Giải bài tập Toán 12 Bài 4: Khảo sát sự biến thiên và vẽ đồ thị của hàm số
Câu hỏi khởi động trang 28 Toán 12 Tập 1: Trong 20 phút theo dõi, lưu lượng nước của một con sông được tính theo công thức
Q(t) = ,
trong đó Q được tính theo m3/phút, t tính theo phút, 0 ≤ t ≤ 20 (Nguồn: A. Bigalke et al., Mathematik, Grundkurs ma-1, Cornelsen 2016). Khi lưu lượng nước của con sông lên đến 550 m3/phút thì cảnh báo lũ được đưa ra.
Trong thời gian theo dõi, lưu lượng nước của con sông lớn nhất là bao nhiêu? Cảnh báo lũ được đưa ra vào thời điểm nào?
Lời giải:
Xét hàm số Q(t) = với t ∈ [0; 20].
Ta có Q'(t) = ;
Q'(t) = 0 hoặc t = 0.
Bảng biến thiên của hàm số trên đoạn [0; 20] như sau:
Từ bảng biến thiên suy ra Q(t) = tại , tức là lưu lượng nước của con sông lớn nhất là m3/phút tại thời điểm phút.
Cảnh báo lũ được đưa ra khi lưu lượng nước của con sông lên đến 550 m3/phút, tức là Q(t) ≥ 550 ⇔ ≥ 550 ⇔ ≥ 0 .
Lại có t ∈ [0; 20] nên .
Vậy tại thời điểm t ∈ [15; 5 +5] phút thì cảnh báo lũ được đưa ra.
I. Sơ đồ khảo sát hàm số
Hoạt động 1 trang 28 Toán 12 Tập 1: Lập bảng biến thiên và vẽ đồ thị của hàm số y = x2 – 2x – 3.
Lời giải:
● Tập xác định của hàm số đã cho là ℝ.
● Ta có y’ = 2x – 2;
y’ = 0 ⇔ 2x – 2 = 0 ⇔ x = 1.
Bảng biến thiên của hàm số như sau:
● Vẽ đồ thị hàm số:
Hàm số y = x2 – 2x – 3 là hàm số bậc hai nên đồ thị của nó là một parabol có:
+ Đỉnh I(1; – 4);
+ Giao với trục hoành tại các điểm A(3; 0) và B(– 1; 0);
+ Giao với trục tung tại điểm C(0; – 3).
Ta vẽ được đồ thị hàm số đã cho như sau:
Luyện tập 1 trang 29 Toán 12 Tập 1: Khảo sát sự biến thiên và vẽ đồ thị của hàm số
Lời giải:
1) Tập xác định: ℝ \ {– 1}.
2) Sự biến thiên
● Giới hạn tại vô cực, giới hạn vô cực và các đường tiệm cận:
y = + ,y = – . Do đó, đường thẳng x = – 1 là tiệm cận đứng của đồ thị hàm số.
y = 1, = 1. Do đó, đường thẳng y = 1 là tiệm cận ngang của đồ thị hàm số.
● , với mọi x ≠ – 1.
● Bảng biến thiên:
Hàm số đồng biến trên mỗi khoảng (– ∞; – 1) và (– 1; + ∞).
Hàm số không có cực trị.
3) Đồ thị
● Giao điểm của đồ thị với trục tung: (0; – 1).
● Giao điểm của đồ thị với trục hoành: (1; 0).
● Đồ thị hàm số đi qua các điểm (0; – 1), (1; 0), (– 2; 3) và (– 3; 2).
● Đồ thị hàm số nhận giao điểm I(– 1; 1) của hai đường tiệm cận của đồ thị làm tâm đối xứng và nhận hai đường phân giác của các góc tạo bởi hai đường tiệm cận đó làm trục đối xứng.
Vậy đồ thị hàm số được cho ở hình trên.
II. Khảo sát sự biến thiên và vẽ đồ thị hàm số bậc ba
Luyện tập 2 trang 30 Toán 12 Tập 1: Khảo sát sự biến thiên và vẽ đồ thị của mỗi hàm số sau:
a) y = – x3 + 3x – 2;
b) y = x3 + 3x2 + 3x + 1.
Lời giải:
a) y = – x3 + 3x – 2
1) Tập xác định: ℝ.
2) Sự biến thiên:
● Giới hạn tại vô cực: y = – , y = +.
● y’ = – 3x2 + 3 = – 3(x2 – 1);
y’ = 0 ⇔ – 3(x2 – 1) = 0 ⇔ x = 1 hoặc x = – 1.
● Bảng biến thiên:
Hàm số đã cho đồng biến trên khoảng (– 1; 1), nghịch biến trên mỗi khoảng (– ∞; – 1) và (1; + ∞).
Hàm số đạt cực đại tại x = 1, yCĐ = 0; hàm số đạt cực tiểu tại x = – 1, yCT = – 4.
3) Đồ thị
● Giao điểm của đồ thị với trục tung: (0; – 2).
● Giao điểm của đồ thị với trục hoành:
Xét phương trình – x3 + 3x – 2 = 0 ⇔ – (x – 1)2(x + 2) = 0 ⇔ x = 1 hoặc x = – 2.
Vậy đồ thị hàm số giao với trục hoành tại hai điểm (1; 0) và (– 2; 0).
● Đồ thị hàm số đi qua các điểm (– 2; 0), (0; – 2), (1; 0) và (– 1; – 4).
