Skip to content

Cộng đồng học tập lớp 12

  • Thi đấu
  • Sitemap

Cộng đồng học tập lớp 12

  • Home » 
  • Giải SGK Toán 12 – Cánh diều

Giải SGK Toán 12 Bài 3 (Cánh diều): Biểu thức toạ độ của các phép toán vectơ

By Admin Lop12.com 18/02/2025 0

Giải bài tập Toán 12 Bài 3: Biểu thức toạ độ của các phép toán vectơ

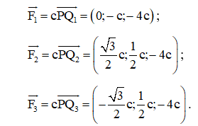
Câu hỏi khởi động trang 74 Toán 12 Tập 1: Một chiếc máy quay phim ở đài truyền hình được đặt trên một giá đỡ ba chân với điểm đặt P(0; 0; 4) và các điểm tiếp xúc với mặt đất của ba chân lần lượt là Q1(0; – 1; 0), Q2 32; 12; 0, Q3 −32; 12; 0 (Hình 35). Biết rằng trọng lượng của máy quay là 360 N.

Câu hỏi khởi động trang 74 Toán 12 Cánh diều Tập 1 | Giải Toán 12

Làm thế nào để tìm được tọa độ của các lực F1→,  F2→,  F3→ tác dụng lên giá đỡ?

Lời giải:

Sau bài học này, ta giải quyết được bài toán trên như sau:

Theo giả thiết, ta có các điểm P(0; 0; 4), Q1(0; – 1; 0), Q2 32; 12; 0, Q3 −32; 12; 0.

Suy ra Câu hỏi khởi động trang 74 Toán 12 Cánh diều Tập 1 | Giải Toán 12

Câu hỏi khởi động trang 74 Toán 12 Cánh diều Tập 1 | Giải Toán 12

Suy ra Câu hỏi khởi động trang 74 Toán 12 Cánh diều Tập 1 | Giải Toán 12

Vì vậy, tồn tại hằng số c ≠ 0 sao cho:

Câu hỏi khởi động trang 74 Toán 12 Cánh diều Tập 1 | Giải Toán 12

Suy ra F1→+F2→+F3→=0;  0; −12c .

Mặt khác, ta có: F1→+F2→+F3→=F→ , trong đó F→=0; 0; −360 là trọng lực tác dụng lên máy quay. Suy ra – 12c = – 360, tức là c = 30.

Vậy Câu hỏi khởi động trang 74 Toán 12 Cánh diều Tập 1 | Giải Toán 12

Hoạt động 1 trang 74 Toán 12 Tập 1: Trong không gian với hệ tọa độ Oxyz (Hình 36), cho hai vectơ u→=x1; y1; z1 và v→=x2; y2; z2.

Hoạt động 1 trang 74 Toán 12 Cánh diều Tập 1 | Giải Toán 12

a) Biểu diễn các vectơ u→, v→ theo ba vectơ i→,  j→,  k→.

b) Biểu diễn các vectơ u→+v→,  u→−v→,  mu→ (m ∈ ℝ) theo ba vectơ i→,  j→,  k→.

c) Tìm tọa độ các vectơ u→+v→,  u→−v→,  mu→ (m ∈ ℝ).

Lời giải:

a) Ta có u→=x1; y1; z1 nên u→=x1i→+y1j→+z1k→.

Ta có v→=x2; y2; z2 nên v→=x2i→+y2j→+z2k→.

b)

u→+v→=x1i→+y1j→+z1k→+x2i→+y2j→+z2k→

=x1+x2i→+y1+y2j→+z1+z2k→

u→−v→=x1i→+y1j→+z1k→−x2i→+y2j→+z2k→

=x1−x2i→+y1−y2j→+z1−z2k→

mu→=mx1i→+y1j→+z1k→=mx1i→+my1j→+mz1k→ (m ∈ ℝ).

c) Ta có u→+v→=x1+x2i→+y1+y2j→+z1+z2k→ .

Do đó, tọa độ của vectơ u→+v→ là (x1 + x2; y1 + y2; z1 + z2).

Ta có u→−v→=x1−x2i→+y1−y2j→+z1−z2k→ .

