Skip to content

Cộng đồng học tập lớp 12

  • Thi đấu
  • Sitemap

Cộng đồng học tập lớp 12

  • Home » 
  • Giải SGK Toán 12 – Cánh diều

Giải SGK Toán 12 (Cánh diều): Bài tập cuối chương 4 trang 42

By Admin Lop12.com 18/02/2025

Giải bài tập Toán 12 Bài tập cuối chương 4 trang 42

Bài tập

Bài 1 trang 42 Toán 12 Tập 2: Cho hàm số f(x) = 2x + ex. Nguyên hàm F(x) của hàm số f(x) trên ℝ sao cho F(0) = 2 023 là:

A. x2 + ex + 2 023.

B. x2 + ex + C.

C. x2 + ex + 2 022.

D. x2 + ex.

Lời giải:

Đáp án đúng là: C

Ta có ∫fxdx=∫2x+exdx=x2+ex+C.

Suy ra F(x) = x2 + ex + C.

Mà F(0) = 2 023 nên 02 + e0 + C = 2 023, suy ra C = 2 022.

Vậy F(x) = x2 + ex + 2 022.

Bài 2 trang 42 Toán 12 Tập 2: Biết F(x) = x3 là một nguyên hàm của hàm số f(x) trên ℝ. Giá trị của ∫122+fxdx bằng:

A. 234.

B. 7.

C. 9.

D. 154.

Lời giải:

Đáp án đúng là: C

Ta có f(x) = F'(x) = (x3)’ = 3x2.

Khi đó ∫122+fxdx=∫122+3x2dx=2x+x312= (2 ∙ 2 + 23) – (2 ∙ 1 + 13) = 9.

Bài 3 trang 42 Toán 12 Tập 2: Biết ∫01fx+2xdx=2. Khi đó, ∫01fxdx bằng:

A. 1.

B. 4.

C. 2.

D. 0.

Lời giải:

Đáp án đúng là: A

Ta có ∫01fx+2xdx=∫01fxdx+∫012xdx.

Lại có ∫012xdx=x201=12−02=1 . Mà ∫01fx+2xdx=2 .

Do đó, ∫01fxdx+1=2. Suy ra ∫01fxdx=1

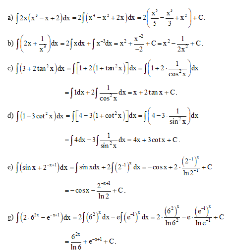
Bài 4 trang 42 Toán 12 Tập 2: Tìm:

Bài 4 trang 42 Toán 12 Cánh diều Tập 2 | Giải Toán 12

Lời giải:

Bài 4 trang 42 Toán 12 Cánh diều Tập 2 | Giải Toán 12

Bài 5 trang 42 Toán 12 Tập 2: a) Cho hàm số f(x) = x2 + e– x. Tìm nguyên hàm F(x) của hàm số f(x) trên ℝ sao cho F(0) = 2 023.

b) Cho hàm số gx=1x (x > 0). Tìm nguyên hàm G(x) của hàm số g(x) trên khoảng (0; + ∞) sao cho G(1) = 2 023.

Lời giải:

a) Ta có ∫fxdx=∫x2+e−xdx=x33−e−x+C.

Suy ra Fx=x33−e−x+C.

Mà F(0) = 2 023 nên 033−e−0+C=2023, suy ra C = 2 024.

Vậy Fx=x33−e−x+2 024.

b) Ta có ∫gxdx=∫1xdx=lnx+C=lnx+C (do x > 0).

Suy ra G(x) = ln x + C.

Mà G(1) = 2 023 nên ln 1 + C = 2 023, suy ra C = 2 023.

Vậy G(x) = ln x + 2 023.

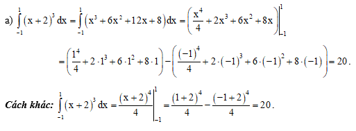
Bài 6 trang 42 Toán 12 Tập 2: Tính:

Bài 6 trang 42 Toán 12 Cánh diều Tập 2 | Giải Toán 12

Lời giải:

Bài 6 trang 42 Toán 12 Cánh diều Tập 2 | Giải Toán 12

Bài 6 trang 42 Toán 12 Cánh diều Tập 2 | Giải Toán 12

Bài 7 trang 42 Toán 12 Tập 2: Một khinh khí cầu bay với độ cao (so với mực nước biển) tại thời điểm t là h(t), trong đó t tính bằng phút, h(t) tính bằng mét. Tốc độ bay của khinh khí cầu được cho bởi hàm số

v(t) = – 0,12t2 + 1,2t,

với t tính bằng phút, v(t) tính bằng mét/phút. Tại thời điểm xuất phát (t = 0), khinh khí cầu ở độ cao 520 m và 5 phút sau khi xuất phát, khinh khí cầu đã ở độ cao 530 m.

