Skip to content

Học tập lớp 12

  • Trắc nghiệm Holland
  • Tính điểm xét tuyển
  • Danh sách trường Đại học
  • Kết quả bài thi

Học tập lớp 12

  • Home » 
  • Toán lớp 10

Sách bài tập Toán 10 (Kết nối tri thức) Bài tập cuối chương 2

By Admin Lop12.com 22/02/2026 0

Giải SBT Toán lớp 10 Bài tập cuối chương 2

A. Trắc nghiệm

Giải SBT Toán 10 trang 24 Tập 1

Bài 2.10 trang 24 sách bài tập Toán lớp 10 Tập 1: Trong các bất phương trình sau, bất phương trình nào là bất phương trình bậc nhất hai ẩn?

A. 2x2 + 3y > 4.

B. xy + x < 5.

C. 32x + 43y ≥ 6.

D. x + y3 ≤ 3.

Lời giải:

Đáp án đúng là: C

Phương án A có x2 là hạng tử bậc 2.

Phương án B có xy là hạng tử bậc 2.

Phương án D có y3 là hạng tử bậc 3.

Phương án C có các hạng tử đều có bậc bằng 1.

Vậy ta chọn phương án C.

Bài 2.11 trang 24 sách bài tập Toán lớp 10 Tập 1: Trong các hệ bất phương trình sau, hệ bất phương trình nào là hệ bất phương trình bậc nhất hai ẩn?

Hệ bất phương trình nào là hệ bất phương trình bậc nhất hai ẩn

Lời giải:

Đáp án đúng là: B

Phương án A có y2 là hạng tử bậc 2.

Phương án C có y2 là hạng tử bậc 2.

Phương án D có xy là hạng tử bậc 2.

Phương án B có các hạng tử đều có bậc bằng 1.

Vậy ta chọn phương án B.

Bài 2.12 trang 24 sách bài tập Toán lớp 10 Tập 1: Điểm nào dưới đây thuộc miền nghiệm của bất phương trình 2x + 5y ≤ 10?

A. (5; 2).

B. (-1; 4).

C. (2; 1).

D. (-5; 6).

Lời giải:

Đáp án đúng là: C

Thay x = 4; y = 2 vào biểu thức 2x + 5y ta được 2 . 4 + 5. 2 = 18 > 10 nên phương án A không thỏa mãn.

Thay x = -1; y = 4 vào biểu thức 2x + 5y ta được 2 . (-1) + 5 . 4 = 18 > 10 nên phương án B không thỏa mãn.

Thay x = -5; y = 6 vào biểu thức 2x + 5y ta được 2 . (-5) + 5 . 6 = 20 > 10 nên phương án D không thỏa mãn.

Thay x = 2; y = 1 vào biểu thức 2x + 5y ta được 2 . 2 + 5 . 1 = 9 < 10 nên phương án C đúng.

Vậy ta chọn phương án C.

Bài 2.13 trang 24 sách bài tập Toán lớp 10 Tập 1: Điểm nào dưới đây không thuộc miền nghiệm của bất phương trình 2x – 3y > 13?

A. (1; -5).

B. (2; -4).

C. (3; -3).

D. (8; 1).

Lời giải:

Đáp án đúng là: D

Thay x = 1; y = -5 vào biểu thức 2x – 3y ta được 2 . 1 – 3 . (-5) = 17 > 13 nên phương án A không thỏa mãn.

Thay x = 2; y = -4 vào biểu thức 2x – 3y ta được 2 . 2 – 3 . (-4) = 16 > 13 nên phương án B không thỏa mãn.

Thay x = 3; y = -3 vào biểu thức 2x – 3y ta được 2 . 3 – 3 . (-3) = 15 > 13 nên phương án C không thỏa mãn.

Thay x = 8; y = 1 vào thức 2x – 3y ta được 2 . 8 – 3 . 1 = 13 nên phương án D đúng.

Vậy ta chọn phương án D.

Bài 2.14 trang 24 sách bài tập Toán lớp 10 Tập 1: Cho bất phương trình x + 2y ≤ 3. Khẳng định nào sau đây là đúng?

A. Miền nghiệm của bất phương trình là nửa mặt phẳng bờ d: x + 2y = 3 chứa gốc tọa độ.

B. Miền nghiệm của bất phương trình là nửa mặt phẳng bờ d: x + 2y = 3 không chứa gốc tọa độ.

C. Miền nghiệm của bất phương trình là nửa mặt phẳng bờ d: x + 2y = -3 chứa gốc tọa độ.

D. Miền nghiệm của bất phương trình là nửa mặt phẳng bờ d: x + 2y = -3 không chứa gốc tọa độ.

Lời giải:

Đáp án đúng là: A

Bất phương trình x + 2y ≤ 3 nên miền nghiệm của bất phương trình là nửa mặt phẳng bờ d: x + 2y = 3.

Do đó đáp án C và D không thỏa mãn.

Thay x = 0; y = 0 vào biểu thức x + 2y ta được 0 + 2 . 0 = 0 < 3.

Suy ra miền nghiệm của bất phương trình là nửa mặt phẳng bờ d: x + 2y = 3 chứa gốc tọa độ.

Vậy ta chọn phương án A.

Giải SBT Toán 10 trang 25 Tập 1

Bài 2.15 trang 25 sách bài tập Toán lớp 10 Tập 1: Cặp số nào dưới đây là nghiệm của hệ bất phương trình

Cặp số nào dưới đây là nghiệm của hệ bất phương trình

A. (-1; 2).

B. (-2; -4).

C. (0; 1).

D. (2; -4).

Lời giải:

Đáp án đúng là: D

Các phương án A, B, C đều có giá trị x ≤ 0, do đó không thỏa mãn với điều kiện x > 0.

Thay x = 2; y = -4 vào hệ bất phương trình ta có:

x + y = 2 + (-4) = -2 < 2 (thỏa mãn), x – 2y = 2 – 2 . (-4) = 10 > 4 (thỏa mãn), x = 2 > 0 (thỏa mãn).

Vậy chọn phương án D.

Bài 2.16 trang 25 sách bài tập Toán lớp 10 Tập 1: Điểm nào dưới đây thuộc miền nghiệm của hệ bất phương trình

Điểm nào dưới đây thuộc miền nghiệm của hệ bất phương trình

A. (-3; 2).

B. (0; 1).

C. (4; -1).

D. (-2; 2).

Lời giải:

Đáp án đúng là: C

Các phương án A, B, D có giá trị của y > 0 nên không thỏa mãn điều kiện y ≤ 0.

Thay x = 4; y = -1 vào hệ bất phương trình ta được:

-x + y = -4 + (-1) = -5 < 2 (thỏa mãn); x – 2y = 4 – 2 . (-1) = 6 > 1 (thỏa mãn), -1 < 0 (thỏa mãn).

Vậy chọn phương án D.

Bài 2.17 trang 25 sách bài tập Toán lớp 10 Tập 1: Miền nghiệm của hệ bất phương trình nào dưới đây là miền tam giác ABC (miền không bị gạch)?