Do đó, tọa độ của vectơ u→−v→ là (x1 – x2; y1 – y2; z1 – z2).

Ta có mu→=mx1i→+my1j→+mz1k→ .

Do đó, tọa độ của vectơ mu→ là (mx1; my1; mz1).

Luyện tập 1 trang 75 Toán 12 Tập 1: a) Cho u→=−2; 0; 1, v→=0; 6; −2, w→=−2; 3; 2. Tìm tọa độ của vectơ u→+2v→−4w→.

b) Cho ba điểm A(– 1; – 3; – 2), B(2; 3; 4), C(3; 5; 6). Chứng minh rằng ba điểm A, B, C thẳng hàng.

Lời giải:

a) Ta có 2v→=0;  12;  −4,  4w→=−8; 12; 8 .

Do đó, u→+2v→ = (– 2 + 0; 0 + 12; 1 + (– 4)) = (– 2; 12; – 3).

Suy ra u→+2v→−4w→ = (– 2 – (– 8); 12 – 12; – 3 – 8).

Vậy u→+2v→−4w→ = (6; 0; – 11).

b) Ta có: AB→ = (2 – (– 1); 3 – (– 3); 4 – (– 2)) = (3; 6; 6),

AC→ = (3 – (– 1); 5 – (– 3); 6 – (– 2)) = (4; 8; 8).

Ta có Luyện tập 1 trang 75 Toán 12 Cánh diều Tập 1 | Giải Toán 12 Từ đó suy ra AB→=34AC→.

Do đó, hai vectơ AB→ và AC→ cùng phương.

Suy ra hai đường thẳng AB và AC song song hoặc trùng nhau, mà AB ∩ AC = A.

Vậy hai đường thẳng AB và AC trùng nhau hay ba điểm A, B, C thẳng hàng.

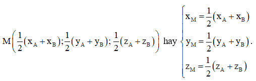
Hoạt động 2 trang 75 Toán 12 Tập 1: a) Trong không gian với hệ tọa độ Oxyz, cho hai điểm A(xA; yA; zA) và B(xB; yB; zB). Gọi M(xM; yM; zM) là trung điểm của đoạn thẳng AB.

– Biểu diễn vectơ OM→ theo hai vectơ OA→ và OB→.

– Tính tọa độ của điểm M theo tọa độ của các điểm A(xA; yA; zA) và B(xB; yB; zB).

b) Trong không gian với hệ tọa độ Oxyz, cho tam giác ABC có trọng tâm G.

– Biểu diễn vectơ OG→ theo hai vectơ OA→, OB→ , OC→.

– Tính tọa độ của điểm G theo tọa độ của các điểm A(xA; yA; zA), B(xB; yB; zB), C(xC; yC; zC).

Lời giải:

a)

– Vì M là trung điểm của AB nên với điểm O ta có: OM→=12OA→+OB→.

– Ta có A(xA; yA; zA) và B(xB; yB; zB) nên OA→ = (xA; yA; zA) và OB→ = (xB; yB; zB).

Khi đó, OA→+OB→ = (xA + xB; yA + yB; zA + zB).

Suy ra Hoạt động 2 trang 75 Toán 12 Cánh diều Tập 1 | Giải Toán 12

Do đó, Hoạt động 2 trang 75 Toán 12 Cánh diều Tập 1 | Giải Toán 12

b)

– Vì G là trọng tâm của tam giác ABC nên với điểm O ta có:

OG→=13OA→+OB→+OC→.

– Ta có A(xA; yA; zA), B(xB; yB; zB), C(xC; yC; zC).

Suy ra OA→ = (xA; yA; zA), OB→ = (xB; yB; zB), OC→ = (xC; yC; zC).

Khi đó, OA→+OB→+OC→ = (xA + xB + xC; yA + yB + yC; zA + zB + zC).