(Nguồn: A. Bigalke et al., Mathematik, Grundkurs ma-1, Cornelsen 2016)

a) Viết công thức xác định hàm số h(t) (0 ≤ t ≤ 29).

b) Độ cao tối đa của khinh khí cầu khi bay là bao nhiêu?

c) Khi nào khinh khí cầu sẽ trở lại độ cao khi xuất phát?

Lời giải:

a) Hàm số h(t) là một nguyên hàm của hàm số v(t).

Ta có ∫vtdt=∫−0,12t2+1,2t dt=−0,04t3+0,6t2+C.

Suy ra h(t) = – 0,04t3 + 0,6t2 + C.

Vì với t = 0 thì h = 520, tức là h(0) = 520, suy ra C = 520.

Vậy h(t) = – 0,04t3 + 0,6t2 + 520 (0 ≤ t ≤ 29).

b) Độ cao tối đa của khinh khí cầu khi bay chính là giá trị lớn nhất của hàm số h(t) trên đoạn [0; 29].

Ta có h'(t) = v(t) = – 0,12t2 + 1,2t.

Trên khoảng (0; 29), h'(t) = 0 khi t = 10.

h(0) = 520, h(10) = 540, h(29) = 49,04.

Suy ra max0; 29ht=540 tại t = 10.

Vậy độ cao tối đa của khinh khí cầu là 540 m.

c) Khinh khí cầu trở lại độ cao khi xuất phát khi h(t) = 520, tức là

– 0,04t3 + 0,6t2 + 520 = 520 ⇔ 0,04t3 – 0,6t2 = 0 ⇔ t = 0 hoặc t = 15.

Với t = 0, tức là tại thời điểm xuất phát.

Với t = 15 ∈ [0; 29], thỏa mãn.

Vậy sau 15 phút thì khinh khí cầu trở lại độ cao khi xuất phát.

Bài 8 trang 43 Toán 12 Tập 2: Một công trình xây dựng dự kiến hoàn thành trong 100 ngày. Số lượng công nhân được sử dụng tại thời điểm t cho bởi hàm số

m(t) = 500 + 50 t – 10t,

trong đó t tính theo ngày (0 ≤ t ≤ 100), m(t) tính theo người.

(Nguồn: A. Bigalke et al., Mathematik, Grundkurs ma-1, Cornelsen 2016)

a) Khi nào có 360 công nhân được sử dụng?

b) Khi nào số công nhân được sử dụng lớn nhất?

c) Gọi M(t) là số ngày công được tính đến hết ngày thứ t (kể từ khi khởi công công trình). Trong kinh tế xây dựng, người ta đã biết rằng M'(t) = m(t). Tổng cộng cần bao nhiêu ngày công để hoàn thành công trình xây dựng đó?

Lời giải:

a) Có 360 công nhân được sử dụng khi m(t) = 360, tức là

500 + 50 t– 10t = 360 ⇔ 10t – 50t – 140 = 0 ⇒ t = 7 ⇒ t = 49 ∈ [0; 100].

Vậy đến ngày thứ 49, có 360 công nhân được sử dụng.

b) Số công nhân được sử dụng lớn nhất chính là giá trị lớn nhất của hàm số m(t) trên đoạn [0; 100].

Ta có m'(t) = 25t−10.

Trên khoảng (0; 100), m'(t) = 0 khi t = 6,25.

m(0) = 500; m(6,25) = 562,5; m(100) = 0.

Suy ra max0; 100mt=562,5> khi t = 6,25.

Vậy đến ngày thứ 6 thì số lượng công nhân được sử dụng lớn nhất.

c) Số ngày công để hoàn thành công trình xây dựng đó là:

M=∫0100mtdt=∫0100500+50t−10tdt

=500t+1003tt−5t20100≈33 333,33(ngày công).