Miền nghiệm của hệ bất phương trình nào dưới đây là miền tam giác ABC

Miền nghiệm của hệ bất phương trình nào dưới đây là miền tam giác ABC

Lời giải:

Đáp án đúng là: B

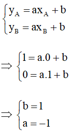
Gọi phương trình đường thẳng AB là d1: y = ax + b.

Do A và B thuộc d1 nên

Miền nghiệm của hệ bất phương trình nào dưới đây là miền tam giác ABC

Suy ra phương trình đường thẳng AB là y = -x + 1 hay x + y = 1.

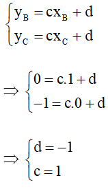
Gọi phương trình đường thẳng BC là d2: y = cx + d.

Do B và C thuộc d2 nên

Miền nghiệm của hệ bất phương trình nào dưới đây là miền tam giác ABC

Suy ra phương trình đường thẳng BC là y = x – 1 hay x – y = 1.

Đường thẳng AC trùng với trục Oy nên phương trình đường thẳng AC là x = 0.

Ta thấy điểm (0,5; 0) là điểm thuộc miền nghiệm của hệ.

Thay x = 0,5; y = 0 vào biểu thức x + y được 0,5 < 1.

Suy ra bất phương trình thỏa mãn miền nghiệm trên là x + y ≤ 1 (1).

Thay x = 0,5; y = 0 vào biểu thức x – y được 0,5 < 1.

Suy ra bất phương trình thỏa mãn miền nghiệm trên là x – y ≤ 1 (2).

Thay x = 0,5; y = 0 vào biểu thức x được 0,5 > 0.

Suy ra bất phương trình thỏa mãn miền nghiệm trên là x ≥ 0 (3).

Từ (1), (2) và (3) ta có hệ bất phương trình

Miền nghiệm của hệ bất phương trình nào dưới đây là miền tam giác ABC

Vậy chọn phương án B.

Giải SBT Toán 10 trang 26 Tập 1

Bài 2.18 trang 26 sách bài tập Toán lớp 10 Tập 1: Miền nghiệm của hệ bất phương trình

Miền nghiệm của hệ bất phương trình  Bài 2.18 trang 26 sách bài tập Toán 10 tập 1

A. Một nửa mặt phẳng.

B. Miền tam giác.

C. Miền tứ giác.

D. Miền ngũ giác.

Lời giải:

Đáp án đúng là: B

Biểu diễn tập nghiệm của các bất phương trình trên mặt phẳng tọa độ:

• Vẽ đường thẳng d1: x = -1 là một đường thẳng song song với trục Oy và đi qua điểm có hoành độ bằng -1.

Chọn điểm I(1; 1) ∉ d1 và thay vào biểu thức x ta được 1 > -1.

Suy ra miền nghiệm của bất phương trình x ≥ -1 là nửa mặt phẳng bờ d1 chứa điểm I(1; 1).

• Vẽ đường thẳng d2: x + y = 0 bằng cách vẽ một đường thẳng đi qua hai điểm (0; 0) và (-1; 1).

Chọn điểm I(1; 1) ∉d2 và thay vào biểu thức x + y ta được 1 + 1 = 2 > 0.

Suy ra miền nghiệm của bất phương trình x + y ≤ 0 là nửa mặt phẳng bờ d2 không chứa điểm I(1; 1).

• Đường thẳng d3: y = 0 trùng với trục Ox.

Chọn điểm I(1; 1) ∉ d3 và thay vào biểu thức y ta được 1 > 0.

Suy ra miền nghiệm của bất phương trình y ≥ 0 là nửa mặt phẳng bờ d3 chứa điểm I(1; 1).

Khi đó miền nghiệm của hệ là miền không bị gạch như hình vẽ dưới đây:

Miền nghiệm của hệ bất phương trình  Bài 2.18 trang 26 sách bài tập Toán 10 tập 1

Ta thấy miền nghiệm của hệ bất phương trình trên là miền tam giác.

Vậy chọn phương án B.

Bài 2.19 trang 26 sách bài tập Toán lớp 10 Tập 1: Miền nghiệm của bất phương trình

Miền nghiệm của bất phương trình Bài 2.19 trang 26 sách bài tập Toán 10 tập 1

A. Miền lục giác.

B. Miền tam giác.

C. Miền tứ giác.

D. Miền ngũ giác.

Lời giải:

Đáp án đúng là: D

Biểu diễn tập nghiệm của các bất phương trình trên mặt phẳng tọa độ:

• Vẽ đường thẳng d1: x + y = 1 bằng cách vẽ đường thẳng đi qua hai điểm (0; 1) và (1; 0).

Chọn điểm O(0; 0) ∉ d1 và thay vào biểu thức x + y được 0 < 1.

Suy ra miền nghiệm của bất phương trình x + y ≤ 1 là nửa mặt phẳng bờ d1 chứa điểm O(0; 0).

• Đường thẳng d2: y = -3 là đường thẳng song song với trục Ox và đi qua điểm có hoành độ bằng -3.

Chọn điểm O(0; 0) ∉ d2 và thay vào biểu thức y được 0 > -3.

Suy ra miền nghiệm của bất phương trình y ≥ -3 là nửa mặt phẳng bờ d2 chứa điểm O(0; 0).

• Đường thẳng d3: y = 3 là đường thẳng song song với trục Ox và đi qua điểm có hoành độ bằng 3.

Chọn điểm O(0; 0) và thay vào biểu thức y được 0 < 3.

Suy ra miền nghiệm của bất phương trình y ≤ 3 là nửa mặt phẳng bờ d3 chứa điểm O(0; 0).

• Đường thẳng d4: x = -3 là đường thẳng song song với trục Oy và đi qua điểm có tung độ bằng -3.

Chọn điểm O(0; 0) ∉ d4 và thay vào biểu thức x được 0 > -3.

Suy ra miền nghiệm của bất phương trình x ≥ -3 là nửa mặt phẳng bờ d4 chứa điểm O(0; 0).

• Đường thẳng d5: x = 3 là đường thẳng song song với trục Oy và đi qua điểm có tung độ bằng 3.

Chọn điểm O(0; 0) và thay vào biểu thức x được 0 < 3.

Suy ra miền nghiệm của bất phương trình x ≤ 3 là nửa mặt phẳng bờ d5 chứa điểm O(0; 0).

Khi đó miền nghiệm của hệ là miền không bị gạch như hình vẽ dưới đây:

Miền nghiệm của bất phương trình Bài 2.19 trang 26 sách bài tập Toán 10 tập 1

Ta thấy miền nghiệm của hệ là miền ngũ giác.

Vậy chọn phương án D.

Bài 2.20 trang 26 sách bài tập Toán lớp 10 Tập 1: Miền nghiệm của hệ bất phương trình

Miền nghiệm của hệ bất phương trình Bài 2.20 trang 26 sách bài tập Toán 10 tập 1

A. Miền lục giác.

B. Miền tam giác.

C. Miền tứ giác.

D. Miền ngũ giác.

Lời giải:

Đáp án đúng là: C

Biểu diễn tập nghiệm của các bất phương trình trên mặt phẳng tọa độ:

• Vẽ đường thẳng d1: x + y = 10 bằng cách vẽ đường thẳng đi qua hai điểm (4; 6) và (5; 5).