Suy ra

Hoạt động 2 trang 75 Toán 12 Cánh diều Tập 1 | Giải Toán 12

Do đó,

Hoạt động 2 trang 75 Toán 12 Cánh diều Tập 1 | Giải Toán 12

Luyện tập 2 trang 76 Toán 12 Tập 1: Cho ba điểm A(0; – 1; 1), B(1; 0; 5), G(1; 2; 0).

a) Chứng minh rằng ba điểm A, B, G không thẳng hàng.

b) Tìm tọa độ điểm C sao cho G là trọng tâm của tam giác ABC.

Lời giải:

a) Ta có AB→=1;  1;  4,  AG→=1;  3;  −1.

Suy ra AB→=1; 1; 4≠kAG→=k;  3k;  −k ới mọi k ∈ ℝ nên hai vectơ AB→ à AG→ không cùng phương.

Vậy ba điểm A, B, G không thẳng hàng.

b) Gọi tọa độ điểm C là (xC; yC; zC).

Vì G là trọng tâm của tam giác ABC nên ta có Luyện tập 2 trang 76 Toán 12 Cánh diều Tập 1 | Giải Toán 12

Suy ra xC = 3 – 1 = 2, yC = 6 + 1 = 7, zC = 0 – 6 = – 6.

Vậy C(2; 7; – 6).

Hoạt động 3 trang 76 Toán 12 Tập 1: Trong không gian với hệ tọa độ Oxyz, cho các vectơ u→=x1; y1; z1, v→=x2; y2; z2.

Hãy biểu diễn các vectơ u→, v→ theo ba vectơ đơn vị i→,  j→,  k→ và tính tích vô hướng u→⋅v→.

Lời giải:

Ta có u→=x1; y1; z1, v→=x2; y2; z2.

Do đó, u→=x1i→ +y1j→+ z1k→, v→=x2i→+ y2j→ +z2k→.

Ta có u→⋅v→=x1i→ +y1j→+ z1k→⋅x2i→ +y2j→+ z2k→

Hoạt động 3 trang 76 Toán 12 Cánh diều Tập 1 | Giải Toán 12

Mà i→2=j→2=k→2=1 và i→⋅j→=j→⋅k→=k→⋅i→=0 (do là ba vectơ đơn vị đôi một vuông góc với nhau).

Do đó, u→⋅v→=x1x2+y1y2+z1z2.

Luyện tập 3 trang 77 Toán 12 Tập 1: Trong không gian với hệ tọa độ Oxyz, cho tam giác ABC có A(2; – 1; 1), B(1; – 1; 2) và C(3; 0; 2). Chứng minh rằng tam giác ABC vuông tại A.

Lời giải:

Ta có AB→=−1;  0;  1,  AC→=1;  1;  1.

Nhận thấy (– 1) ∙ 1 + 0 ∙ 1 + 1 ∙ 1 = – 1 + 1 = 0, do đó AB→⋅AC→=0.

Suy ra hai vectơ AB→ và AC→ vuông góc với nhau hay hai đường thẳng AB và AC vuông góc với nhau.

Vậy tam giác ABC vuông tại A.

Hoạt động 4 trang 79 Toán 12 Tập 1: a) Cho hình lập phương ABCD.A’B’C’D’ có A(0; 0; 0), B(1; 0; 0), D(0; 1; 0), C'(1; 1; 1). Hãy chỉ ra tọa độ của một vectơ vuông góc với cả hai vectơ AB→ và AD→.

b) Cho hai vectơ u→=x1; y1; z1 và v→=x2; y2; z2 không cùng phương.

Xét vectơ w→=y1z2−y2z1; z1x2−z2x1; x1y2−x2y1.

– Tính w→⋅ u→,  w→⋅v→.

– Vectơ w→ có vuông góc với cả hai vectơ u→ và v→ hay không?

Lời giải:

a)

Hoạt động 4 trang 79 Toán 12 Cánh diều Tập 1 | Giải Toán 12

Ta có AB→=1;  0;  0,  AD→=0;  1;  0.

Gọi tọa độ điểm C là (xC; yC; zC), ta có DC→=(xC; yC – 1; zC).

Vì là ABCD.A’B’C’D’ hình lập phương nên DC→=AB→ .

Suy ra Hoạt động 4 trang 79 Toán 12 Cánh diều Tập 1 | Giải Toán 12 Do đó, C(1; 1; 0).