Vậy đồ thị hàm số y = – x3 + 3x – 2 được cho như hình trên.
Tâm đối xứng của đồ thị hàm số đó là điểm I(0; – 2).
b) y = x3 + 3x2 + 3x + 1
1) Tập xác định: ℝ.
2) Sự biến thiên:
● Giới hạn tại vô cực: y = +, = – .
● y’ = 3x2 + 6x + 3 = 3(x + 1)2;
y’ ≥ 0 với mọi x ∈ ℝ;
y’ = 0 khi x = – 1.
● Bảng biến thiên:
Hàm số đồng biến trên khoảng (– ∞; + ∞).
Hàm số không có cực trị.
3) Đồ thị
● Giao điểm của đồ thị với trục tung: (0; 1).
● Giao điểm của đồ thị với trục hoành:
Giải phương trình x3 + 3x2 + 3x + 1 = 0 ta được x = – 1.
Vậy đồ thị hàm số giao với trục hoành tại điểm (– 1; 0).
● Đồ thị hàm số đi qua các điểm (– 1; 0), (0; 1), (– 2; – 1).
Vậy đồ thị hàm số y = x3 + 3x2 + 3x + 1 được cho như hình vẽ trên.
Tâm đối xứng của đồ thị hàm số đó là điểm I(– 1; 0).
III. Khảo sát sự biến thiên và vẽ đồ thị của một số hàm phân thức hữu tỉ
Luyện tập 3 trang 31 Toán 12 Tập 1: Khảo sát sự biến thiên và vẽ đồ thị hàm số
Lời giải:
1) Tập xác định: ℝ \ {2}.
2) Sự biến thiên
● Giới hạn tại vô cực, giới hạn vô cực và các đường tiệm cận:
y = +, y = – . Do đó, đường thẳng x = 2 là tiệm cận đứng của đồ thị hàm số.
y = -2, y = – 2. Do đó, đường thẳng y = – 2 là tiệm cận ngang của đồ thị hàm số.
● > 0, với mọi x ≠ 2.
● Bảng biến thiên:
Hàm số đồng biến trên mỗi khoảng (– ∞; 2) và (2; + ∞).
Hàm số không có cực trị.
3) Đồ thị
● Giao điểm của đồ thị với trục tung: (0; 3).
● Giao điểm của đồ thị với trục hoành: (– 3; 0).
● Đồ thị hàm số đi qua các điểm (0; 3), (– 3; 0), (4; – 7) và (7; – 4).
● Đồ thị hàm số nhận giao điểm I(2; – 2) của hai đường tiệm cận của đồ thị làm tâm đối xứng và nhận hai đường phân giác của các góc tạo bởi hai đường tiệm cận đó làm trục đối xứng.
Vậy đồ thị hàm số được cho ở hình trên.
Luyện tập 4 trang 32 Toán 12 Tập 1: Khảo sát sự biến thiên và vẽ đồ thị hàm số
Lời giải:
1) Tập xác định: ℝ \ {2}.
2) Sự biến thiên
● Giới hạn tại vô cực, giới hạn vô cực và các đường tiệm cận:
y = – , y = +. Do đó, đường thẳng x = 2 là tiệm cận đứng của đồ thị hàm số.
y = – 1, y = – 1. Do đó, đường thẳng y = – 1 là tiệm cận ngang của đồ thị hàm số.
● < 0, với mọi x ≠ 2.
● Bảng biến thiên:
Hàm số nghịch biến trên mỗi khoảng (– ∞; 2) và (2; + ∞).
Hàm số không có cực trị.
3) Đồ thị
● Giao điểm của đồ thị với trục tung: .
● Giao điểm của đồ thị với trục hoành: (3; 0).
● Đồ thị hàm số đi qua các điểm , (3; 0), (1; – 2) và .
● Đồ thị hàm số nhận giao điểm I(2; – 1) của hai đường tiệm cận của đồ thị làm tâm đối xứng và nhận hai đường phân giác của các góc tạo bởi hai đường tiệm cận đó làm trục đối xứng.
Vậy đồ thị hàm số được cho ở hình trên.
Luyện tập 5 trang 34 Toán 12 Tập 1: Khảo sát sự biến thiên và vẽ đồ thị hàm số .
Lời giải:
1) Tập xác định: ℝ \ {– 1}.
2) Sự biến thiên
● Giới hạn tại vô cực, giới hạn vô cực và các đường tiệm cận:
Ta viết hàm số đã cho dưới dạng: y = 1 – x – .
y = – , y = +.
y = +,y = – . Do đó, đường thẳng x = – 1 là tiệm cận đứng của đồ thị hàm số.
[ y – (1 – x)] = = 0, [ y – (1 – x)] = =0. Do đó, đường thẳng y = 1 – x là tiệm cận xiên của đồ thị hàm số.
● ;
y’ = 0 ⇔ – x2 – 2x = 0 ⇔ x = 0 hoặc x = – 2.
● Bảng biến thiên:
Hàm số đồng biến trên mỗi khoảng (– 2; – 1) và (– 1; 0); nghịch biến trên mỗi khoảng (– ∞; – 2) và (0; + ∞).
Hàm số đạt cực đại tại x = 0, yCĐ = 0; đạt cực tiểu tại x = – 2, yCT = 4.