Bài 9 trang 43 Toán 12 Tập 2: Trong bài này, ta xét một tình huống giả định có một học sinh sau kì nghỉ đã mang virus cúm quay trở lại khuôn viên trường học biệt lập. Sau khi có sự tiếp xúc giữa các học sinh, virus cúm lây lan trong khuôn viên trường. Giả thiết hệ thống chống dịch chưa được khởi động và virus cúm được lây lan tự nhiên. Gọi P(t) là số học sinh bị nhiễm virus cúm ở ngày thứ t tính từ ngày học sinh mang virus cúm quay trở lại khuôn viên trường. Biết rằng tốc độ lây lan của virus cúm cho bởi công thức P'(t) = – 0,02Ce– 0,02t, trong đó C là hằng số khác 0. Số học sinh bị nhiễm virus cúm sau 4 ngày là 55 học sinh. Xác định số học sinh bị nhiễm virus cúm sau 10 ngày.

Lời giải:

Hàm số P(t) là một nguyên hàm của hàm số P'(t).

Ta có ∫P‘tdt=∫−0,02Ce−0,02t dt=0,02C⋅e−0,02tlne−0,02+C1=−Ce−0,02t+C1.

Suy ra P(t) = – Ce– 0,02t + C1.

Với t = 0 thì P = 1, tức là P(0) = 0, suy ra – C + C1 = 1. (1)

Với t = 4 thì P = 55, tức là P(4), suy ra – Ce– 0,02 ∙ 4 + C1 = 55. (2)

Từ (1) và (2) suy ra C ≈ 702,36; C1 ≈ 703,36.

Vậy số học sinh bị nhiễm virus cúm sau 10 ngày là

P(10) = – 702,36e– 0,02 ∙ 10 + 703,36 ≈ 128 (học sinh).

Bài 10 trang 43 Toán 12 Tập 2: Một chiếc xe ô tô chạy thử nghiệm trên một đường thẳng bắt đầu từ trạng thái đứng yên. Tốc độ của chiếc xe ô tô đó (tính bằng mét/giây) lần lượt ở giây thứ 10, thứ 20, thứ 30, thứ 40, thứ 50 và thứ 60 được ghi lại trong Bảng 1.

Thời gian (giây)

0

10

20

30

40

50

60

Tốc độ (mét/giây)

0

5

21

40

62

78

83

Bảng 1

a) Hãy xây dựng hàm số bậc ba y = f(x) = ax3 + bx2 + cx + d (a ≠ 0) để biểu diễn các số liệu ở Bảng 1, tức là ở hệ trục toạ độ Oxy, đồ thị của hàm số đó trên nửa khoảng [0; +∞) “gần” với các điểm O(0; 0), B(10; 5), C(20; 21), D(30; 40), E(40; 62), G(50; 78), K(60;83) (Nguồn: R. Larson and B. Edwards, Calculus 106, Cengage 2014).

b) Hãy tính (gần đúng) quãng đường mà xe ô tô đó đã đi được tính đến giây thứ 60 của quá trình thử nghiệm.

Lời giải:

a) Hàm số bậc ba y = f(x) = ax3 + bx2 + cx + d (a ≠ 0) đi qua các điểm O(0; 0), B(10; 5), C(20; 21), D(30; 40) nên ta có hệ phương trình sau:

Bài 10 trang 43 Toán 12 Cánh diều Tập 2 | Giải Toán 12

Vậy y = f(x) = −1750x3+19200x2−1960x (x ∈ [0; +∞)).

b) Gọi v(t) là tốc độ của chiếc xe ô tô đó với t tính bằng giây và v(t) tính bằng mét/giây.

Khi đó ta có vt=−1750t3+19200t2−1960t.

Vậy quãng đường mà xe ô tô đó đã đi được tính đến giây thứ 60 của quá trình thử nghiệm là:

S=∫060vtdt=∫060−1750t3+19200t2−1960tdt

=−t43000+19t3600−19t2120060=1 950(m)

Bài 11 trang 44 Toán 12 Tập 2: Giả sử A, B lần lượt là diện tích các hình được tô màu ở Hình 37.

Bài 11 trang 44 Toán 12 Cánh diều Tập 2 | Giải Toán 12

a) Tính các diện tích A, B.

b) Biết B = 3A. Biểu diễn b theo a.

Lời giải:

a) Quan sát Hình 37, ta thấy A là hình phẳng giới hạn bởi đồ thị hàm số y = ex, trục Ox và hai đường thẳng x = 0, x = a (a > 0).