Ta có CC‘→=0;  0;  1.

Ta thấy Hoạt động 4 trang 79 Toán 12 Cánh diều Tập 1 | Giải Toán 12

Vậy vectơ CC‘→ vuông góc với cả hai vectơ AB→ và AD→.

b)

– Ta có:

Hoạt động 4 trang 79 Toán 12 Cánh diều Tập 1 | Giải Toán 12

= y1z2x1 – y2z1x1 + z1x2y1 – z2x1y1 + x1y2z1 – x2y1z1

= (y1z2x1 – z2x1y1) + (x1y2z1 – y2z1x1) + (z1x2y1 – x2y1z1) = 0;

Hoạt động 4 trang 79 Toán 12 Cánh diều Tập 1 | Giải Toán 12

= y1z2x2 – y2z1x2 + z1x2y2 – z2x1y2 + x1y2z2 – x2y1z2

= (y1z2x2 – x2y1z2) + (x1y2z2 – z2z1y2) + (z1x2y2 – y2z1x2) = 0.

– Vì w→⋅ u→=0,  w→⋅v→=0 nên vectơ w→ vuông góc với cả hai vectơ u→ và v→.

Luyện tập 4 trang 80 Toán 12 Tập 1: Trong không gian với hệ tọa độ Oxyz, cho hai vectơ u→=1; 0; −3 và v→=0; 0; 3. Hãy chỉ ra tọa độ của một vectơ w→ khác 0→ vuông góc với cả hai vectơ u→ và v→.

Lời giải:

Ta có Luyện tập 4 trang 80 Toán 12 Cánh diều Tập 1 | Giải Toán 12

Chọn w→ = (0; – 3; 0).

Vậy vectơ w→ vuông góc với cả hai vectơ u→ và v→ .

Bài tập

Bài 1 trang 80 Toán 12 Tập 1: Trong không gian với hệ tọa độ Oxyz, cho a→=2; 3; −2 và b→=3; 1; −1. Tọa độ của vectơ a→−b→ là:

A. (1; – 2; 1).

B. (5; 4; – 3).

C. (– 1; 2; – 1).

D. (– 1; 2; – 3).

Lời giải:

Đáp án đúng là: C

Ta có a→−b→ = (2 – 3; 3 – 1; – 2 – (– 1)). Do đó a→−b→ = (– 1; 2; – 1).

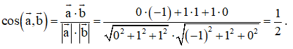
Bài 2 trang 80 Toán 12 Tập 1: Trong không gian với hệ tọa độ Oxyz, cho a→=0; 1; 1 và b→=−1; 1; 0 . Góc giữa hai vectơ a→ và b→ bằng:

A. 60°.

B. 120°.

C. 150°.

D. 30°.

Lời giải:

Đáp án đúng là: A

Ta có Bài 2 trang 80 Toán 12 Cánh diều Tập 1 | Giải Toán 12

Suy ra a→,  b→=60°.

Bài 3 trang 80 Toán 12 Tập 1: Trong không gian với hệ tọa độ Oxyz, cho a→=−1; 2; 3, b→=3; 1; −2, c→=4; 2; −3.

a) Tìm tọa độ của vectơ u→=2a→+b→−3c→.

b) Tìm tọa độ của vectơ v→ sao cho v→+2b→=a→+c→ .

Lời giải:

a) Ta có 2a→=−2;  4; 6, do đó 2a→+b→ = (– 2 + 3; 4 + 1; 6 + (– 2)) = (1; 5; 4).

Lại có 3c→=12;  6;  −9, do đó u→=2a→+b→−3c→ = (1 – 12; 5 – 6; 4 – (– 9)).

Vậy u→ = (– 11; – 1; 13).

b) Ta có v→+2b→=a→+c→, suy ra v→=a→+c→−2b→.

a→+c→= (– 1 + 4; 2 + 2; 3 + (– 3)) = (3; 4; 0).

Mà 2b→=6; 2; −4, do đó v→=a→+c→−2b→ = (3 – 6; 4 – 2; 0 – (– 4)).

Vậy v→ = (– 3; 2; 4).