3) Đồ thị
● Đồ thị hàm số đi qua gốc tọa độ O(0; 0).
● Đồ thị hàm số đi qua các điểm (0; 0), (– 2; 4), và .
● Đồ thị hàm số nhận giao điểm I(– 1; 2) của hai đường tiệm cận của đồ thị làm tâm đối xứng và nhận hai đường phân giác của các góc tạo bởi hai đường tiệm cận đó làm trục đối xứng.
Vậy đồ thị hàm số được cho ở hình trên.
Luyện tập 6 trang 35 Toán 12 Tập 1: Khảo sát sự biến thiên và vẽ đồ thị hàm số .
Lời giải:
1) Tập xác định: ℝ \ {1}.
2) Sự biến thiên
● Giới hạn tại vô cực, giới hạn vô cực và các đường tiệm cận:
Ta viết hàm số đã cho dưới dạng: y = x + 2 – .
y = +, y = – .
y = + ,y = – . Do đó, đường thẳng x = 1 là tiệm cận đứng của đồ thị hàm số.
[ y – (x + 2)] = = 0, [ y – (x + 2)] = = 0. Do đó, đường thẳng y = x + 2 là tiệm cận xiên của đồ thị hàm số.
● > 0 với mọi x ≠ 1.
● Bảng biến thiên:
Hàm số đồng biến trên mỗi khoảng (– ∞; 1) và (1; + ∞).
Hàm số không có cực trị.
3) Đồ thị
● Giao điểm của đồ thị với trục tung: (0; 3).
● Đồ thị hàm số cắt trục hoành tại các điểm , .
● Đồ thị hàm số đi qua các điểm (0; 3), , và (2; 3).
● Đồ thị hàm số nhận giao điểm I(1; 3) của hai đường tiệm cận của đồ thị làm tâm đối xứng và nhận hai đường phân giác của các góc tạo bởi hai đường tiệm cận đó làm trục đối xứng.
Vậy đồ thị hàm số được cho ở hình trên.
IV. Ứng đụng đạo hàm và khảo sát hàm số để giải quyết một số vấn đề liên quan đến thực tiễn
Luyện tập 7 trang 41 Toán 12 Tập 1: Trong Ví dụ 9, góc dốc của con đường trên đoạn [– 1 000; 1 000] lớn nhất tại điểm nào?
Lời giải:
Xét hàm số
với x ∈ [– 1 000; 1 000].
Ta có .
Trên đoạn (– 1 000; 1 000), f'(x) = 0 khi .
Bài tập
Bài 1 trang 42 Toán 12 Tập 1: Đồ thị hàm số y = x3 – 3x – 1 là đường cong nào trong các đường cong sau?
A.
B.
C.
D.
Lời giải:
Đáp án đúng là: B
Hàm số đã cho có tập xác định là ℝ.
Ta có y’ = 3x2 – 3;
y’ = 0 ⇔ x = – 1 hoặc x = 1.
Bảng biến thiên của hàm số là
Do đó, đồ thị của hàm số y = x3 – 3x – 1 là
Bài 2 trang 42 Toán 12 Tập 1: Đường cong ở Hình 29 là đồ thị của hàm số:
A. y = x3 + x2 + 2x + 2.
B. y = – x3 – 4x2 – x + 2.
C. y = x3 + 3x2 – 4x + 2.
D. y = x3 + 3x2 + 4x + 2.
Lời giải:
Đáp án đúng là: D
Ta thấy đồ thị hàm số đi lên từ trái qua phải nên loại đáp án B.
Đồ thị hàm số đi qua điểm (– 2; – 2) nên thay vào các đáp án ta loại được đáp án A và đáp án C. Vậy đường cong trong Hình 29 là đồ thị hàm số ở đáp án D.
Bài 3 trang 43 Toán 12 Tập 1: Đường cong nào sau đây là đồ thị của hàm số ?
A.
B.
C.
D.
Lời giải:
Đáp án đúng là: B
Ta có y = -1,y = – 1 nên đường thẳng y = – 1 là tiệm cận ngang của đồ thị hàm số .
y = – ,y = + nên đường thẳng x = – 1 là tiệm cận đứng của đồ thị hàm số .
Vậy đường cong trong đáp án B là đồ thị của hàm số đã cho.
Bài 4 trang 43 Toán 12 Tập 1: Đường cong ở Hình 30 là đồ thị của hàm số:
Lời giải:
Đáp án đúng là: A
Đồ thị hàm số trong Hình 30 cắt trục tung tại điểm (0; – 2) và có tiệm cận đứng là đường thẳng x = – 1 và tiệm cận xiên là đường thẳng y = – x – 1.
Thay tọa độ điểm (0; – 2) vào các hàm số ở các đáp án ta loại được đáp án B và D.
Ta thấy đường thẳng x = – 1 là tiệm cận đứng của đồ thị hàm số và đường thẳng x = 1 là tiệm cận đứng của đồ thị hàm số .
Vậy đường cong trong Hình 30 là đồ thị của hàm số .
Bài 5 trang 43 Toán 12 Tập 1: Khảo sát sự biến thiên và vẽ đồ thị của các hàm số sau:
a) y = 2x3 – 3x2 + 1;
b) y = – x3 + 3x2 – 1;
c) y = (x – 2)3 + 4;
d) y = – x3 + 3x2 – 3x + 2;
e)
g) y = – x3 – 3x.