Chọn điểm O(0; 0)∉ d1 và thay vào biểu thức x + y được 0 < 10.

Suy ra miền nghiệm của bất phương trình x + y ≤ 10 là nửa mặt phẳng bờ d1 chứa điểm O(0; 0).

• Đường thẳng d2: y = -3 là đường thẳng song song với trục Ox và đi qua điểm có hoành độ bằng -3.

Chọn điểm O(0; 0) ∉ d2 và thay vào biểu thức y được 0 > -3.

Suy ra miền nghiệm của bất phương trình y ≥ -3 là nửa mặt phẳng bờ d2 chứa điểm O(0; 0).

• Đường thẳng d3: y = 3 là đường thẳng song song với trục Ox và đi qua điểm có hoành độ bằng 3.

Chọn điểm O(0; 0) và thay vào biểu thức y được 0 < 3.

Suy ra miền nghiệm của bất phương trình y ≤ 3 là nửa mặt phẳng bờ d3 chứa điểm O(0; 0).

• Đường thẳng d4: x = -3 là đường thẳng song song với trục Oy và đi qua điểm có tung độ bằng -3.

Chọn điểm O(0; 0) ∉ d4 và thay vào biểu thức x được 0 > -3.

Suy ra miền nghiệm của bất phương trình x ≥ -3 là nửa mặt phẳng bờ d4 chứa điểm O(0; 0).

• Đường thẳng d5: x = 3 là đường thẳng song song với trục Oy và đi qua điểm có tung độ bằng 3.

Chọn điểm O(0; 0) và thay vào biểu thức x được 0 < 3.

Suy ra miền nghiệm của bất phương trình x ≤ 3 là nửa mặt phẳng bờ d5 chứa điểm O(0; 0).

Khi đó miền nghiệm của hệ là miền không bị gạch như hình vẽ dưới đây:

Miền nghiệm của hệ bất phương trình Bài 2.20 trang 26 sách bài tập Toán 10 tập 1

Ta thấy miền nghiệm của hệ là miền tứ giác.

Vậy chọn đáp án C.

Bài 2.21 trang 26 sách bài tập Toán lớp 10 Tập 1: Giá trị lớn nhất của biểu thức F(x; y) = 3x + y với (x; y) thuộc miền nghiệm của hệ bất phương trình

Giá trị lớn nhất của biểu thức F(x; y) = 3x + y

A. -3.

B. 6.

C. 5.

D. 8.

Lời giải:

Đáp án đúng là: B

Biểu diễn tập nghiệm của các bất phương trình trên mặt phẳng tọa độ:

• Đường thẳng d1: x = -1 là đường thẳng song song với trục Oy và đi qua điểm có hoành độ bằng -1.

Chọn điểm I(0; 1) ∉ d1 và thay vào biểu thức x được 0 > -1.

Suy ra miền nghiệm của bất phương trình x ≥ -1 là nửa mặt phẳng bờ d1 chứa điểm I(0; 1).

• Vẽ đường thẳng d2: x + y = 2 bằng cách vẽ một đường thẳng đi qua hai điểm (0; 2) và (2; 0).

Chọn điểm I(0; 1) ∉ d2 và thay vào biểu thức x + y được 1 < 2.

Suy ra miền nghiệm của bất phương trình x + y ≤ 2 là nửa mặt phẳng bờ d2 chứa điểm I(0; 1).

• Đường thẳng d3: y = 0 là đường thẳng trùng với trục Ox.

Chọn điểm I(0; 1) ∉ d3 và thay vào biểu thức y được 1 > 0.

Suy ra miền nghiệm của bất phương trình y ≥ 0 là nửa mặt phẳng bờ d3 chứa điểm I(0; 1).

Khi đó miền nghiệm của hệ là miền không bị gạch như hình vẽ dưới đây:

Giá trị lớn nhất của biểu thức F(x; y) = 3x + y

Miền nghiệm của hệ bất phương trình là miền tam giác với các đỉnh (-1; 3), (-1; 0) và (2; 0).

Ta có F(-1; 3) = 3 . (-1) + 3 = 0;

F(-1; 0) = 3 . (-1) + 0 = -3;

F(2; 0) = 3 . 2 + 0 = 6.

Do đó giá trị F(x; y) lớn nhất bằng 6 với x = 2; y = 0.

Vậy chọn phương án B.

Bài 2.22 trang 26 sách bài tập Toán lớp 10 Tập 1: Giá trị nhỏ nhất của biểu thức F(x; y) = -x + 4y với (x; y) thuộc miền nghiệm của hệ bất phương trình

Giá trị nhỏ nhất của biểu thức F(x; y) = -x + 4y

A. -2.

B. 3.

C. 11.

D. -4.

Lời giải:

Đáp án đúng là: A

Biểu diễn tập nghiệm của các bất phương trình trên mặt phẳng tọa độ:

• Đường thẳng d1: x = 1 là đường thẳng song song với trục Oy và đi qua điểm có hoành độ bằng 1.

Chọn điểm I(1,5; 1) ∉ d1 và thay vào biểu thức x ta được 1,5 > 1.

Suy ra miền nghiệm của bất phương trình x ≥ 1 là nửa mặt phẳng bờ d1 có chứa điểm I(1,5; 1).

• Đường thẳng d2: x = 2 là đường thẳng song song với trục Oy và đi qua điểm có hoành độ bằng 2.

Chọn điểm I(1,5; 1) ∉ d2 và thay vào biểu thức x ta được 1,5 < 2.

Suy ra miền nghiệm của bất phương trình x ≤ 2 là nửa mặt phẳng bờ d2 có chứa điểm I(1,5; 1).

• Đường thẳng d3: y = 0 là đường thẳng trùng với trục Ox.

Chọn điểm I(1,5; 1) ∉ d3 và thay vào biểu thức y ta được 1 > 0.

Suy ra miền nghiệm của bất phương trình y ≥ 0 là nửa mặt phẳng bờ d3 có chứa điểm I(1,5; 1).

• Đường thẳng d4: y = 3 là đường thẳng song song với trục Ox và đi qua điểm có tung độ bằng 3.

Chọn điểm I(1,5; 1) ∉ d3 và thay vào biểu thức y ta được 1 < 3.

Suy ra miền nghiệm của bất phương trình y ≤ 3 là nửa mặt phẳng bờ d4 có chứa điểm I(1,5; 1).

Khi đó miền nghiệm của hệ là miền không bị gạch như hình vẽ dưới đây:

Giá trị nhỏ nhất của biểu thức F(x; y) = -x + 4y

Miền nghiệm của hệ bất phương trình trên là miền tứ giác với các đỉnh (1; 0), (1; 3), (2; 3) và (2; 0).

Ta có:

F(1; 0) = -1 + 4 . 0 = -1;

F(1; 3) = -1 + 4 . 3 = 11;

F(2; 3) = -2 + 4 . 3 = 10;

F(2; 0) = -2 + 4 . 0 = -2.

