên khoảng (a;b) và limx→a+⁡f(x)=f(a),limx→b−⁡f(x)=f(b).

*Nhận xét:

– Hàm số đa thức và hàm số y=sinx,y=cosx liên tục trên R.

– Các hàm số y=tan⁡x,y=cotx,y=x và hàm phân thức hữu tỉ (thương của hai đa thức) liên tục trên tập xác định của chúng.

3. Một số tính chất cơ bản

Giả sử hai hàm số y=f(x) và y=g(x) liên tục tại điểm x0. Khi đó:

a, Các hàm số y=f(x)±g(x) và y=f(x).g(x) liên tục tại điểm x0.

b, Hàm số y=f(x)g(x) liên tục tại điểm x0nếu g(x0)≠0.

Tags : Tags Giải SGK Toán 11
Share
facebookShare on Facebook

Bài liên quan

Giải SGK Toán 11 Bài 12 (Kết nối tri thức): Đường thẳng và mặt phẳng song song

Giải SGK Toán 11 Bài 24 (Kết nối tri thức): Phép chiếu vuông góc. Góc giữa đường thẳng và mặt phẳng

Sách bài tập Toán 11 Bài 1 (Kết nối tri thức): Giá trị lượng giác của góc lượng giác

Sách bài tập Toán 11 Bài 14 (Kết nối tri thức): Phép chiếu song song

Sách bài tập Toán 11 Bài 27 (Kết nối tri thức): Thể tích

Giải Chuyên đề Toán 11 Kết nối tri thức Bài 5: Phép dời hình

20 câu Trắc nghiệm Hàm số lượng giác (Kết nối tri thức 2025) có đáp án – Toán lớp 11

20 Bài tập Giới hạn của hàm số (sách mới) có đáp án – Toán 11

0 Góp ý
Phản hồi nội tuyến
Xem tất cả bình luận

Mục lục

  1. Giải SGK Toán 11 Bài 1 (Kết nối tri thức): Giá trị lượng giác của góc lượng giác
  2. Giải SGK Toán 11 Bài 2 (Kết nối tri thức): Công thức lượng giác
  3. Giải SGK Toán 11 Bài 3 (Kết nối tri thức): Hàm số lượng giác
  4. Giải SGK Toán 11 Bài 4 (Kết nối tri thức): Phương trình lượng giác cơ bản
  5. Giải SGK Toán 11 (Kết nối tri thức) Bài tập cuối chương 1 trang 40
  6. Giải SGK Toán 11 Bài 5 (Kết nối tri thức): Dãy số
  7. Giải SGK Toán 11 Bài 6 (Kết nối tri thức): Cấp số cộng
  8. Giải SGK Toán 11 Bài 7 (Kết nối tri thức): Cấp số nhân
  9. Giải SGK Toán 11 (Kết nối tri thức) Bài tập cuối chương 2 trang 56
  10. Giải SGK Toán 11 Bài 8 (Kết nối tri thức): Mẫu số liệu ghép nhóm
  11. Giải SGK Toán 11 Bài 9 (Kết nối tri thức): Các số đặc trưng đo xu thế trung tâm
  12. Giải SGK Toán 11 (Kết nối tri thức) Bài tập cuối chương 3 trang 69
  13. Giải SGK Toán 11 Bài 10 (Kết nối tri thức): Đường thẳng và mặt phẳng trong không gian
  14. Giải SGK Toán 11 Bài 11 (Kết nối tri thức): Hai đường thẳng song song
  15. Giải SGK Toán 11 Bài 12 (Kết nối tri thức): Đường thẳng và mặt phẳng song song
  16. Giải SGK Toán 11 Bài 13 (Kết nối tri thức): Hai mặt phẳng song song
  17. Giải SGK Toán 11 Bài 14 (Kết nối tri thức): Phép chiếu song song
  18. Giải SGK Toán 11 (Kết nối tri thức): Bài tập cuối chương 4
  19. Giải SGK Toán 11 Bài 15 (Kết nối tri thức): Giới hạn của dãy số
  20. Giải SGK Toán 11 Bài 16 (Kết nối tri thức): Giới hạn của hàm số

Copyright © 2026 Học tập lớp 12 - Sách Toán - Học Tập AI
  • Sitemap
  • Chính sách
  • Giới thiệu
  • Hướng dẫn
  • Kết quả
  • Liên hệ
Back to Top
Menu
  • Sitemap
  • Chính sách
  • Giới thiệu
  • Hướng dẫn
  • Kết quả
  • Liên hệ
wpDiscuz