Do đó, A=∫0aexdx=∫0aexdx=ex0a=ea−1.

Tương tự, ta thấy hình B là hình phẳng giới hạn bởi đồ thị hàm số y = ex, trục Ox và hai đường thẳng x = 0, x = b (b > 0).

Do đó, B=∫0bexdx=∫0bexdx=ex0b=eb−1.

b) Ta có B = 3A nên eb – 1 = 3(ea – 1) ⇔ eb = 3ea – 2 ⇔ b = ln (3ea – 2).

Bài 12 trang 44 Toán 12 Tập 2: Hình 38 minh họa mặt cắt đứng của một bức tường cũ có dạng hình chữ nhật với một cổng ra vào có dạng hình parabol với các kích thước được cho như trong hình đó. Người ta dự định sơn lại mặt ngoài của bức tường đó. Chi phí để sơn bức tường là 15 000 đồng/1 m2. Tổng chi phí để sơn lại toàn bộ mặt ngoài của bức tường đó sẽ là bao nhiêu?

Bài 12 trang 44 Toán 12 Cánh diều Tập 2 | Giải Toán 12

Lời giải:

Ta tính diện tích phần cổng hình parabol. Chọn hệ trục tọa độ Oxy với gốc tọa độ O trùng với chân bên trái cổng parabol như hình sau:

Bài 12 trang 44 Toán 12 Cánh diều Tập 2 | Giải Toán 12

Gọi phương trình parabol là y = f(x) = ax2 + bx + c (a ≠ 0).

Parabol đi qua các điểm (0; 0), (2; 4,8) và (4; 0) nên ta có:

Bài 12 trang 44 Toán 12 Cánh diều Tập 2 | Giải Toán 12

Do đó, y = f(x) = – 1,2x2 + 4,8x.

Diện tích phần cổng hình parabol chính là diện tích hình phẳng giới hạn bởi đồ thị hàm số y = f(x) = – 1,2x2 + 4,8x, trục Ox và hai đường thẳng x = 0, x = 4.

Ta có Sp=∫04−1,2x2+4,8xdx=−0,4x3+2,4x204=12,8 (m2).

Diện tích phần mặt ngoài của bức tường cần sơn là:

S = 10 ∙ (2 + 4 + 2) – 12,8 = 67,2 (m2).

Tổng chi phí để sơn lại toàn bộ mặt ngoài của bức tường đó là:

67,2 ∙ 15 000 = 1 008 000 (đồng).

Bài 13 trang 44 Toán 12 Tập 2: Cho khối tròn xoay như Hình 39.

Bài 13 trang 44 Toán 12 Cánh diều Tập 2 | Giải Toán 12

a) Hình phẳng được giới hạn bởi các đường nào để khi quay quanh trục Ox ta được khối tròn xoay như Hình 39?

b) Tính thể tích khối tròn xoay đó.

Lời giải:

a) Hình phẳng được giới hạn bởi đồ thị hàm số f(x) = x2 – 4x + 5, trục Ox và hai đường thẳng x = 1, x = 4; quay hình phẳng này quanh trục Ox ta được khối tròn xoay như Hình 39.

b) Thể tích khối tròn xoay đó là:

Bài 13 trang 44 Toán 12 Cánh diều Tập 2 | Giải Toán 12

Xem thêm các bài giải bài tập Toán lớp 12 Cánh diều hay, chi tiết khác:

§4. Ứng dụng hình học của tích phân

Bài tập cuối chương 4

Chủ đề 2. Thực hành tạo đồng hồ Mặt Trời

§1. Phương trình mặt phẳng

§2. Phương trình đường thẳng

§3. Phương trình mặt cầu

Tags : Tags 1. Giải sgk Toán 12 Kết nối tri thức | Giải bài tập Toán 12 Kết nối tri thức Tập 1   chi tiết)   Tập 2 (hay
Share
facebookShare on Facebook

Bài liên quan

Giải SGK Toán 12 Bài 2 (Cánh diều): Phương sai, độ lệch chuẩn của mẫu số liệu ghép nhóm

Giải SGK Toán 12 (Cánh diều): Bài tập cuối chương 3 trang 93

Giải sgk Toán 12 Kết nối tri thức | Giải bài tập Toán 12 Kết nối tri thức Tập 1, Tập 2 (hay, chi tiết)