Do đó giá trị F(x; y) nhỏ nhất bằng -2 khi x = 2; y = 0.

Vậy chọn phương án A.

Bài 2.23 trang 26 sách bài tập Toán lớp 10 Tập 1: Tổng của giá trị lớn nhất và giá trị nhỏ nhất của biểu thức F(x; y) = x + 5y với (x; y) thuộc miền nghiệm của hệ bất phương trình

Tổng của giá trị lớn nhất và giá trị nhỏ nhất của biểu thức F(x; y) = x + 5y

A. -20.

B. -4.

C. 28.

D. 16.

Lời giải:

Đáp án đúng là: B

Biểu diễn tập nghiệm của các bất phương trình trên mặt phẳng tọa độ:

• Đường thẳng d1: y = -2 là đường thẳng song song với trục Ox và đi qua điểm có tung độ bằng -2.

Chọn điểm O(0; 0) Ï d1 và thay vào biểu thức y được 0 > -2.

Suy ra miền nghiệm của bất phương trình -2 ≤ y là nửa mặt phẳng bờ d1 chứa điểm O(0; 0).

• Đường thẳng d2: y = 2 là đường thẳng song song với trục Ox và đi qua điểm có tung độ bằng 2.

Chọn điểm O(0; 0) ∉ d2 và thay vào biểu thức y được 0 < 2.

Suy ra miền nghiệm của bất phương trình y ≤ 2 là nửa mặt phẳng bờ d2 chứa điểm O(0; 0).

• Vẽ đường thẳng d3: x + y = 4 bằng cách vẽ đường thẳng đi qua hai điểm (0; 4) và (4; 0).

Chọn điểm O(0; 0) ∉ d3 và thay vào biểu thức x + y được 0 < 4.

Suy ra miền nghiệm của bất phương trình x + y ≤ 4 là nửa mặt phẳng bờ d3 chứa điểm O(0; 0).

• Vẽ đường thẳng d4: y – x = 4 bằng cách vẽ đường thẳng đi qua hai điểm (0; 4) và (1; 5).

Chọn điểm O(0; 0)∉ d4 và thay vào biểu thức y – x được 0 < 4.

Suy ra miền nghiệm của bất phương trình y – x ≤ 4 là nửa mặt phẳng bờ d4 chứa điểm O(0; 0).

Khi đó miền nghiệm của hệ là miền không bị gạch như hình vẽ dưới đây:

Tổng của giá trị lớn nhất và giá trị nhỏ nhất của biểu thức F(x; y) = x + 5y

Ta thấy miền nghiệm của hệ bất phương trình trên là miền tứ giác với các đỉnh (-6; -2), (-2; 2), (2;2) và (6; -2).

Ta có:

F(-6; -2) = -6 + 5 . (-2) = -16;

F(-2; 2) = -2 + 5 . 2 = 8;

F(2; 2) = 2 + 5 . 2 = 12;

F(6; -2) = 6 + 5 . (-2) = -4.

Do đó giá trị lớn nhất của F(x; y) = 12 và giá trị nhỏ nhất của F(x; y) = -16.

Suy ra tổng của giá trị lớn nhất và giá trị nhỏ nhất của biểu thức F(x; y) với (x; y) thuộc miền nghiệm của hệ bất phương trình trên là 12 + (-16) = -4.

Vậy chọn phương án B.

B. Tự luận

Giải SBT Toán 10 trang 27 Tập 1

Bài 2.24 trang 27 sách bài tập Toán lớp 10 Tập 1: Một hợp tác xã chăn nuôi dự định trộn hai loại thức ăn gia súc X và Y để tạo thành thức ăn hỗn hợp cho gia súc. Giá một bao loại X là 250 nghìn đồng, giá một bao loại Y là 200 nghìn đồng. Mỗi bao loại X chứa 2 đơn vị chất dinh dưỡng A, 2 đơn vị chất dinh dưỡng B và 2 đơn vị chất dinh dưỡng C. Mỗi bao loại Y chứa 1 đơn vị chất dinh dưỡng A, 9 đơn vị chất dinh dưỡng B và 3 đơn vị chất dinh dưỡng C. Tìm chi phí nhỏ nhất để mua hai loại thức ăn gia súc X và Y sao cho hỗn hợp thu được chứa tối thiểu 12 đơn vị chất dinh dưỡng A, 36 đơn vị chất dinh dưỡng B và 24 đơn vị chất dinh dưỡng C.

A. 1,95 triệu đồng.

B. 4,5 triệu đồng.

C. 1,85 triệu đồng.

D. 1,7 triệu đồng.

Lời giải:

Đáp án đúng là: A

Gọi số bao loại X và số bao loại Y lần lượt là x bao và y bao (x, y ∈ ℕ).

Mỗi bao loại X chứa 2 đơn vị chất dinh dưỡng A, 2 đơn vị chất dinh dưỡng B và 2 đơn vị chất dinh dưỡng C nên x bao loại X chứa 2x đơn vị chất dinh dưỡng A, 2x đơn vị chất dinh dưỡng B và 2x đơn vị chất dinh dưỡng C.

Mỗi bao loại Y chứa 1 đơn vị chất dinh dưỡng A, 9 đơn vị chất dinh dưỡng B và 3 đơn vị chất dinh dưỡng C nên y bao loại Y chứa y đơn vị chất dinh dưỡng A, 9y đơn vị chất dinh dưỡng B và 3y đơn vị chất dinh dưỡng C.

Hỗn hợp thu được chứa tối thiểu 12 đơn vị chất dinh dưỡng A, 36 đơn vị chất dinh dưỡng B và 24 đơn vị chất dinh dưỡng C nên 2x + y ≥ 12; 2x + 9y ≥ 36; 2x + 3y ≥ 24.

Khi đó ta có hệ bất phương trình sau

Một hợp tác xã chăn nuôi dự định trộn hai loại thức ăn gia súc X và Y để tạo thành thức ăn hỗn hợp cho gia súc

F(x; y) = 250x + 200y (triệu đồng).

Biểu diễn tập nghiệm của các bất phương trình trên mặt phẳng tọa độ:

• Đường thẳng d1: x = 0 là đường thẳng trùng với trục Oy.

Chọn điểm I(5; 5)∉d1 và thay vào biểu thức x ta được 5 > 0.

Suy ra miền nghiệm của bất phương trình x ≥ 0 là nửa mặt phẳng bờ d1 chứa điểm I(5; 5).

• Đường thẳng d2: y = 0 là đường thẳng trùng với trục Ox.

Chọn điểm I(5; 5)∉ d2 và thay vào biểu thức y ta được 5 > 0.

Suy ra miền nghiệm của bất phương trình y ≥ 0 là nửa mặt phẳng bờ d2 chứa điểm I(5; 5).

• Vẽ đường thẳng d3: 2x + y = 12 bằng cách vẽ đường thẳng đi qua hai điểm (6; 0) và (5; 2).

