Giải SBT Toán lớp 10 Bài 6: Hệ thức lượng trong tam giác
Giải SBT Toán 10 trang 38 Tập 1
Bài 3.7 trang 38 SBT Toán 10 Tập 1: Cho tam giác ABC có và c = 12.
a) Tính độ dài các cạnh còn lại của ta m giác.
b) Tính độ dài bán kính đường tròn ngoại tiếp của tam giác.
c) Tính diện tích của tam giác.
d) Tính độ dài các đường cao của tam giác.
Lời giải:

a) Xét DABC có
Áp dụng định lí sin ta có:
Suy ra:
•
•
Vậy
b) Theo định lí sin ta có
Vậy bán kính đường tròn ngoại tiếp tam giác ABC bằng 12.
c) Áp dụng công thức diện tích tam giác ta có:
Vậy diện tích tam giác ABC bằng
d) Áp dụng công thức diện tích tam giác ta có:
Do đó:
•
•
•
Vậy độ dài các đường cao ha, hb, hc của tam giác ABC lần lượt là
Bài 3.8 trang 38 SBT Toán 10 Tập 1: Tam giác ABC có a = 19, b = 6 và c = 15.
a) Tính cosA.
b) Tính diện tích tam giác.
c) Tính độ dài đường cao hc.
d) Tính độ dài bán kính đường tròn nội tiếp của tam giác.
Lời giải:
a) Áp dụng định lí côsin cho DABC ta có:
a2 = b2 + c2 – 2bc.cosA
Vậy cosA =
b) Tam giác ABC có a = 19, b = 6 và c = 15
Khi đó:
•
• p – a = 1;
• p – b = 14;
• p – c = 5.
Áp dụng công thức Heron ta có:
Vậy diện tích DABC bằng
c) Áp dụng công thức diện tích tam giác ta có:
Vậy độ dài đường cao
d) Áp dụng công thức diện tích tam giác ta có:
S = pr
Vậy bán kính đường tròn nội tiếp tam giác ABC bằng
Giải SBT Toán 10 trang 39 Tập 1
Bài 3.9 trang 39 SBT Toán 10 Tập 1: Cho tam giác ABC có a = 4, b = 5.
a) Tính các góc và cạnh còn lại của tam giác.
b) Tính diện tích của tam giác.
c) Tính độ dài đường trung tuyến kẻ từ đỉnh A của tam giác.
Lời giải:
a) Áp dụng định lí côsin cho DABC ta có:
c2 = a2 + b2 – 2ab.cosC
=> c2 = 42 + 52 – 2.4.5.cos60°
= 16 + 25 – 40. = 21.
=> c =
Áp dụng định lí sin ta có:
Do đó:
•
•
Vậy
b) Áp dụng công thức tính diện tích tam giác ta có:
Vậy diện tích tam giác ABC bằng
c) Áp dụng công thức tính độ dài đường trung tuyến trong phần Nhận xét của Ví dụ 3, trang 37, SBT, Toán 10, Tập một ta có:
Vậy độ dài đường trung tuyến kẻ từ đỉnh A của tam giác ABC bằng
Bài 3.10 trang 39 SBT Toán 10 Tập 1: Một tàu cá xuất phát từ đảo A, chạy 50 km theo hướng N24°E đến đảo B để lấy thêm ngư cụ, rồi chuyển hướng N36°W chạy tiếp 130 km đến ngư trường C.
a) Tính khoảng cách từ vị trí xuất phát A đến C (làm tròn đến hàng đơn theo đơn vị đo kilômét).
b) Tìm hướng từ A đến C (làm tròn đến hàng đơn vị, theo đơn vị độ).
Lời giải:
Ba vị trí đảo A, đảo B và ngư trường C được mô tả như hình vẽ đưới đây:

a) Ta có:
Áp dụng định lí côsin cho tam giác ABC ta có:
AC2 = AB2 + BC2 – 2.AB.BC.cos
= 502 + 1302 – 2.50.130. = 25 900
Vậy khoảng cách từ đảo A đến ngư trường C khoảng 161 km.
b) Áp dụng định lí sin cho tam giác ABC ta có:
Do đó AC có hướng chếch về hướng W một góc 44° – 24° = 22° so với hướng N.
Vậy từ A đến C có hướng N20°W.
Bài 3.11 trang 39 SBT Toán 10 Tập 1: Một tàu du lịch xuất phát từ bãi biển Đồ Sơn (Hải Phòng), chạy theo hướng N80°E với vận tốc 20 km/h. Sau khi đi được 30 phút, tàu chuyển sang hướng E20°S giữ nguyên vận tốc và chạy tiếp 36 phút nữa đến đảo Cát Bà. Hỏi khi đó tàu du lịch cách vị trí xuất phát bao nhiêu kilômet?
Lời giải:
Giả sử tàu du lịch xuất phát từ điểm A, chuyển động theo hướng N80°E tới B sau đó chuyển hướng E20°S tới điểm C như hình vẽ dưới đây.