Lời giải:
a) y = 2x3 – 3x2 + 1
1) Tập xác định: ℝ.
2) Sự biến thiên:
● Giới hạn tại vô cực: y = +, y = – .
● y’ = 6x2 – 6x;
y’ = 0 ⇔ 6x2 – 6x = 0 ⇔ x = 0 hoặc x = 1.
● Bảng biến thiên:
Hàm số đã cho đồng biến trên mỗi khoảng (– ∞; 0) và (1; + ∞); nghịch biến trên khoảng (0; 1).
Hàm số đạt cực đại tại x = 0, yCĐ = 1; đạt cực tiểu tại x = 1, yCT = 0.
3) Đồ thị
● Giao điểm của đồ thị với trục tung: (0; 1).
● Giao điểm của đồ thị với trục hoành:
Giải phương trình 2x3 – 3x2 + 1 = 0 ta được x = hoặc x = 1.
Vậy đồ thị hàm số giao với trục hoành tại các điểm , (1; 0).
● Đồ thị hàm số đi qua các điểm (1; 0), (0; 1), , (– 1; – 4) và .
Vậy đồ thị hàm số y = 2x3 – 3x2 + 1 được cho như hình vẽ trên.
Tâm đối xứng của đồ thị hàm số đó là điểm I.
b) y = – x3 + 3x2 – 1
1) Tập xác định: ℝ.
2) Sự biến thiên:
● Giới hạn tại vô cực: y = – ∞, y = + ∞.
● y’ = – 3x2 + 6x;
y’ = 0 ⇔ – 3x2 + 6x = 0 ⇔ x = 0 hoặc x = 2.
● Bảng biến thiên:
Hàm số đã cho đồng biến trên khoảng (0; 2); nghịch biến trên mỗi khoảng (– ∞; 0) và (2; + ∞).
Hàm số đạt cực đại tại x = 2, yCĐ = 3; đạt cực tiểu tại x = 0, yCT = – 1.
3) Đồ thị
● Giao điểm của đồ thị với trục tung: (0; – 1).
● Giao điểm của đồ thị với trục hoành:
Giải phương trình – x3 + 3x2 – 1 = 0, ta thấy phương trình có 3 nghiệm phân biệt nên đồ thị hàm số cắt trục hoành tại 3 điểm.
● Đồ thị hàm số đi qua các điểm (– 1; 3), (0; – 1), (1; 1), (2; 3) và (3; – 1).
Vậy đồ thị hàm số y = – x3 + 3x2 – 1 được cho như hình vẽ trên.
Tâm đối xứng của đồ thị hàm số đó là điểm I(1; 1).
c) Ta có y = (x – 2)3 + 4 = x3 – 6x2 + 12x – 8 + 4 = x3 – 6x2 + 12x – 4.
1) Tập xác định: ℝ.
2) Sự biến thiên:
● Giới hạn tại vô cực: y = +, y = – .
● y’ = 3x2 – 12x + 12 = 3(x – 2)2;
y’ ≥ 0 với mọi x ∈ ℝ.
y’ = 0 khi x = 2.
● Bảng biến thiên:
Hàm số đồng biến trên khoảng (– ∞; + ∞).
Hàm số không có cực trị.
3) Đồ thị
● Giao điểm của đồ thị với trục tung: (0; – 4).
● Giao điểm của đồ thị với trục hoành:
Giải phương trình x3 – 6x2 + 12x – 4 = 0, ta thấy phương trình có 1 nghiệm nên đồ thị hàm số cắt trục hoành tại 1 điểm.
● Đồ thị hàm số đi qua các điểm (0; – 4), (1; 3), (2; 4) và (3; 5).
Vậy đồ thị hàm số y = (x – 2)3 + 4 được cho như hình vẽ trên.
Tâm đối xứng của đồ thị hàm số đó là điểm I(2; 4).
d) y = – x3 + 3x2 – 3x + 2
1) Tập xác định: ℝ.
2) Sự biến thiên:
● Giới hạn tại vô cực: y = – ∞, y = + ∞.
● y’ = – 3x2 + 6x – 3 = – 3(x – 1)2 ≤ 0 với mọi x ∈ ℝ;
y’ = 0 khi x = 1.
● Bảng biến thiên:
Hàm số đã cho nghịch biến trên khoảng (– ∞; + ∞).
Hàm số không có cực trị.
3) Đồ thị
● Giao điểm của đồ thị với trục tung: (0; 2).
● Giao điểm của đồ thị với trục hoành:
Giải phương trình – x3 + 3x2 – 3x + 2 = 0 ta được x = 2.
Vậy đồ thị hàm số cắt trục hoành tại điểm (2; 0).
● Đồ thị hàm số đi qua các điểm (0; 2), (2; 0) và (1; 1).
Vậy đồ thị hàm số y = – x3 + 3x2 – 3x + 2 được cho như hình vẽ trên.
Tâm đối xứng của đồ thị hàm số đó là điểm I(1; 1).
e)
1) Tập xác định: ℝ.
2) Sự biến thiên:
● Giới hạn tại vô cực: y = + ∞, y = – ∞.
● y’ = x2 + 2x + 2 = (x + 1)2 + 1 > 0 với mọi x ∈ ℝ;
● Bảng biến thiên:
Hàm số đã cho đồng biến trên khoảng (– ∞; + ∞).
Hàm số không có cực trị.