Bài 4 trang 80 Toán 12 Tập 1: Trong không gian với hệ tọa độ Oxyz, cho a→=2; −2; 1, b→=2; 1; 3. Hãy chỉ ra tọa độ của một vectơ c→ khác 0→ vuông góc với cả hai vectơ a→ và b→.

Lời giải:

Ta có Bài 4 trang 80 Toán 12 Cánh diều Tập 1 | Giải Toán 12

Chọn c→=−7; −4; 6 , ta có vectơ vectơ c→ vuông góc với cả hai vectơ a→ và b→ .

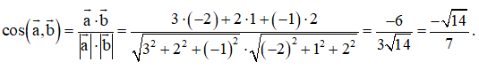
Bài 5 trang 81 Toán 12 Tập 1: Trong không gian với hệ tọa độ Oxyz, cho a→=3; 2; −1, b→=−2; 1; 2. Tính côsin của góc a→, b→.

Lời giải:

Ta cóBài 5 trang 81 Toán 12 Cánh diều Tập 1 | Giải Toán 12

Bài 6 trang 81 Toán 12 Tập 1: Trong không gian với hệ tọa độ Oxyz, cho A(– 2; 3; 0), B(4; 0; 5), C(0; 2; – 3).

a) Chứng minh rằng ba điểm A, B, C không thẳng hàng.

b) Tính chu vi tam giác ABC.

c) Tìm tọa độ trọng tâm G của tam giác ABC.

d) Tính cosBAC^.

Lời giải:

a) Ta có AB→=6;  −3;  5, AC→=2;  −1;  −3.

Suy ra AB→=6;  −3;  5≠kAC→=2k; −k; −3k với mọi k ∈ ℝ, do đó hai vectơ AB→ và AC→ không cùng phương.

Vậy ba điểm A, B, C không thẳng hàng.

b) Ta có Bài 6 trang 81 Toán 12 Cánh diều Tập 1 | Giải Toán 12

Bài 6 trang 81 Toán 12 Cánh diều Tập 1 | Giải Toán 12

Ta có BC→=−4; 2; −8.

Suy ra Bài 6 trang 81 Toán 12 Cánh diều Tập 1 | Giải Toán 12

Chu vi tam giác ABC là C = AB + AC + BC = 70+14+221.

c) Gọi tọa độ trọng tâm G của tam giác ABC là (xG; yG; zG).

Ta có xG=−2+4+03=23; yG=3+0+23=53;  zG=0+5+−33=23 .

Vậy G23; 53; 23 .

d) Ta có Bài 6 trang 81 Toán 12 Cánh diều Tập 1 | Giải Toán 12

Do đó hai vectơ AB→ và AC→ vuông góc với nhau hay hai đường thẳng AB và AC vuông góc với nhau nên BAC^=90°. Vậy cosBAC^ = 0.

Bài 7 trang 81 Toán 12 Tập 1: Cho hình hộp ABCD.A’B’C’D’, biết A(1; 0; 1), B(2; 1; 2), D(1; – 1; 1), C'(4; 5; – 5). Hãy chỉ ra tọa độ của một vectơ khác 0→ vuông góc với cả hai vectơ trong mỗi trường hợp sau:

a) AC→ và B‘D‘→;

b) AC‘→ và BD→.

Lời giải:

a) Ta có AB→=1;  1;  1 , AD→=0; −1; 0,

Vì ABCD.A’B’C’D’ là hình hộp nên ABCD là hình bình hành, do đó

AC→=AB→+AD→=1+0; 1+−1; 1+0=1; 0; 1.

Ta có BD→=−1;  −2; −1.

Vì ABCD.A’B’C’D’ là hình hộp nên B‘D‘→=BD→=−1; −2; −1 .

Ta có Bài 7 trang 81 Toán 12 Cánh diều Tập 1 | Giải Toán 12

Chọn a→=2; 0; −2, vectơ a→ vuông góc với cả hai vectơ AC→ và B‘D‘→.

b) Ta có AC‘→=3; 5; −6, BD→=−1;  −2; −1.