Chọn điểm I(5; 5)∉d3 và thay vào biểu thức 2x + y ta được 2 . 5 + 5 = 15 > 12.

Suy ra miền nghiệm của bất phương trình 2x + y ≥ 12 là nửa mặt phẳng bờ d3 chứa điểm I(5; 5).

• Vẽ đường thẳng d4: 2x + 9y = 36 bằng cách vẽ đường thẳng đi qua hai điểm (0; 4) và (4,5; 3).

Chọn điểm I(5; 5) ∉ d4 và thay vào biểu thức 2x + 9y ta được 2 . 5 + 9 . 5 = 55 > 36.

Suy ra miền nghiệm của bất phương trình 2x + 9y ≥ 36 là nửa mặt phẳng bờ d4 chứa điểm I(5; 5).

• Vẽ đường thẳng d5: 2x + 3y = 24 bằng cách vẽ đường thẳng đi qua hai điểm (3; 6) và (6; 4).

Chọn điểm I(5; 5) ∉ d5 và thay vào biểu thức 2x + 3y ta được 2 . 5 + 3 . 5 = 25 > 24.

Suy ra miền nghiệm của bất phương trình 2x + 3y ≥ 24 là nửa mặt phẳng bờ d5 chứa điểm I(5; 5).

Khi đó miền nghiệm của hệ là miền không bị gạch như hình vẽ dưới đây:

Một hợp tác xã chăn nuôi dự định trộn hai loại thức ăn gia súc X và Y để tạo thành thức ăn hỗn hợp cho gia súc

Miền nghiệm của hệ được giới hạn bởi các điểm (0; 12); (3; 6); (9; 2); (18; 0).

Ta có:

F(0; 12) = 250 . 0 + 200 . 12 = 2 400;

F(3; 6) = 250 . 3 + 200 . 6 = 1 950;

F(9; 2) = 250 . 9 + 200 . 2 = 2 650;

F(18; 0) = 250 . 18 + 200 . 0 = 4 500.

Khi đó ta thấy F(x; y) đạt giá trị nhỏ nhất bằng 1 950 tại x = 3; y = 6.

Vậy chi phí nhỏ nhất để mua hai loại thức ăn là 1,95 triệu đồng.

Bài 2.25 trang 27 sách bài tập Toán lớp 10 Tập 1: Biểu diễn miền nghiệm của các bất phương trình bậc nhất hai ẩn sau trên mặt phẳng tọa độ:

a) x + y ≥ -4;

b) 2x – y ≤ 5;

c) x + 2y < 0;

d) -x + 2y > 0.

Lời giải:

a) Biểu diễn tập nghiệm của bất phương trình x + y ≥ -4 trên mặt phẳng tọa độ:

• Vẽ đường thẳng d1: x + y = -4 bằng cách vẽ đường thẳng đi qua hai điểm (0; -4) và (-4; 0).

• Chọn điểm O(0; 0) ∉ d1 và thay vào biểu thức x + y ta được 0 > -4.

Suy ra miền nghiệm của bất phương trình x + y ≥ -4 là nửa mặt phẳng bờ d1 chứa điểm O(0; 0).

Biểu diễn miền nghiệm của các bất phương trình bậc nhất hai ẩn

b) Biểu diễn tập nghiệm của bất phương trình 2x – y ≤ 5 trên mặt phẳng tọa độ:

• Vẽ đường thẳng d1: 2x – y = 5 bằng cách vẽ đường thẳng đi qua hai điểm (0; -5) và (3; 1).

• Chọn điểm O(0; 0) ∉ d1 và thay vào biểu thức 2x – y ta được 0 < 5.

Suy ra miền nghiệm của bất phương trình 2x – y ≤ 5 là nửa mặt phẳng bờ d1 chứa điểm O(0; 0).

Biểu diễn miền nghiệm của các bất phương trình bậc nhất hai ẩn

c) Biểu diễn tập nghiệm của bất phương trình x + 2y < 0 trên mặt phẳng tọa độ:

• Vẽ đường thẳng d1: x + 2y = 0 bằng cách vẽ đường thẳng đi qua hai điểm (0; 0) và (2; -1).

Chọn điểm I(1; 1)∉ d1 và thay vào biểu thức x + 2y ta được 1 + 2 . 1 = 3 > 0.

• Suy ra miền nghiệm của bất phương trình x + 2y < 0 là nửa mặt phẳng bờ d1 không chứa điểm I(1; 1) và bỏ đi đường thẳng d1.

Biểu diễn miền nghiệm của các bất phương trình bậc nhất hai ẩn

d) Biểu diễn tập nghiệm của bất phương trình -x + 2y > 0 trên mặt phẳng tọa độ:

• Vẽ đường thẳng d1: -x + 2y = 0 bằng cách vẽ đường thẳng đi qua hai điểm (0; 0) và (2; 1).

• Chọn điểm I(1; 1)∉d1 và thay vào biểu thức -x + 2y ta được 1 > 0.

Suy ra miền nghiệm của bất phương trình -x + 2y > 0 là nửa mặt phẳng bờ d1 chứa điểm I(1; 1) và bỏ đi đường thẳng d1.

Biểu diễn miền nghiệm của các bất phương trình bậc nhất hai ẩn

Bài 2.26 trang 27 sách bài tập Toán lớp 10 Tập 1: Biểu diễn miền nghiệm của các hệ bất phương trình bậc nhất hai ẩn sau trên mặt phẳng tọa độ:

Biểu diễn miền nghiệm của các hệ bất phương trình bậc nhất hai ẩn Bài 2.26 trang 27 sách bài tập Toán 10 tập 1

ý b

ý c

Lời giải:

a) Biểu diễn tập nghiệm của các bất phương trình trên mặt phẳng tọa độ:

• Đường thẳng d1: x = 0 là đường thẳng trùng với trục Oy.

Chọn điểm I(1; 1)∉ d1 và thay vào biểu thức x ta được 1 > 0.

Suy ra miền nghiệm của bất phương trình x ≥ 0 là nửa mặt phẳng bờ d1 chứa điểm I(1; 1).

• Đường thẳng d2: x = 10 là đường thẳng song song với trục Oy và đi qua điểm có hoành độ bằng 10.

Chọn điểm I(1; 1) ∉ d2 và thay vào biểu thức x ta được 1 < 10.

Suy ra miền nghiệm của bất phương trình x ≤ 10 là nửa mặt phẳng bờ d2 chứa điểm I(1; 1).

• Đường thẳng d3: y = 0 là đường thẳng trùng với trục Ox.

Chọn điểm I(1; 1) ∉ d3 và thay vào biểu thức y ta được 1 > 0.

Suy ra miền nghiệm của bất phương trình y > 0 là nửa mặt phẳng bờ d3 chứa điểm I(1; 1) và bỏ đi đường thẳng d3.

• Vẽ đường thẳng d4: x – y = 4 bằng cách vẽ đường thẳng đi qua hai điểm (4; 0) và (0; -4).

Chọn điểm I(1; 1) ∉ d4 và thay vào biểu thức x – y ta được 0 < 4.