Giải SGK Toán 12 Bài 1 (Cánh diều): Nguyên hàm

Giải sgk Toán 12 Chân trời sáng tạo | Giải bài tập Toán 12 Chân trời sáng tạo Tập 1, Tập 2 (hay, chi tiết)

Giải SGK Toán 12 Bài 2 (Cánh diều): Nguyên hàm của mốt số hàm số sơ cấp

Giải sgk Toán 12 Cánh diều | Giải bài tập Toán 12 Cánh diều Tập 1, Tập 2 (hay, chi tiết)

Giải SGK Toán 12 Bài 3 (Cánh diều): Tích phân

Mục lục

  1. Giải sgk Toán 12 Kết nối tri thức | Giải bài tập Toán 12 Kết nối tri thức Tập 1, Tập 2 (hay, chi tiết)
  2. Giải sgk Toán 12 Chân trời sáng tạo | Giải bài tập Toán 12 Chân trời sáng tạo Tập 1, Tập 2 (hay, chi tiết)
  3. Giải sgk Toán 12 Cánh diều | Giải bài tập Toán 12 Cánh diều Tập 1, Tập 2 (hay, chi tiết)
  4. Giải SGK Toán 12 Bài 1 (Cánh diều): Tính đơn điệu của hàm số
  5. Giải SGK Toán 12 Bài 2 (Cánh diều): Giá trị lớn nhất và giá trị nhỏ nhất của hàm số
  6. Giải SGK Toán 12 Bài 3 (Cánh diều): Đường tiệm cận của đồ thị hàm số
  7. Giải SGK Toán 12 Bài 4 (Cánh diều): Khảo sát sự biến thiên và vẽ đồ thị của hàm số
  8. Giải SGK Toán 12 (Cánh diều): Bài tập cuối chương 1 trang 45
  9. Giải SGK Toán 12 Chủ đề 1 (Cánh diều): Một số vấn đề về thuế
  10. Giải SGK Toán 12 Bài 1 (Cánh diều): Vectơ và các phép toán vectơ trong không gian
  11. Giải SGK Toán 12 Bài 2 (Cánh diều): Toạ độ của vectơ
  12. Giải SGK Toán 12 Bài 3 (Cánh diều): Biểu thức toạ độ của các phép toán vectơ
  13. Giải SGK Toán 12 (Cánh diều): Bài tập cuối chương 2 trang 82
  14. Giải SGK Toán 12 Bài 1 (Cánh diều): Khoảng biến thiên, khoảng tứ phân vị của mẫu số liệu ghép nhóm
  15. Giải SGK Toán 12 Bài 2 (Cánh diều): Phương sai, độ lệch chuẩn của mẫu số liệu ghép nhóm
  16. Giải SGK Toán 12 (Cánh diều): Bài tập cuối chương 3 trang 93
  17. Giải SGK Toán 12 Bài 1 (Cánh diều): Nguyên hàm
  18. Giải SGK Toán 12 Bài 2 (Cánh diều): Nguyên hàm của mốt số hàm số sơ cấp
  19. Giải SGK Toán 12 Bài 3 (Cánh diều): Tích phân
  20. Giải SGK Toán 12 Bài 4 (Cánh diều): Ứng dụng hình học của tích phân
  21. Giải SGK Toán 12 Chủ đề 2 (Cánh diều): Thực hành tạo đồng hồ Mặt Trời
  22. Giải SGK Toán 12 Bài 1 (Cánh diều): Phương trình mặt phẳng
  23. Giải SGK Toán 12 Bài 2 (Cánh diều): Phương trình đường thẳng
  24. Giải SGK Toán 12 Bài 3 (Cánh diều): Phương trình mặt cầu
  25. Giải SGK Toán 12 (Cánh diều): Bài tập cuối chương 5
  26. Giải SGK Toán 12 Bài 1 (Cánh diều): Xác xuất có điều kiện
  27. Giải SGK Toán 12 Bài 2 (Cánh diều): Công thức xác suất toàn phần. Công thức Bayes
  28. Giải SGK Toán 12 (Cánh diều): Bài tập cuối chương 6 trang 103
  29. Giải SGK Toán 12 (Cánh diều): THỰC HÀNH PHẦN MỀM GEOGEBRA

  • Quên mật khẩu
  • Login
  • Đăng ký
Copyright © 2025 Cộng đồng học tập lớp 12
Back to Top
Menu
  • Thi đấu
  • Sitemap
Tài khoản

  • Đăng ký
  • Lost your password ?