Bài 7 trang 81 Toán 12 Cánh diều Tập 1 | Giải Toán 12

Chọn b→=−17; 9; −1, vectơ b→ vuông góc với cả hai vectơ AC‘→ và BD→.

Bài 8 trang 81 Toán 12 Tập 1: Một chiếc đèn tròn được treo song song với mặt phẳng nằm ngang bởi ba sợi dây không dãn xuất phát từ điểm O trên trần nhà lần lượt buộc vào ba điểm A, B, C trên đèn tròn sao cho tam giác ABC đều (Hình 38). Độ dài của ba đoạn dây OA, OB, OC đều bằng L. Trọng lượng của chiếc đèn là 24 N và bán kính của chiếc đèn là 18 in (1 inch = 2,54 cm). Gọi F là độ lớn của các lực căng F1→, F2→, F3→ trên mỗi sợi dây. Khi đó, F = F(L) là một hàm số với biến số là L.

Bài 8 trang 81 Toán 12 Cánh diều Tập 1 | Giải Toán 12

a) Xác định công thức tính hàm số F = F(L).

b) Khảo sát và vẽ đồ thị hàm số F = F(L).

c) Tìm chiều dài tối thiểu của mỗi sợi dây, biết rằng mỗi sợi dây đó được thiết kế để chịu được lực căng tối đa là 10 N.

Lời giải:

Bài 8 trang 81 Toán 12 Cánh diều Tập 1 | Giải Toán 12

a) Ta có 18 in = 45,72 cm = 0,4572 m.

Gọi G là trọng tâm tam giác ABC.

Vì tam giác ABC đều nên G là tâm đường tròn ngoại tiếp tam giác ABC.

Do đó, GA = GB = GC = 0,4572 m.

Theo bài ra ta có OA = OB = OC = L nên OG ⊥ (ABC) và Bài 8 trang 81 Toán 12 Cánh diều Tập 1 | Giải Toán 12

Do đó, Bài 8 trang 81 Toán 12 Cánh diều Tập 1 | Giải Toán 12

Vì vậy, tồn tại hằng số c ≠ 0 sao cho: F1→=cOA→;  F2→=cOB→;  F3→=cOC→ .

Suy ra F1→+F2→+F3→=cOA→+OB→+OC→.

Theo quy tắc ba điểm ta có

OA→+OB→+OC→=OG→+GA→+OG→+GB→+OG→+GC→

=3OG→+GA→+GB→+GC→=3OG→

(do G là trọng tâm tam giác ABC nên GA→+GB→+GC→=0→ ).

Do đó, F1→+F2→+F3→=3cOG→.

Mặt khác ta lại có F1→+F2→+F3→=P→, với P→ là trọng lực tác dụng lên chiếc đèn.

Mà trọng lượng tác dụng lên chiếc đèn là 24 N nên Bài 8 trang 81 Toán 12 Cánh diều Tập 1 | Giải Toán 12

Từ đó suy ra Bài 8 trang 81 Toán 12 Cánh diều Tập 1 | Giải Toán 12

Tam giác OAG vuông tại G (do OG ⊥ (ABC)) nên ta suy ra

OG=OA2−GA2=L2−0,45722 (m) với L > 0,4572.

Do đó, Bài 8 trang 81 Toán 12 Cánh diều Tập 1 | Giải Toán 12

Khi đó, Bài 8 trang 81 Toán 12 Cánh diều Tập 1 | Giải Toán 12

Vậy F=FL=8LL2−0,45722 với L > 0,4572.

b) Xét hàm số F=FL=8LL2−0,45722 với L ∈ (0,4572; + ∞).

+ Tập xác định: D = (0,4572; + ∞).

+ Sự biến thiên

– Giới hạn tại vô cực giới hạn vô cực và các đường tiệm cận:

Bài 8 trang 81 Toán 12 Cánh diều Tập 1 | Giải Toán 12 Do đó, đường thẳng F = 8 là tiệm cận ngang của đồ thị hàm số.

Bài 8 trang 81 Toán 12 Cánh diều Tập 1 | Giải Toán 12 Do đó, đường thẳng L = 0,4572 là tiệm cận đứng của đồ thị hàm số.