Suy ra miền nghiệm của bất phương trình x – y > 4 là nửa mặt phẳng bờ d4 không chứa điểm I(1; 1) và bỏ đi đường thẳng d4.

Khi đó miền nghiệm của hệ là miền không bị gạch như hình vẽ dưới đây:

Biểu diễn miền nghiệm của các hệ bất phương trình bậc nhất hai ẩn Bài 2.26 trang 27 sách bài tập Toán 10 tập 1

b) Biểu diễn tập nghiệm của các bất phương trình trên mặt phẳng tọa độ:

• Đường thẳng d1: y = 0 là đường thẳng trùng với trục Ox.

Chọn điểm I(0; 0,5) Ï d1 và thay vào biểu thức y ta được 0,5 > 0.

Suy ra miền nghiệm của bất phương trình y ≥ 0 là nửa mặt phẳng bờ d1 chứa điểm I(0; 0,5).

• Đường thẳng d2: y = 1 là đường thẳng song song với trục Ox và đi qua điểm có tung độ bằng 1.

Chọn điểm I(0; 0,5) ∉ d2 và thay vào biểu thức y ta được 0,5 < 1.

Suy ra miền nghiệm của bất phương trình y ≤ 1 là nửa mặt phẳng bờ d2 chứa điểm I(0; 0,5).

• Vẽ đường thẳng d3: x + y = 2 bằng cách vẽ đường thẳng đi qua hai điểm (2; 0) và (0; 2).

Chọn điểm I(0; 0,5) ∉ d3 và thay vào biểu thức x + y ta được 0,5 < 2.

Suy ra miền nghiệm của bất phương trình x + y ≤ 2 là nửa mặt phẳng bờ d3 chứa điểm I(0; 0,5).

• Vẽ đường thẳng d4: y – x = 2 bằng cách vẽ đường thẳng đi qua hai điểm (0; 2) và (-2; 0).

Chọn điểm I(0; 0,5) ∉ d4 và thay vào biểu thức y – x ta được 0,5 < 2.

Suy ra miền nghiệm của bất phương trình y – x ≤ 2 là nửa mặt phẳng bờ d4 chứa điểm I(0; 0,5).

Khi đó miền nghiệm của hệ là miền không bị gạch như hình vẽ dưới đây:

Biểu diễn miền nghiệm của các hệ bất phương trình bậc nhất hai ẩn Bài 2.26 trang 27 sách bài tập Toán 10 tập 1

c) Biểu diễn tập nghiệm của các bất phương trình trên mặt phẳng tọa độ:

• Đường thẳng d1: x = 0 là đường thẳng trùng với trục Oy.

Chọn điểm I(1; 1) ∉ d1 và thay vào biểu thức x ta được 1 > 0.

Suy ra miền nghiệm của bất phương trình x ≥ 0 là nửa mặt phẳng bờ d1 chứa điểm I(1; 1).

• Vẽ đường thẳng d2: 4x – 6y = 0 bằng cách vẽ đường thẳng đi qua hai điểm (0; 0) và (3; 2).

Chọn điểm I(1; 1)∉d2 và thay vào biểu thức 4x – 6y ta được -2 < 0.

Suy ra miền nghiệm của bất phương trình 4x – 6y < 0 là nửa mặt phẳng bờ d2 chứa điểm I(1; 1) và bỏ đi đường thẳng d2.

• Vẽ đường thẳng d3: 2x – 3y = 1 bằng cách vẽ đường thẳng đi qua hai điểm (2; 1) và (5; 3).

Chọn điểm I(1; 1) ∉ d3 và thay vào biểu thức 2x – 3y ta được -1 < 1.

Suy ra miền nghiệm của bất phương trình 2x – 3y ≥ 1 là nửa mặt phẳng bờ d3 không chứa điểm I(1; 1).

Khi đó hệ vô nghiệm vì mặt phẳng tọa độ đều bị gạch.

Biểu diễn miền nghiệm của các hệ bất phương trình bậc nhất hai ẩn Bài 2.26 trang 27 sách bài tập Toán 10 tập 1

Bài 2.27 trang 27 sách bài tập Toán lớp 10 Tập 1: Tìm giá trị lớn nhất và giá trị nhỏ nhất của biểu thức F(x; y) = 2x + 3y với (x; y) thuộc miền nghiệm của hệ bất phương trình

Tìm giá trị lớn nhất và giá trị nhỏ nhất của biểu thức F(x; y) = 2x + 3y

Lời giải:

Biểu diễn tập nghiệm của các bất phương trình trên mặt phẳng tọa độ:

• Đường thẳng d1: y = -1 là đường thẳng song song với trục Ox đi qua điểm có tung độ bằng -1.

Chọn điểm O(0; 0) ∉ d1 và thay vào biểu thức y ta được 0 > -1.

Suy ra miền nghiệm của bất phương trình y ≥ -1 là nửa mặt phẳng bờ d1 chứa điểm O(0; 0).

• Đường thẳng d2: y = 1 là đường thẳng song song với trục Ox đi qua điểm có tung độ bằng 1.

Chọn điểm O(0; 0) ∉ d2 và thay vào biểu thức y ta được 0 < 1.

Suy ra miền nghiệm của bất phương trình y ≤ 1 là nửa mặt phẳng bờ d2 chứa điểm O(0; 0).

• Vẽ đường thẳng d3: x + y = 4 bằng cách vẽ đường thẳng đi qua hai điểm (0; 4) và (4; 0).

Chọn điểm O(0; 0) ∉ d3 và thay vào biểu thức x + y ta được 0 < 4.

Suy ra miền nghiệm của bất phương trình x + y ≤ 4 là nửa mặt phẳng bờ d3 chứa điểm O(0; 0).

• Vẽ đường thẳng d4: y – x = 4 bằng cách vẽ đường thẳng đi qua hai điểm (0; 4) và (-4; 0).

Chọn điểm O(0; 0) ∉d4 và thay vào biểu thức y – x ta được 0 < 4.

Suy ra miền nghiệm của bất phương trình y – x ≤ 4 là nửa mặt phẳng bờ d4 chứa điểm O(0; 0).

Khi đó miền nghiệm của hệ là miền không bị gạch như hình vẽ dưới đây:

Tìm giá trị lớn nhất và giá trị nhỏ nhất của biểu thức F(x; y) = 2x + 3y

Ta thấy miền nghiệm của hệ bất phương trình trên là miền tứ giác với các đỉnh (-5; -1), (-3; 1), (3; 1), (5; -1).

Ta có:

F(-5; -1) = 2 . (-5) + 3 . (-1) = -13;

F(-3; 1) = 2 . (-3) + 3 . 1 = -3;

F(3; 1) = 2 . 3 + 3 . 1 = 9;

F(5; -1) = 2 . 5 + 3 . (-1) = 7.

Khi đó giá trị nhỏ nhất của F(x; y) là F(-5; -1) = -13 và giá trị lớn nhất là F(3; 1) = 9.

