Giải SBT Toán lớp 10 Bài 15: Hàm số
Giải SBT Toán 10 trang 6 Tập 2
Bài 6.1 trang 6 SBT Toán 10 Tập 2: Xét hai đại lượng x, y phụ thuộc vào nhau theo các hệ thức dưới đây. Những trường hợp nào thì y là một hàm số của x ?
a) x2 + y = 4;
b) 4x + 2y = 6;
c) x + y2 = 4;
d) x – y3 = 0.
Lời giải:
a)
x2 + y = 4 ⇔ y = 4 – x2
Dễ thấy, với một giá trị của x ta chỉ nhận được một giá trị của y tương ứng nên y là hàm số của x.
b)
4x + 2y = 6 ⇔ ⇔ y = 3 – 2x
Dễ thấy, với một giá trị của x ta chỉ nhận được một giá trị của y tương ứng nên y là hàm số của x.
c)
x + y2 = 4 ⇔ y2 = 4 – x ⇔ y =
Dễ thấy, với một giá trị của x ta có thể nhận được hai giá trị của y tương ứng nên y không là hàm số của x.
Ví dụ: Khi x = 0 thì y =
d)
x – y3 = 0 ⇔
TXĐ: ℝ
Dễ thấy, với một giá trị của x ta chỉ nhận được một giá trị của y tương ứng nên y là hàm số của x.
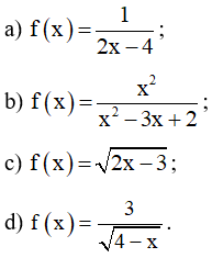
Bài 6.2 trang 6 SBT Toán 10 Tập 2:Tìm tập xác định của các hàm số sau:

ý b
ý c
ý d
Lời giải:
a)
Điều kiện xác định của hàm số là: 2x – 4 ≠ 0 ⇔ 2x ≠ 4 ⇔ x ≠ 2
Vậy tập xác định của hàm số là: D = ℝ\{2}.
b)
Điều kiện xác định của hàm số là:
x2 – 3x + 2 ≠ 0
⇔ (x – 1)(x – 2) ≠ 0
⇔
Vậy tập xác định của hàm số là: D = ℝ\{1; 2}.
c)
Điều kiện xác định của hàm số là:
2x – 3 ≥ 0
⇔ 2x ≥ 3
⇔
Vậy tập xác định của hàm số là: D = .
d)
Điều kiện xác định của hàm số là:
4 – x > 0
⇔ x < 4
Vậy tập xác định của hàm số là: D = (–∞; 4).
Giải SBT Toán 10 trang 7 Tập 2
Bài 6.3 trang 7 SBT Toán 10 Tập 2: Cho bảng các giá trị tương ứng của hai đại lượng x và y. Đại lượng y có là hàm số của đại lượng x không ? Nếu có, hãy tìm tập xác định và tập giá trị của hàm số đó.
a)
|
x |
–5 |
–3 |
–1 |
0 |
1 |
2 |
5 |
8 |
9 |
|
y |
–6 |
–8 |
–4 |
1 |
3 |
2 |
3 |
12 |
15 |
b)
|
x |
–10 |
–8 |
–4 |
2 |
3 |
6 |
7 |
6 |
13 |
|
y |
–16 |
–14 |
–2 |
4 |
5 |
20 |
18 |
24 |
25 |
Lời giải:
a)
Dựa vào bảng ta thấy, với một giá trị của x ta chỉ nhận được một giá trị của y tương ứng, do đó đại lượng y là hàm số của đại lượng x.
Hàm số y có tập xác định là: D = {–5; –3; –1; 0; 1; 2; 5; 8; 9}.
Và tập giá trị là: T = {–6; –8; –4; 1; 3; 2; 3; 12; 15}.
b)
Dựa vào bảng ta thấy, tồn tại một giá trị của x ta có thể nhận được hai giá trị của y tương ứng, do đó đại lượng y không là hàm số của đại lượng x.
Ví dụ: Khi x = 6 thì y = 20 hoặc y = 24.
Bài 6.4 trang 7 SBT Toán 10 Tập 2: Trong các hình: Hình 6.6, Hình 6.7, Hình 6.8, hình nào là đồ thị của hàm số ? Nếu là đồ thị hàm số thì hãy nêu tập xác định và tập giá trị của hàm số đó.