+ Đạo hàm F‘L=−8⋅0,45722L2−0,45722L2−0,45722 < 0 với mọi L ∈ (0,4572; + ∞).

+ Bảng biến thiên:

Bài 8 trang 81 Toán 12 Cánh diều Tập 1 | Giải Toán 12

Hàm số nghịch biến trên khoảng (0,4572; + ∞).

Hàm số không có cực trị.

+ Đồ thị hàm số được vẽ như hình dưới đây:

Bài 8 trang 81 Toán 12 Cánh diều Tập 1 | Giải Toán 12

c) Ta có lực căng tối đa của mỗi sợi dây là 10 N.

Với F(L) = 10, ta có 8LL2−0,45722=10 . Từ đó suy ra

5L2−0,45722=4L

⇔ 25L2 – 5,255796 = 16L2

⇒ L = 0,762 ∈ (0,4572; + ∞).

Vậy chiều dài tối thiểu của mỗi sợi dây là L = 0,762 m = 76,2 cm = 30 in.

Xem thêm các bài giải bài tập Toán lớp 12 Cánh diều hay, chi tiết khác:

§2. Toạ độ của vectơ

§3. Biểu thức toạ độ của các phép toán vectơ

Bài tập cuối chương 2

§1. Khoảng biến thiên, khoảng tứ phân vị của mẫu số liệu ghép nhóm

§2. Phương sai, độ lệch chuẩn của mẫu số liệu ghép nhóm

Bài tập cuối chương 3

Lý thuyết Biểu thức toạ độ của các phép toán vectơ

1. Biểu thức tọa độ của phép cộng hai vecto, phép trừ hai vecto, phép nhân một số với một vecto

Trong không gian Oxyz, cho hai vecto a→=(x;y;z). và b→=(x′;y′;z′). Ta có:

·       a→+b→=(x+x′;y+y′;z+z′)

·       a→−b→=(x−x′;y−y′;z−z′)

ka→=(kx;ky;kz) với k là một số thực

2. Tọa độ trung điểm đoạn thẳng. Tọa độ trọng tâm tam giác

Trong không gian Oxyz, cho ba điểm không thẳng hàng A(xA;yA;zA),B(xB;yB;zB),C(xC;yC;zC). Khi đó:

·       Tọa độ trung điểm của đoạn thẳng AB là (xA+xB2;yA+yB2;zA+zB2)

Tọa độ trọng tâm tam giác ABC là (xA+xB+xC2;yA+yB+yC2;zA+zB+zC2)

3. Biểu thức tọa độ của tích vô hướng

Trong không gian Oxyz, tích vô hướng của hai vecto a→=(x;y;z) và b→=(x′;y′;z′) được xác định bởi công thức a→⋅b→=xx′+yy′+zz′

4. Cách tìm tọa độ của một vecto vuông góc với hai vecto cho trước

Cho hai vecto a→=(x;y;z) và b→=(x′;y′;z′) không cùng phương.

Khi đó, vecto w→=(yz′−y′z;zx′−z′x;xy′−x′y) vuông góc với cả hai vecto a→ và b→

Tags : Tags 1. Giải sgk Toán 12 Kết nối tri thức | Giải bài tập Toán 12 Kết nối tri thức Tập 1   chi tiết)   Tập 2 (hay
Share
facebookShare on Facebook

Bài liên quan

Giải SGK Toán 12 (Cánh diều): Bài tập cuối chương 3 trang 93

Giải SGK Toán 12 Bài 1 (Cánh diều): Nguyên hàm

Giải sgk Toán 12 Kết nối tri thức | Giải bài tập Toán 12 Kết nối tri thức Tập 1, Tập 2 (hay, chi tiết)

Giải SGK Toán 12 Bài 2 (Cánh diều): Nguyên hàm của mốt số hàm số sơ cấp

Giải sgk Toán 12 Chân trời sáng tạo | Giải bài tập Toán 12 Chân trời sáng tạo Tập 1, Tập 2 (hay, chi tiết)