Ta có:
Tàu chạy từ A đến B với vận tốc 20 km/h trong 30 phút (= 0,5 giờ) nên:
AB = 20.0,5 = 10 (km).
Tàu chạy từ B đến C với vận tốc 20 km/h trong 36 phút (= 0,6 giờ) nên:
BC = 20.0,6 = 12 (km)
Áp dụng định lí côsin cho tam giác ABC ta được:
AC2 = AB2 + BC2 – 2.AB.BC.cos
= 102 + 122 – 2.10.12.cos150°
= 100 + 144 – 240. = 452 (km)
Suy ra
Vậy khi tới đảo Cát Bà thì tàu du lịch cách vị trí xuất phát (bãi biển Đồ Sơn) khoảng 21,26 km.
Bài 3.12 trang 39 SBT Toán 10 Tập 1: Một cây cổ thụ mọc thẳng đứng bên lề một con dốc có độ dốc 10° so với phương nằm ngang. Từ một điểm dưới chân dốc, cách gốc cây 31 m người ta nhìn đỉnh ngọn cây dưới một góc 40° so với phương nằm ngang. Hãy tính chiều cao của cây.
Lời giải:
Cây cổ thụ và con dốc được mô tả như hình vẽ dưới đây:

Vì con dốc có độ dốc 10° so với phương nằm ngang, người nhìn nhìn đỉnh ngọn cây dưới một góc 40° so với phương nằm ngang nên ta có
Và
Áp dụng định lí sin cho tam giác ABC ta có:
Vậy chiều cao của cây khoảng 20,23 m.
Bài 3.13 trang 39 SBT Toán 10 Tập 1: Cho tam giác ABC. Chứng minh rằng:
a)
b)
Lời giải:
a) Áp dụng định lí côsin ta có:
cosA = (1)
Áp dụng công thức tính diện tích tam giác ta có:
(2)
Từ (1) và (2) ta có:
cotA =
Chứng minh tương tự ta cũng có:
và
Do đó cotA + cotB + cotC
Vậy
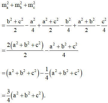
b) Áp dụng công thức tính độ dài đường trung tuyến ta có:
và
Do đó:

Vậy
Bài 3.14 trang 39 SBT Toán 10 Tập 1: Cho tam giác ABC có hai trung tuyến kẻ từ A và B vuông góc.
Chứng minh rằng:
a) a2 + b2 = 5c2;
b) cotC= 2 (cot A + cot B).
Lời giải:
a)

Gọi M, N lần lượt là trung điểm của các cạnh BC, AC.
Gọi G là trọng tâm của tam giác ABC.
Khi đó và
Áp dụng định lí Pythagore cho tam giác ABG vuông tại G (do AM ⊥ BN) có:
c2 = AB2 = AG2 + BG2
Mà AM, BN là hai đường trung tuyến kẻ từ A và B của tam giác ABC.
Do đó theo công thức tính độ dài đường trung tuyến của tam giác ta có:
và
Suy ra c2 =
Þ c2
Þ 9c2 = a2 + b2 + 4c2
Þ 5c2 = a2 + b2.
b) Theo chứng minh phần a), Bài 3.13 ta có:
Mà 5c2 = a2 + b2 (chứng minh phần a))
Do đó (1)
Mặt khác:
Þ cotA + cotB
Þ 2(cotA + cotB) (2)
Từ (1) và (2) ta có: cotC = 2(cotA + cotB) =
Vậy cotC = 2(cotA + cotB).
Bài 3.15 trang 39 SBT Toán 10 Tập 1: Cho tam giác ABC có các góc thoả mãn Tính số đo các góc của tam giác.
Lời giải:
Áp dụng định lí sin cho tam giác ABC ta có:

Theo bài ta có:

Đặt
Suy ra a = t; b = 2t; c = t
Suy ra a2 = t2; b = 4t2; c = 3t2.
Ta thấy: a2 + c2 = b2 = 4t2
Theo định lí Pythagore đảo ta có tam giác ABC vuông tại B.
=> sinB = 1.
và
=> và
Vậy và
Bài 3.16 trang 39 SBT Toán 10 Tập 1: Cho tam giác ABC có S = 2R2.sin A.sinB. Chứng minh rằng tam giác ABC là một tam giác vuông.
Lời giải:
Áp dụng định lí sin cho tam giác ABC ta có:
=> a = 2R.sinA; b = 2R.sinB và c = 2R.sinC.
Theo công thức tính diện tích tam giác ta có:
Þ S = 2R2.sin A.sinB.sinC.
Mà theo bài S = 2R2.sin A.sinB.
Do đó sinC = 1
Vậy tam giác ABC vuông tại C.
Xem thêm các bài giải SBT Toán 10 Kết nối tri thức hay, chi tiết khác:
Bài 5: Giá trị lượng giác của một góc từ 0° đến 180°
Bài tập cuối chương 3
Bài 7: Các khái niệm mở đầu
Bài 8: Tổng và hiệu của hai vectơ
Lý thuyết Hệ thức lượng trong tam giác
1. Định lí Côsin
Đối với tam giác ABC, ta thường kí hiệu A, B, C là các góc của tam giác tại đỉnh tương ứng; a, b, c tương ứng là độ dài của các cạnh đối diện với đỉnh A, B, C; p là nửa chu vi; S là diện tích; R, r tương ứng là bán kính đường tròn ngoại tiếp, nội tiếp tam giác.