3) Đồ thị
● Giao điểm của đồ thị với trục tung: (0; 1).
● Giao điểm của đồ thị với trục hoành:
Giải phương trình = 0 ta thấy có 1 nghiệm nên đồ thị hàm số cắt trục hoành tại 1 điểm.
● Đồ thị hàm số đi qua các điểm (0; 1), .
Vậy đồ thị hàm số y = được cho như hình vẽ trên.
Tâm đối xứng của đồ thị hàm số đó là điểm I.
g) y = – x3 – 3x
1) Tập xác định: ℝ.
2) Sự biến thiên:
● Giới hạn tại vô cực: y = – ∞, y = + ∞.
● y’ = – 3x2 – 3 = – 3(x2 + 1) < 0 với mọi x ∈ ℝ;
● Bảng biến thiên:
Hàm số đã cho nghịch biến trên khoảng (– ∞; + ∞).
Hàm số không có cực trị.
3) Đồ thị
● Đồ thị hàm số đi qua gốc tọa độ O(0; 0).
● Đồ thị hàm số đi qua các điểm (0; 0), (– 1; 4) và (1; – 4).
Vậy đồ thị hàm số y = – x3 – 3x được cho như hình vẽ trên.
Tâm đối xứng của đồ thị hàm số đó là điểm O(0; 0).
Bài 6 trang 43 Toán 12 Tập 1: Khảo sát sự biến thiên và vẽ đồ thị của các hàm số sau:
Lời giải:
a)
1) Tập xác định: ℝ \ {– 1}.
2) Sự biến thiên
● Giới hạn tại vô cực, giới hạn vô cực và các đường tiệm cận:
y = + ∞, y = – ∞. Do đó, đường thẳng x = – 1 là tiệm cận đứng của đồ thị hàm số.
y = 1,y = 1. Do đó, đường thẳng y = 1 là tiệm cận ngang của đồ thị hàm số.
● > 0, với mọi x ≠ – 1.
● Bảng biến thiên:
Hàm số đồng biến trên mỗi khoảng (– ∞; – 1) và (– 1; + ∞).
Hàm số không có cực trị.
3) Đồ thị
● Giao điểm của đồ thị với trục tung: (0; – 1).
● Giao điểm của đồ thị với trục hoành: (1; 0).
● Đồ thị hàm số đi qua các điểm (0; – 1), (1; 0), (– 2; 3) và (– 3; 2).
● Đồ thị hàm số nhận giao điểm I(– 1; 1) của hai đường tiệm cận của đồ thị làm tâm đối xứng và nhận hai đường phân giác của các góc tạo bởi hai đường tiệm cận đó làm trục đối xứng.
Vậy đồ thị hàm số được cho ở hình trên.
b)
1) Tập xác định: ℝ \ {– 1}.
2) Sự biến thiên
● Giới hạn tại vô cực, giới hạn vô cực và các đường tiệm cận:
y = – ∞, y = + ∞. Do đó, đường thẳng x = – 1 là tiệm cận đứng của đồ thị hàm số.
y = – 2,y = – 2. Do đó, đường thẳng y = – 2 là tiệm cận ngang của đồ thị hàm số.
● < 0, với mọi x ≠ – 1 .
● Bảng biến thiên:
Hàm số nghịch biến trên mỗi khoảng (– ∞; – 1) và (– 1; + ∞).
Hàm số không có cực trị.
3) Đồ thị
● Đồ thị hàm số đi qua gốc tọa độ O(0; 0).
● Đồ thị hàm số đi qua các điểm (– 3; – 3), (– 2; – 4), (0; 0) và (1; – 1).
● Đồ thị hàm số nhận giao điểm I(– 1; – 2) của hai đường tiệm cận của đồ thị làm tâm đối xứng và nhận hai đường phân giác của các góc tạo bởi hai đường tiệm cận đó làm trục đối xứng.
Vậy đồ thị hàm số được cho ở hình trên.
c)
1) Tập xác định: ℝ \ {1}.
2) Sự biến thiên
● Giới hạn tại vô cực, giới hạn vô cực và các đường tiệm cận:
Ta viết hàm số đã cho dưới dạng: .
y = + ∞,y = – ∞.
y = – ∞, y = + ∞. Do đó, đường thẳng x = 1 là tiệm cận đứng của đồ thị hàm số.
[y – (x – 2)] = = 0, [y – (x – 2)]= = 0. Do đó, đường thẳng y = x – 2 là tiệm cận xiên của đồ thị hàm số.
● ;
y’ = 0 ⇔ x2 – 2x – 3 = 0 ⇔ x = – 1 hoặc x = 3.
● Bảng biến thiên:
Hàm số đồng biến trên mỗi khoảng (– ∞; – 1) và (3; + ∞); nghịch biến trên mỗi khoảng (– 1; 1) và (1; 3).
Hàm số đạt cực đại tại x = – 1, yCĐ = – 5; đạt cực tiểu tại x = 3, yCT = 3.
3) Đồ thị
● Giao điểm của đồ thị với trục tung: (0; – 6).
● Đồ thị hàm số không cắt trục hoành.
● Đồ thị hàm số đi qua các điểm (– 3; – 6), (– 1; – 5), (0; – 6), (2; 4), (3; 3) và (5; 4).
● Đồ thị hàm số nhận giao điểm I(1; – 1) của hai đường tiệm cận của đồ thị làm tâm đối xứng và nhận hai đường phân giác của các góc tạo bởi hai đường tiệm cận đó làm trục đối xứng.