Bài 2.28 trang 27 sách bài tập Toán lớp 10 Tập 1: Một phân xưởng có hai máy chuyên dụng M1 và M2 để sản xuất hai loại sản phẩm A và B theo đơn đặt hàng. Nếu sản xuất được một tấn sản phẩm loại A thì phân xưởng nhận được số tiền lãi là 2 triệu đồng. Nếu sản xuất được một tấn sản phẩm loại B thì phân xưởng nhận được số tiền lãi là 1,6 triệu đồng. Muốn sản xuất một tấn sản phẩm loại A, người ta phải dùng máy M1 trong 3 giờ và máy M2 trong 1 giờ. Muốn sản xuất một tấn sản phẩm loại B, người ta phải dùng máy M1 trong 1 giờ và máy M2 trong 1 giờ. Một máy không thể dùng để sản xuất đồng thời hai loại sản phẩm này. Máy M1 làm việc không quá 6 giờ một ngày và máy M2 làm việc không quá 4 giờ một ngày. Hỏi số tiền lãi lớn nhất mà phân xưởng này có thể thu được trong một ngày là bao nhiêu?

Lời giải:

Gọi số sản phẩm loại A và loại B sản xuất ra lần lượt là x tấn và y tấn (x, y ≥ 0).

Để sản xuất x tấn sản phẩm loại A thì máy M1 cần hoạt động trong 3x giờ, máy M2 cần hoạt động trong x giờ.

Để sản xuất y tấn sản phẩm loại B thì máy M1 cần hoạt động y giờ, máy M2 cần hoạt động trong y giờ.

Do máy M1 làm việc không quá 6 giờ một ngày và máy M2 làm việc không quá 4 giờ một ngày nên 3x + y ≤ 6; x + y ≤ 4.

Khi đó ta có hệ phương trình

Một phân xưởng có hai máy chuyên dụng M1 và M2 để sản xuất hai loại sản phẩm A và B theo đơn đặt hàng

F(x; y) = 2x + 1,6y (triệu đồng).

Biểu diễn tập nghiệm của các bất phương trình trên mặt phẳng tọa độ:

• Đường thẳng d1: x = 0 là đường thẳng trùng với trục Oy.

Chọn điểm I(1; 1)∉ d1 và thay vào biểu thức x ta được 1 > 0.

Suy ra miền nghiệm của bất phương trình x ≥ 0 là nửa mặt phẳng bờ d1 chứa điểm I(1; 1).

• Đường thẳng d2: y = 0 là đường thẳng trùng với trục Ox.

Chọn điểm I(1; 1) ∉ d2 và thay vào biểu thức y ta được 1 > 0.

Suy ra miền nghiệm của bất phương trình y ≥ 0 là nửa mặt phẳng bờ d2 chứa điểm I(1; 1).

• Vẽ đường thẳng d3: 3x + y = 6 bằng cách vẽ đường thẳng đi qua hai điểm (2; 0) và (1; 3).

Chọn điểm I(1; 1) ∉ d3 và thay vào biểu thức 3x + y ta được 4 < 6.

Suy ra miền nghiệm của bất phương trình 3x + y ≤ 6 là nửa mặt phẳng bờ d3 chứa điểm I(1; 1).

• Vẽ đường thẳng d4: x + y = 4 bằng cách vẽ đường thẳng đi qua hai điểm (4; 0) và (0; 4).

Chọn điểm I(1; 1) ∉ d4 và thay vào biểu thức x + y ta được 2 < 4.

Suy ra miền nghiệm của bất phương trình x + y ≤ 4 là nửa mặt phẳng bờ d4 chứa điểm I(1; 1).

Khi đó miền nghiệm của hệ là miền không bị gạch như hình vẽ dưới đây:

Một phân xưởng có hai máy chuyên dụng M1 và M2 để sản xuất hai loại sản phẩm A và B theo đơn đặt hàng

Ta thấy miền nghiệm của hệ bất phương trình trên là miền tứ giác với các đỉnh (0; 0), (0; 4), (1; 3), (2; 0).

Ta có:

F(0; 0) = 2 . 0 + 1,6 . 0 = 0;

F(0; 4) = 2 . 0 + 1,6 . 4 = 6,4;

F(1; 3) = 2 . 1 + 1,6 . 3 = 6,8;

F(2; 0) = 2 . 2 + 1,6 . 0 = 4.

Khi đó giá trị của F(x; y) lớn nhất bằng 6,8.

Vậy số tiền lãi lớn nhất một ngày mà phân xưởng có thể đạt được là 6,8 triệu đồng.

Giải SBT Toán 10 trang 28 Tập 1

Bài 2.29 trang 28 sách bài tập Toán lớp 10 Tập 1: Giả sử một người ăn kiêng cần được cung cấp ít nhất 300 calo, 36 đơn vị vitamin A và 90 đơn vị vitamin C mỗi ngày từ hai loại đồ uống I và II. Mỗi cốc đồ uống I cung cấp 60 calo, 12 đơn vị vitamin A và 10 đơn vị vitamin C.

Mỗi cốc đồ uống II cung cấp 60 calo, 6 đơn vị vitamin A và 30 đơn vị vitamin C. Biết rằng một cốc đồ uống I có giá 12 nghìn đồng và một cốc đồ uống II có giá 15 nghìn đồng.

a) Gọi x và y tương ứng là số cốc đồ uống I và II. Viết các bất phương trình biểu thị các điều kiện của bài toán thành một hệ bất phương trình và xác định miền nghiệm của hệ đó.

b) Gọi F (nghìn đồng) là số tiền phải trả cho x cốc đồ uống I và y cốc đồ uống II. Hãy biểu diễn F theo x và y.

c) Biết rằng F đạt giá trị nhỏ nhất trên miền nghiệm tìm được ở câu a tại một trong các đỉnh của miền nghiệm, tìm giá trị nhỏ nhất đó. Từ đó suy ra người đó cần uống bao nhiêu cốc loại I và loại II để chi phí là nhỏ nhất mà vẫn đáp ứng được yêu cầu hằng ngày.

Lời giải:

a) Do có x cốc đồ uống I và y cốc đồ uống II nên x ≥ 0; y ≥ 0.

x cốc đồ uống I cung cấp 60x calo, 12x đơn vị vitamin A và 10x đơn vị vitamin C.

y cốc đồ uống II cung cấp 60y calo, 6y đơn vị vitamin A và 30y đơn vị vitamin C.

Do người đó cần cung cấp ít nhất 300 calo, 36 đơn vị vitamin A và 90 đơn vị vitamin C nên 60x + 60y ≥ 300; 12x + 6y ≥ 36; 10x + 30y ≥ 90.

Khi đó ta có hệ bất phương trình sau:

Một người ăn kiêng cần được cung cấp ít nhất 300 calo, 36 đơn vị vitamin A và 90 đơn vị vitamin C mỗi ngày

Biểu diễn tập nghiệm của các bất phương trình trên mặt phẳng tọa độ:

• Đường thẳng d1: x = 0 là đường thẳng trùng với trục Oy.

Chọn điểm I(3; 3)∉ d1 và thay vào biểu thức x ta được 3 > 0.

