Chỉ từ 500k mua trọn bộ 24 Chuyên đề Toán lớp 4 (sách mới) bản word có lời giải chi tiết (chỉ từ 50k cho 1 bài Chuyên đề lẻ bất kì):
B1: – (QR)
B2:
Xem thử tài liệu tại đây: Link tài liệu
Chuyên đề Các bài toán liên quan đến phân số lớp 4
A- LÝ THUYẾT
I – Kiến thức cần nhớ
1. Phân số
Với a là một số tự nhiên và b là một số tự nhiên khác 0, số có dạng gọi là phân số (đọc là: a phần b)
a gọi là: tử số (số phần lấy ra)
b gọi là: mẫu số (số phần bằng nhau được chia trong một đơn vị)
Ví dụ:
… là các phân số
Một số tự nhiên a chia cho số tự nhiên b ( ) có kết quả chính là phân số
a : b =
Ví dụ: 5 : 12 =
Như vậy ta xem dấu “gạch ngang: của phân số như là dấu chia.
Ta có thể dùng phân số để ghi kết quả của phép chia một số tự nhiên cho một số tự nhiên (Cho dù phép chia đó là phép chia hết hay phép chia có dư)
Một số tự nhiên có thể viết dưới dạng phân số có mẫu số là 1: a =
2. Một số tính chất cơ bản của phân số
Nếu ta nhân hay chia tử số và mẫu số của một phân số cùng với một số tự nhiên khác 0 thì ta được một phân số mới bằng phân số đã cho

Ví dụ: ![]()
3. Phân số tối giản
Phân số tối giản là phân số có tử số và mẫu số không cùng chia hết cho một số tự nhiên nào khác 1.
Ví dụ: ![]()
4. Rút gọn phân số
Muốn rút gọn phân số ta chia cả tử số và mẫu số của phân số đó với cùng một số tự nhiên lớn hơn 1 mà tử số và mẫu số của phân số đó cùng chia hết cho số đó, để được phân số mới có tử số và mẫu số nhỏ hơn tử số và mẫu số ban đầu và có giá trị bằng phân số ban đầu.
Ví dụ: ![]()
Chú ý:
– Phân số tối giản không thể rút gọn được
– Khi rút gọn phân số cố gắng rút gọn đến phân số tối giản
– Dựa vào dấu hiệu chia hết hoặc phép thử chọn để tìm được một số tự nhiên nào đó lớn hơn 1 mà cả tử số và mẫu số của phân số đã cho đều chia hết cho số đó.
– Các Bước Rút Gọn Phân Số:
+ B1: Tìm số tự nhiên lớn hơn 1 mà cả tử số và mẫu số của phân số đã cho đều chia hết. (Dấu hiệu chia hết)
+ B2: Tiến hành chia cả tử số và mẫu số của phân số cho số tự nhiên đã tìm được ở bước 1.
+ Lặp lại bước 1, 2 cho đến khi được phân số tối giản.
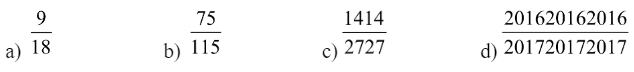
Ví Dụ : Rút gọn các phân số sau:

5. Quy đồng phân số
5.1. Quy Đồng Mẫu Số:
a) K/N: Quy đồng mẫu số là làm cho các phân số cần quy đồng có chung một mẫu số.
b) Phương pháp:
Phương pháp 1: Lấy tử số và mẫu số của phân số này nhân với mẫu số của phân số kia.
Ví Dụ: Quy đồng mẫu số hai phân số sau: và
Hướng dẫn
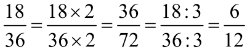
Ta có:
và ![]()
Vậy sau khi quy đồng mẫu số hai phân số và ta được hai phân số mới có cùng mẫu số tương ứng là: và
Phương pháp 2: Khi mà mẫu số của các phân số cùng chia hết cho một số tự nhiên lớn hơn 1.
B1: Tìm số tự nhiên lớn hơn 1 mà các mẫu số cùng chia hết.
B2: Tính tích các mẫu số.
B3: Chia tích vừa tìm được ở bước 2 cho số tự nhiên tìm được ở bước 1. Thì kết quả tìm được sẽ là mẫu số chung cần tìm.