Vậy đồ thị hàm số được cho ở hình trên.
d)
1) Tập xác định: ℝ \ {2}.
2) Sự biến thiên
● Giới hạn tại vô cực, giới hạn vô cực và các đường tiệm cận:
Ta viết hàm số đã cho dưới dạng: .
y = – ∞,y = + ∞.
y = + ∞, y = – ∞. Do đó, đường thẳng x = 2 là tiệm cận đứng của đồ thị hàm số.
[y – (-x)] = = 0, [y – (-x)] = = 0. Do đó, đường thẳng y = – x là tiệm cận xiên của đồ thị hàm số.
● ;
y’ = 0 ⇔ – x2 + 4x = 0 ⇔ x = 0 hoặc x = 4.
● Bảng biến thiên:
Hàm số đã cho đồng biến trên mỗi khoảng (0; 2) và (2; 4); nghịch biến trên mỗi khoảng (– ∞; 0) và (4; + ∞).
Hàm số đạt cực đại tại x = 4, yCĐ = – 6; đạt cực tiểu tại x = 0, yCT = 2.
3) Đồ thị
● Giao điểm của đồ thị với trục tung: (0; 2).
● Đồ thị hàm số không cắt trục hoành.
● Đồ thị hàm số đi qua các điểm (– 2; 3), (0; 2), (1; 3), (3; – 7), (4; – 6) và (6; – 7).
● Đồ thị hàm số nhận giao điểm I(2; – 2) của hai đường tiệm cận của đồ thị làm tâm đối xứng và nhận hai đường phân giác của các góc tạo bởi hai đường tiệm cận đó làm trục đối xứng.
Vậy đồ thị hàm số được cho ở hình trên.
e)
1) Tập xác định: ℝ \ {– 2}.
2) Sự biến thiên
● Giới hạn tại vô cực, giới hạn vô cực và các đường tiệm cận:
Ta viết hàm số đã cho dưới dạng: .
y = + ∞,y = – ∞.
y = + ∞, y = – ∞. Do đó, đường thẳng x = – 2 là tiệm cận đứng của đồ thị hàm số.
[y – (2x – 1)] = = 0, [y – (2x – 1)] = = 0. Do đó, đường thẳng y = 2x – 1 là tiệm cận xiên của đồ thị hàm số.
● > 0 với mọi x ≠ – 2;
● Bảng biến thiên:
Hàm số đồng biến trên mỗi khoảng (– ∞; – 2) và (– 2; + ∞).
Hàm số không có cực trị.
3) Đồ thị
● Giao điểm của đồ thị với trục tung: .
● Giao điểm của đồ thị với trục hoành:
Giải phương trình ta được x = 1 và .
Vậy đồ thị hàm số cắt trục hoành tại hai điểm (1; 0) và .
● Đồ thị hàm số đi qua các điểm (– 3; – 4), , (– 1; – 6), và (1; 0).
● Đồ thị hàm số nhận giao điểm I(– 2; – 5) của hai đường tiệm cận của đồ thị làm tâm đối xứng và nhận hai đường phân giác của các góc tạo bởi hai đường tiệm cận đó làm trục đối xứng.
Vậy đồ thị hàm số được cho ở hình trên.
g)
1) Tập xác định: ℝ \ {2}.
2) Sự biến thiên
● Giới hạn tại vô cực, giới hạn vô cực và các đường tiệm cận:
Ta viết hàm số đã cho dưới dạng: .
y = – ∞,y = + ∞.
y = – ∞, y = + ∞. Do đó, đường thẳng x = 2 là tiệm cận đứng của đồ thị hàm số.
[y – (-x)] = = 0, [y – (-x)] = = 0. Do đó, đường thẳng y = – x là tiệm cận xiên của đồ thị hàm số.
● < 0 với mọi x ≠ 2.
● Bảng biến thiên:
Hàm số đã cho nghịch biến trên mỗi khoảng (– ∞; 2) và (2; + ∞).
Hàm số không có cực trị.
3) Đồ thị
● Giao điểm của đồ thị với trục tung: .
● Giao điểm của đồ thị với trục hoành:
Giải phương trình ta được x = – 1 và x = 3.
Vậy đồ thị hàm số cắt trục hoành tại hai điểm (– 1; 0) và (3; 0).
● Đồ thị hàm số đi qua các điểm (– 1; 0), , (1; – 4), (3; 0) và (5; – 4).
● Đồ thị hàm số nhận giao điểm I(2; – 2) của hai đường tiệm cận của đồ thị làm tâm đối xứng và nhận hai đường phân giác của các góc tạo bởi hai đường tiệm cận đó làm trục đối xứng.
Vậy đồ thị hàm số được cho ở hình trên.
Bài 7 trang 44 Toán 12 Tập 1: Một tàu đổ bộ tiếp cận Mặt Trăng theo cách tiếp cận thẳng đứng và đốt cháy các tên lửa hãm ở độ cao 250 km so với bề mặt của Mặt Trăng.