Định lí Côsin. Trong tam giác ABC:
a2 = b2 + c2 – 2bc.cosA.
b2 = c2 + a2 – 2ca.cosB.
c2 = a2 + b2 – 2ab.cosC.
Ví dụ: Cho tam giác ABC có góc A bằng 60° và AB = 2 cm, AC = 3 cm. Tính độ dài cạnh BC.

Hướng dẫn giải
Áp dụng Định lí côsin cho tam giác ABC, ta có:
BC2 = AB2 + AC2 – 2AB . AC . cos 60o = 22 + 32 – 2.2.3. = 7.
Suy ra BC = (cm)
Vậy BC = cm.
2. Định lí sin
Trong tam giác ABC: .
Ví dụ: Cho tam giác ABC có , , c = 10. Tính số đo góc C và a, b, R.
Hướng dẫn giải

Theo Định lí tổng ba góc của tam giác, ta có: .
Suy ra .
Áp dụng Định lí sin, ta có:
.
Suy ra:
.
Vậy a = ; b = 10; R = 10; .
3. Giải tam giác và ứng dụng thực tế
– Việc tính độ dài các cạnh và số đo các góc của một tam giác khi biết một số yếu tố của tam giác đó được gọi là giải tam giác.
Chú ý: Áp dụng định lí côsin, sin và sử dụng máy tính cầm tay, ta có thể tính (gần đúng) các cạnh và các góc của một tam giác trong các trường hợp sau:
+ Biết hai cạnh và góc xen giữa.
+ Biết ba cạnh.
+ Biết một cạnh và hai góc kề.
Ví dụ: Giải tam giác ABC biết b = 12, , .
Hướng dẫn giải
Theo định lí tổng ba góc của tam giác, ta có: .
Suy ra .
Áp dụng định lí sin, ta có:
Suy ra:
Vậy tam giác ABC có: , , ; a ≈ 34,6 ; b = 12; c ≈ 30,4.
Ví dụ: Để đo khoảng cách giữa hai đầu C và A của một hồ nước người ta không thể đi trực tiếp từ C đến A, người ta tiến hành như sau: Chọn 1 điểm B sao cho đo được khoảng cách BC, BA và góc BCA. Sau khi đo, ta nhận được BC = 5m, BA = 12m, . Tính khoảng cách AC (làm tròn kết quả đến hàng phần trăm).

Hướng dẫn giải
Áp dụng định lí sin đối với tam giác ABC ta có:
⇒
⇒ sin A =
⇒ ≈ 14°31’
⇒ ≈ 180° – (37° + 14°31’) = 128°29’.
Áp dụng định lí sin, ta có:
⇒ AC = = ≈15,61 (m)
Vậy khoảng cách AC ≈ 15,61 m.
4. Công thức tính diện tích tam giác
Đối với tam giác ABC: A, B, C là các góc của tam giác tại đỉnh tương ứng; a, b, c tương ứng là độ dài của các cạnh đối diện với đỉnh A, B, C; p là nửa chu vi; S là diện tích; R, r tương ứng là bán kính đường tròn ngoại tiếp, nội tiếp tam giác.
Ta có các công thức tính diện tích tam giác ABC sau:
+) S = pr =
+) S = bc sin A = ca sin B =ab sin C.
+) S =
+) Công thức Heron: S = .
Ví dụ:
a) Tính diện tích tam giác ABC biết các cạnh b = 14 cm, c = 35 cm và .
b) Tính diện tích tam giác ABC và bán kính đường tròn nội tiếp, ngoại tiếp tam giác ABC, biết các cạnh a = 4 cm, b = 5 cm, c = 3 cm.
Hướng dẫn giải
a) Áp dụng công thức tính diện tích tam giác ABC, ta có:
S = bc sin A = .14.35.sin 60° = .14.35.=(cm2).
Vậy diện tích tam giác ABC là: cm2.
b) Ta có nửa chu vi của tam giác ABC là: (cm).
Áp dụng công thức Heron, ta có diện tích tam giác ABC là:
S = (cm2).
Mặt khác: S = ⇒ R = = (cm).
Ta có: S = pr ⇒ r = = = 1 (cm).
Vậy diện tích tam giác ABC là 6 cm2, bán kính đường tròn ngoại tiếp là 2,5 cm; bán kính đường tròn nội tiếp là 1 cm.