B4: Chia mẫu số chung cho các mẫu số được một số. Tiến hành nhân cả tử số và mẫu số của phân số đó cho số vừa tìm được.
Ví dụ: Quy đồng mẫu số các phân số: và
Hướng dẫn
B1: Cùng chia hết cho 2.
B2: Tích các mẫu số: 4 × 6 = 24
B3: Mẫu số chung là: 24 : 2 = 12
B4: Ta có: 12 : 4 = 3 cần nhân cả tử và mẫu của với 3. Cũng có: 12 : 6 = 2 cần nhân cả tử và mẫu của với 2.
Bài giải:
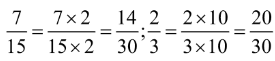
Ta có:
và ![]()
Sau khi quy đồng mẫu số hai phân số và ta được hai phân số cùng mẫu số tương ứng là: và
Phương pháp 3: Khi mà mẫu số của các phân số cùng chia hết cho một số tự nhiên lớn hơn 1. Ta chọn ra mẫu số lớn nhất, nhân mẫu số đó lần lượt với 2, 3, 4… cho đến khi được một số mà chia hết cho tất cả các mẫu số của các phân số còn lại thì số đó ta lấy làm mẫu số chung.
Ví dụ: Quy đồng mẫu số các phân số sau: và
Phân tích: 15 là mẫu số lớn nhất. 15 chia hết cho 3. Thấy: 15 × 2 = 30 chia hết cho 6. Suy ra: mẫu số chung là 30.
Hướng dẫn
Ta có:
và 
Vậy sau khi quy đồng mẫu số các phân số và ta được các phân số có cùng mẫu số tương ứng là: và
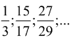
Ví dụ: Viết 5 phân số đứng giữa hai phân số: và
Hướng dẫn
Ta có: 
Thấy: 
Chọn được 5 phân số thỏa mãn đề bài là: 
BÀI TẬP TỰ LUYỆN
1. “Năm phần mười sáu” là cách đọc của phân số hoặc phép tính: ![]()
2. Cho các phân số:
. Tìm phân số bằng phân số ?
……………………………………
……………………………………
……………………………………
trọn bộ Chuyên đề Toán lớp 4 (sách mới) năm 2024 mới nhất, Mua tài liệu hay, chọn lọc
Xem thêm các bài Chuyên đề Toán lớp 4 hay, chi tiết khác:
Chuyên đề 1: Đọc, viết, so sánh số
Chuyên đề 2: Tính giá trị biểu thức – Tính nhanh
Chuyên đề 3: Tìm X
Chuyên đề 4: Cấu tạo số
Chuyên đề 5: Các bài toán về kỹ thuật tính và quan hệ giữa các thành phần của phép tính
Chuyên đề 6: Các bài toán liên quan đến trung bình cộng
Chuyên đề 7: Các bài toán liên quan đến rút về đơn vị
Chuyên đề 8: Tìm hai số khi biết tổng và hiệu
Chuyên đề 9: Dãy số tự nhiên, dãy số theo quy luật
Chuyên đề 10: Dạng toán tính ngược từ cuối
Chuyên đề 11: Dạng tăng, giảm, ít hơn, nhiều hơn
Chuyên đề 12: Phép chia – Số dư
Chuyên đề 13: Các bài toán về đại lượng và đo đại lượng
Chuyên đề 14: Giải bài toán bằng cách vận dụng dấu hiệu chia hết
Chuyên đề 15: Tìm hai số khi biết tổng – tỉ, hiệu – tỉ của hai số
Chuyên đề 16: Tìm hai số khi biết hiệu hai số phương pháp khử
Chuyên đề 17: Dạng toán liên quan đến chữ số tận cùng
Chuyên đề 18: Các bài toán liên quan đến phân số
Chuyên đề 19: Hình học
Chuyên đề 20: Dạng toán trồng cây
Chuyên đề 21: Dạng toán làm chung công việc
Chuyên đề 22: Dạng toán tính số ngày trong tháng
Chuyên đề 23: Một số phương pháp giải toán
Chuyên đề 24: Các bài toán về tính tuổi