Trong khoảng 50 giây đầu tiên kể từ khi đốt cháy các tên lửa hãm, độ cao h của con tàu so với bề mặt của Mặt Trăng được tính (gần đúng) bởi hàm
h(t) = – 0,01t3 + 1,1t2 – 30t + 250,
trong đó t là thời gian tính bằng giây và h là độ cao tính bằng kilômét (Nguồn: A. Bigalke et al., Mathematik, Grundkurs ma-1, Cornelsen 2016).
a) Tìm thời điểm t (0 ≤ t ≤ 50) sao cho con tàu đạt khoảng cách nhỏ nhất so với bề mặt của Mặt Trăng. Khoảng cách nhỏ nhất này là bao nhiêu?
b) Vẽ đồ thị của hàm số y = h(t) với 0 ≤ t ≤ 70 (đơn vị trên trục hoành là 10 giây, đơn vị trên trục tung là 50 km).
c) Gọi v(t) là vận tốc tức thời của con tàu ở thời điểm t (giây) kể từ khi đốt cháy các tên lửa hãm với 0 ≤ t ≤ 50. Xác định hàm số v(t).
d) Vận tốc tức thời của con tàu lúc bắt đầu hãm phanh là bao nhiêu? Tại thời điểm t = 25 (giây) là bao nhiêu?
e) Tại thời điểm t = 25 (giây), vận tốc tức thời của con tàu vẫn giảm hay đang tăng trở lại?
Lời giải:
a) Xét hàm số h(t) = – 0,01t3 + 1,1t2 – 30t + 250 với t ∈ [0; 50].
Ta có h'(t) = – 0,03t2 + 2,2t – 30;
Trên khoảng (0; 50), h'(t) = 0 khi t ≈ 18.
h(0) = 250; h(18) = 8,08; h(50) = 250.
Do đó, h(t) = 8,08 tại t = 18.
Vậy tại thời điểm t = 18 giây thì con tàu đạt khoảng cách nhỏ nhất so với bề mặt của Mặt Trăng và khoảng cách nhỏ nhất này bằng 8,08 km.
b) Xét hàm số h(t) = – 0,01t3 + 1,1t2 – 30t + 250 với t ∈ [0; 70].
Ta có h'(t) = – 0,03t2 + 2,2t – 30;
Trên khoảng (0; 70), h'(t) = 0 khi t ≈ 18 hoặc t ≈ 55.
Bảng biến thiên của hàm số h(t) như sau:
Trên khoảng (0; 70), đồ thị hàm số h(t) đi qua các điểm (0; 250), (10; 50), (50; 250) và (60; 250).
c) Ta có v(t) là vận tốc tức thời của con tàu ở thời điểm t (giây) kể từ khi đốt cháy các tên lửa hãm với 0 ≤ t ≤ 50.
Khi đó v(t) = h'(t) = – 0,03t2 + 2,2t – 30 với t ∈ [0; 50].
d)
v(25) = – 0,03 ∙ 252 + 2,2 ∙ 25 – 30 = 6,25 (km/s).
e) Tại thời điểm t = 25 (giây), lúc đó t ∈ (18; 55), căn cứ vào bảng biến thiên ở câu b), ta thấy rằng h'(t) > 0, tức là v(t) > 0, vậy vận tốc tức thời của con tàu đang tăng trở lại.
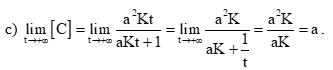
Bài 8 trang 44 Toán 12 Tập 1: Xét phản ứng hóa học tạo ra chất C từ hai chất A và B:
A + B → C.
Giả sử nồng độ của hai chất A và B bằng nhau [A] = [B] = a (mol/l). Khi đó, nồng độ của chất C theo thời gian t (t > 0) được cho bởi công thức: [C] = (mol/l), trong đó K là hằng số dương (Nguồn: Đỗ Đức Thái (Chủ biên) và các đồng tác giả, Giáo trình Phép tính vi tích phân hàm một biến, NXB Đại học Sư phạm, 2023).
a) Tìm tốc độ phản ứng ở thời điểm t > 0.
b) Chứng minh nếu x = [C] thì x'(t) = K(a – x)2.
c) Nêu hiện tượng xảy ra với nồng độ các chất khi t → + ∞.
d) Nêu hiện tượng xảy ra với tốc độ phản ứng khi t → + ∞.
Lời giải:
a) Ta có
A + B → C
Ban đầu: a + a 0
Sau thời gian t:
Tốc độ ở thời điểm t > 0 là v(t) = .
b) Ta có x = [C], tức là x = .
Từ đó suy ra x'(t) = K(a – x)2.
Vậy khi t → + ∞ thì nồng độ các chất A, B và C bằng nhau.
Vậy khi t → + ∞, tốc độ phản ứng dần về 0, khi đó phản ứng kết thúc.