Suy ra miền nghiệm của bất phương trình x ≥ 0 là nửa mặt phẳng bờ d1 chứa điểm I(3; 3).

• Đường thẳng d2: y = 0 là đường thẳng trùng với trục Ox.

Chọn điểm I(3; 3) ∉ d2 và thay vào biểu thức y ta được 3 > 0.

Suy ra miền nghiệm của bất phương trình y ≥ 0 là nửa mặt phẳng bờ d2 chứa điểm I(3; 3).

• Vẽ đường thẳng d3: x + y = 5 bằng cách vẽ đường thẳng đi qua hai điểm (0; 5) và (5; 0).

Chọn điểm I(3; 3) ∉ d3 và thay vào biểu thức x + y ta được 6 > 5.

Suy ra miền nghiệm của bất phương trình x + y ≥ 5 là nửa mặt phẳng bờ d3 chứa điểm I(3; 3).

• Vẽ đường thẳng d4: 2x + y = 6 bằng cách vẽ đường thẳng đi qua hai điểm (0; 6) và (1; 4).

Chọn điểm I(3; 3) ∉d4 và thay vào biểu thức x + y ta được 2 . 3 + 3 = 9 > 6.

Suy ra miền nghiệm của bất phương trình 2x + y ≥ 5 là nửa mặt phẳng bờ d4 chứa điểm I(3; 3).

• Vẽ đường thẳng d5: x + 3y = 9 bằng cách vẽ đường thẳng đi qua hai điểm (0; 3) và (3; 2).

Chọn điểm I(3; 3) ∉ d5 và thay vào biểu thức x + 3y ta được 2 + 3 . 3 = 11 > 5.

Suy ra miền nghiệm của bất phương trình x + 3y ≥ 9 là nửa mặt phẳng bờ d5 chứa điểm I(3; 3).

Khi đó miền nghiệm của hệ là miền không bị gạch như hình vẽ dưới đây:

Một người ăn kiêng cần được cung cấp ít nhất 300 calo, 36 đơn vị vitamin A và 90 đơn vị vitamin C mỗi ngày

Ta thấy miền nghiệm của hệ bất phương trình trên là miền tứ giác với các đỉnh (0; 6), (1; 4), (3; 2), (9; 0).

b) Chi phí cho hai loại đồ uống là F(x; y) = 12x + 15y (nghìn đồng).

c) Ta có:

F(0; 6) = 12 . 0 + 15 . 6 = 90;

F(1; 4) = 12 . 1 + 15 . 4 = 72;

F(3; 2) = 12 . 3 + 15 . 2 = 66;

F(9; 0) = 12 . 9 + 15 . 0 = 108.

Giá trị nhỏ nhất của F(x; y) bằng 66 khi x = 3 và y = 2.

Vậy người đó cần uống 3 cốc đồ uống I và 2 cốc đồ uống II để đạt được các mục tiêu đã đề ra.

Xem thêm các bài giải SBT Toán 10 Kết nối tri thức hay, chi tiết khác:

Bài 4: Hệ bất phương trình bậc nhất hai ẩn

Bài 5: Giá trị lượng giác của một góc từ 0° đến 180°

Bài 6: Hệ thức lượng trong tam giác

Bài tập cuối chương 3

Tags : Tags Giải SBT Toán 10
Share
facebookShare on Facebook

Bài liên quan

Giải SGK Toán 10 Bài 7 (Kết nối tri thức): Các khái niệm mở đầu

Giải SGK Toán 10 Bài 20 (Kết nối tri thức): Vị trí tương đối giữa hai đường thẳng. Góc và khoảng cách

Sách bài tập Toán 10 Bài 9 (Kết nối tri thức): Tích của một vectơ với một số

Sách bài tập Toán 10 Bài 22 (Kết nối tri thức): Ba đường conic

Chuyên đề Toán 10 Bài 4: Nhị thức Newton | Kết nối tri thức

20 câu Trắc nghiệm Tích của một vectơ với một số (Kết nối tri thức 2025) có đáp án – Toán lớp 10

20 câu Trắc nghiệm Ba đường conic (Kết nối tri thức 2025) có đáp án – Toán lớp 10

Giải SGK Toán 10 Bài 8 (Kết nối tri thức): Tổng và hiệu của hai vectơ

0 Góp ý
Phản hồi nội tuyến
Xem tất cả bình luận

Mục lục

  1. Giải SGK Toán 10 Bài 1 (Kết nối tri thức): Mệnh đề
  2. Giải SGK Toán 10 Bài 2 (Kết nối tri thức): Tập hợp và các phép toán trên tập hợp
  3. Giải SGK Toán 10 (Kết nối tri thức) Bài tập cuối chương 1
  4. Giải SGK Toán 10 Bài 3 (Kết nối tri thức): Bất phương trình bậc nhất hai ẩn
  5. Giải SGK Toán 10 Bài 4 (Kết nối tri thức): Hệ bất phương trình bậc nhất hai ẩn
  6. Giải SGK Toán 10 (Kết nối tri thức) Bài tập cuối chương 2
  7. Giải SGK Toán 10 Bài 5 (Kết nối tri thức): Giá trị lượng giác của một góc từ 0 đến 180
  8. Giải SGK Toán 10 Bài 6 (Kết nối tri thức): Hệ thức lượng trong tam giác
  9. Giải SGK Toán 10 (Kết nối tri thức) Bài tập cuối chương 3
  10. Giải SGK Toán 10 Bài 7 (Kết nối tri thức): Các khái niệm mở đầu
  11. Giải SGK Toán 10 Bài 8 (Kết nối tri thức): Tổng và hiệu của hai vectơ
  12. Giải SGK Toán 10 Bài 9 (Kết nối tri thức): Tích của một vecto với một số
  13. Giải SGK Toán 10 Bài 10 (Kết nối tri thức): Vectơ trong mặt phẳng tọa độ
  14. Giải SGK Toán 10 Bài 11 (Kết nối tri thức): Tích vô hướng của hai vecto
  15. Giải SGK Toán 10 (Kết nối tri thức) Bài tập cuối chương 4
  16. Giải SGK Toán lớp 10 Bài 12 (Kết nối tri thức): Số gần đúng và sai số
  17. Giải SGK Toán lớp 10 Bài 13 (Kết nối tri thức): Các số đặc trưng đo trung tâm xu thế
  18. Giải SGK Toán lớp 10 Bài 14 (Kết nối tri thức): Các số đặc trưng đo độ phân tán
  19. Giải SGK Toán lớp 10 (Kết nối tri thức) Bài tập cuối chương 5
  20. Giải SGK Toán 10 Bài 15 (Kết nối tri thức): Hàm số

Copyright © 2026 Học tập lớp 12 - Sách Toán - Học Tập AI
  • Sitemap
  • Chính sách
  • Giới thiệu
  • Hướng dẫn
  • Kết quả
  • Liên hệ
Back to Top
Menu
  • Sitemap
  • Chính sách
  • Giới thiệu
  • Hướng dẫn
  • Kết quả
  • Liên hệ
wpDiscuz