Giải SGK Toán 12 Bài 3 (Cánh diều): Tích phân

Giải sgk Toán 12 Cánh diều | Giải bài tập Toán 12 Cánh diều Tập 1, Tập 2 (hay, chi tiết)

Giải SGK Toán 12 Bài 4 (Cánh diều): Ứng dụng hình học của tích phân

Leave a Comment Hủy

Mục lục

  1. Giải sgk Toán 12 Kết nối tri thức | Giải bài tập Toán 12 Kết nối tri thức Tập 1, Tập 2 (hay, chi tiết)
  2. Giải sgk Toán 12 Chân trời sáng tạo | Giải bài tập Toán 12 Chân trời sáng tạo Tập 1, Tập 2 (hay, chi tiết)
  3. Giải sgk Toán 12 Cánh diều | Giải bài tập Toán 12 Cánh diều Tập 1, Tập 2 (hay, chi tiết)
  4. Giải SGK Toán 12 Bài 1 (Cánh diều): Tính đơn điệu của hàm số
  5. Giải SGK Toán 12 Bài 2 (Cánh diều): Giá trị lớn nhất và giá trị nhỏ nhất của hàm số
  6. Giải SGK Toán 12 Bài 3 (Cánh diều): Đường tiệm cận của đồ thị hàm số
  7. Giải SGK Toán 12 Bài 4 (Cánh diều): Khảo sát sự biến thiên và vẽ đồ thị của hàm số
  8. Giải SGK Toán 12 (Cánh diều): Bài tập cuối chương 1 trang 45
  9. Giải SGK Toán 12 Chủ đề 1 (Cánh diều): Một số vấn đề về thuế
  10. Giải SGK Toán 12 Bài 1 (Cánh diều): Vectơ và các phép toán vectơ trong không gian
  11. Giải SGK Toán 12 Bài 2 (Cánh diều): Toạ độ của vectơ
  12. Giải SGK Toán 12 (Cánh diều): Bài tập cuối chương 2 trang 82
  13. Giải SGK Toán 12 Bài 1 (Cánh diều): Khoảng biến thiên, khoảng tứ phân vị của mẫu số liệu ghép nhóm
  14. Giải SGK Toán 12 Bài 2 (Cánh diều): Phương sai, độ lệch chuẩn của mẫu số liệu ghép nhóm
  15. Giải SGK Toán 12 (Cánh diều): Bài tập cuối chương 3 trang 93
  16. Giải SGK Toán 12 Bài 1 (Cánh diều): Nguyên hàm
  17. Giải SGK Toán 12 Bài 2 (Cánh diều): Nguyên hàm của mốt số hàm số sơ cấp
  18. Giải SGK Toán 12 Bài 3 (Cánh diều): Tích phân
  19. Giải SGK Toán 12 Bài 4 (Cánh diều): Ứng dụng hình học của tích phân
  20. Giải SGK Toán 12 (Cánh diều): Bài tập cuối chương 4 trang 42
  21. Giải SGK Toán 12 Chủ đề 2 (Cánh diều): Thực hành tạo đồng hồ Mặt Trời
  22. Giải SGK Toán 12 Bài 1 (Cánh diều): Phương trình mặt phẳng
  23. Giải SGK Toán 12 Bài 2 (Cánh diều): Phương trình đường thẳng
  24. Giải SGK Toán 12 Bài 3 (Cánh diều): Phương trình mặt cầu
  25. Giải SGK Toán 12 (Cánh diều): Bài tập cuối chương 5
  26. Giải SGK Toán 12 Bài 1 (Cánh diều): Xác xuất có điều kiện
  27. Giải SGK Toán 12 Bài 2 (Cánh diều): Công thức xác suất toàn phần. Công thức Bayes
  28. Giải SGK Toán 12 (Cánh diều): Bài tập cuối chương 6 trang 103
  29. Giải SGK Toán 12 (Cánh diều): THỰC HÀNH PHẦN MỀM GEOGEBRA

  • Quên mật khẩu
  • Login
  • Đăng ký
Copyright © 2025 Cộng đồng học tập lớp 12
Back to Top
Menu
  • Thi đấu
  • Sitemap
Tài khoản

  • Đăng ký
  • Lost your password ?