Xem thêm các bài giải bài tập Toán lớp 12 Cánh diều hay, chi tiết khác:
§3. Đường tiệm cận của đồ thị hàm số
§4. Khảo sát sự biến thiên và vẽ đồ thị của hàm số
Bài tập cuối chương 1
Chủ đề 1. Một số vấn đề về thuế
§1. Vectơ và các phép toán vectơ trong không gian
§2. Toạ độ của vectơ
Lý thuyết Khảo sát sự biến thiên và vẽ đồ thị của hàm số
1. Sơ đồ khảo sát hàm số
Các bước khảo sát hàm số
|
1. Tìm tập xác định của hàm số 2. Xét sự biến thiên của hàm số – Tìm các giới hạn tại vô cực, giới hạn vô cực và tìm tiệm cận của đồ thị hàm số (nếu có) – Lập BBT của hàm số bao gồm: Tính đạo hàm của hàm số, xét dấu đạo hàm, xét chiều biến thiên và tìm cực trị của hàm số (nếu có), điền các kết quả vào bảng 3. Vẽ đồ thị của hàm số – Vẽ các đường tiệm cận (nếu có) – Xác định các điểm đặc biệt của đồ thị: cực trị, giao điểm của đồ thị với các trục tọa độ (trong trường hợp đơn giản), … – Nhận xét về đặc điểm của đồ thị: chỉ ra tâm đối xứng, trục đối xứng (nếu có) |
2. Khảo sát sự biến thiên và vẽ đồ thị của hàm số bậc ba
Ví dụ: Khảo sát sự biến thiên và vẽ đồ thị của hàm số
1. Tập xác định của hàm số: R
2. Sự biến thiên:
Ta có: . Vậy y’ = 0 khi x = 0 hoặc x = 2
Trên khoảng , y’ > 0 nên hàm số đồng biến. Trên các khoảng và , y’ < 0 nên hàm số nghịch biến trên mỗi khoảng đó
Hàm số đạt cực tiểu tại x = 0, giá trị cực tiểu . Hàm số đạt cực đại tại x = 2, giá trị cực đại
Giới hạn tại vô cực:
BBT:

4. Đồ thị:
Giao điểm của đồ thị hàm số với trục tung là điểm
Ta có: y = 0 x = -1 hoặc x = 2. Do đó giao điểm của đồ thị hàm số với trục hoành là các điểm và
Đồ thị hàm số có tâm đối xứng là điểm

3. Khảo sát và vẽ đồ thị hàm số phân thức hữu tỷ
a) Hàm số phân thức
Ví dụ: Khảo sát sự biến thiên và vẽ đồ thị của hàm số
1. Tập xác định của hàm số: R\{2}
2. Sự biến thiên:
Ta có: với mọi
Hàm số nghịch biến trên từng khoảng và
Hàm số không có cực trị
Tiệm cận:
Do đó, đồ thị của hàm số có tiệm cận đứng là x = 2, tiệm cận ngang là y = 1
BBT:

4. Đồ thị:
Giao điểm của đồ thị hàm số với trục tung là điểm
Giao điểm của đồ thị hàm số với trục hoành là điểm
Đồ thị hàm số nhận giao điểm I của hai đường tiệm cận làm tâm đối xứng và nhận hai đường phân giác của các góc tạo bởi hai đường tiệm cận này làm trục đối xứng

b) Hàm số phân thức (đa thức tử không chia hết cho đa thức mẫu)
Ví dụ: Khảo sát sự biến thiên và vẽ đồ thị của hàm số
1. Tập xác định của hàm số: R\{2}
2. Sự biến thiên: Viết
Ta có: . Vậy y’ = 0 x = 1 hoặc x = 3
Trên các khoảng và , y’ > 0 nên hàm số đồng biến trên từng khoảng này
Trên các khoảng và , y’ < 0 nên hàm số nghịch biến trên từng khoảng này
Hàm số đạt cực đại tại x = 1 với ; hàm số đạt cực tiểu tại x = 3 với
;
Do đó, đồ thị của hàm số có tiệm cận đứng là x = 2, tiệm cận xiên là y = x+1
BBT:

3. Đồ thị:
Giao điểm của đồ thị hàm số với trục tung là điểm
Ta có: . Do đó giao điểm của đồ thị hàm số với trục hoành là điểm
Đồ thị hàm số nhận giao điểm I của hai đường tiệm cận làm tâm đối xứng và nhận hai đường phân giác của các góc tạo bởi hai đường tiệm cận này làm trục đối xứng

4. Ứng dụng đạo hàm và khảo sát hàm số để giải quyết một số vấn đề liên quan đến thực tiễn
Ví dụ: Số dân của một thị trấn sau t năm kể từ năm 1970 được ước tính bởi công thức (f(t) được tính bằng nghìn người)
a) Tính số dân của thị trấn vào năm 2022
b) Xem y = f(t) là một hàm số xác định trên nửa khoảng . Khảo sát sự biến thiên và vẽ đồ thị của hàm số f(t)
c) Đạo hàm của hàm số y = f(t) biểu thị tốc độ tăng dân số của thị trấn (tính bằng nghìn người/năm)
- Tính tốc độ tăng dân số vào năm 2022 của thị trấn đó
- Vào năm nào thì tốc độ tăng dân số là 0,192 nghìn người/năm ?
Giải:
a) Ta có: (nghìn người)
Vậy số dân của thị trấn vào năm 2022 khoảng 23895 nghìn người
b) 1) Sự biến thiên
- Giới hạn tại vô cực và đường tiệm cận ngang:
. Do đó, đường thẳng y = 26 là tiệm cận ngang của đồ thị hàm số.
- BBT:
với mọi

Hàm số đồng biến trên nửa khoảng .
Hàm số không có cực trị
2) Đồ thị
- Giao điểm của đồ thị với trục tung (0;2)
- Đồ thị hàm số đi qua điểm (1;6). Vậy đồ thị hàm số , được cho ở hình vẽ sau

c)
- Tốc độ tăng dân số vào năm 2022 của thị trấn đó là:
- Ta có:
(do )
Vậy vào năm 1990, tốc độ tăng dân số là 0,192 nghìn người/năm