Lời giải:
* Hình 6.6:
Dựa vào hình vẽ, ta dễ thấy với một giá trị của x ta có thể nhận được hai giá trị của y, do đó hình này không là đồ thị của hàm số.

Ví dụ: Khi x = 4 ta có y = 3 hoặc y = –3
* Hình 6.7:
Dựa vào hình vẽ, ta dễ thấy với một giá trị của x ta có thể nhận được hai giá trị của y, do đó hình này không là đồ thị của hàm số.

Ví dụ: Khi x = 2 ta có y = 3 hoặc y = –3.
* Hình 6.8:
Dựa vào hình vẽ, ta dễ thấy với một giá trị của x ta chỉ nhận được một giá trị của y, do đó hình này là đồ thị của hàm số.

Quan sát đồ thị, ta thấy tập xác định của hàm số là: D = [– 6; 10] và tập giá trị của hàm số là T = [0; 8].
Giải SBT Toán 10 trang 8 Tập 2
Bài 6.5 trang 8 SBT Toán 10 Tập 2: Trong một cuộc thi chạy 100 m, có ba học sinh dự thi. Biểu đồ trên Hình 6.9 mô tả quãng đường chạy được y (m) theo thời gian t (s) của mỗi học sinh.

a) Đường biểu diễn quãng đường chạy được của mỗi học sinh có là đồ thị hàm số hay không?
b) Học sinh nào về đích đầu tiên? Hãy cho biết ba học sinh đó có chạy hết quãng đường thi theo quy định hay không.
Lời giải:
a)
Xét đường biểu diễn quãng đường chạy được của mỗi học sinh, với mỗi giá trị của t (s) ta chỉ nhận được một giá trị của s (m) tương ứng, do đó, đường biểu diễn quãng đường chạy được của mỗi học sinh là một đồ thị hàm số.
b)

Khi học sinh về đích là khi y = 100 (m), dựa vào chiều dương trục t (s) của đồ thị ta thấy:
Đồ thị A có giá trị t (s) nhỏ nhất ứng với y = 100 (m)
Vậy học sinh A về đích đầu tiên.
Đồ thị của cả ba học sinh đều có giá trị y = 100 (m) nên cả ba học sinh đó đều chạy hết quãng đường thi theo quy định.
Bài 6.6 trang 8 SBT Toán 10 Tập 2: Vẽ đồ thị của các hàm số sau và chỉ ra tập giá trị, các khoảng đồng biến, nghịch biến của chúng.
a) ;
b) y = 3x2;
c) .
Lời giải:
a)
Xét hàm số
Ta có:
Khi x = 0 thì
Khi x = 10 thì
Do đó, đồ thị hàm số là đường thẳng đi qua hai điểm (0; 5) và (10; 0).
Ta có hình vẽ đồ thị hàm số:

Tập giá trị của hàm số là: T = ℝ.
Đồ thị hàm số luôn đi xuống từ trái sang phải do đó hàm số nghịch biến trên ℝ.
b)
Xét hàm số y = 3x2
Ta có:
Trục đối xứng: x = 0
Đỉnh parabol là: (0; 0)
Khi x = 1 thì y = 3.12 = 3
Khi x = –1 thì y = 3.(–1)2 = 3
Do đó, đồ thị hàm số là parabol có đỉnh (0; 0) đi qua hai điểm (1; 3) và (–1; 3)

Tập xác định của hàm số là: T = [0; +∞).
Đồ thị hàm số đi xuống từ trái sang phải trên khoảng (–∞; 0) nên hàm số nghịch biến trên khoảng (–∞; 0).
Đồ thị hàm số đi lên từ trái sang phải trên khoảng (0; +∞) nên hàm số đồng biến trên khoảng (0; +∞).
c)
Xét hàm số
+) Khi x ≥ 0, ta có:
y = x2
Do đó, đồ thị hàm số là nửa parabol có trục đối xứng x = 0, đỉnh (0; 0), đi qua điểm (1; 1).
+) Khi x < 0, ta có:
y = –x – 1
Do đó, đồ thị hàm số là một phần đường thẳng đi qua điểm (0; –1) và (–1; 0).

Tập giá trị của hàm số là: T = (–1; +∞)
Đồ thị hàm số đi xuống từ trái sang phải trên khoảng (–∞; 0) nên hàm số nghịch biến trên khoảng (–∞; 0)
Đồ thị hàm số đi lên từ trái sang phải trên khoảng (0; +∞) nên hàm số đồng biến trên khoảng (0; +∞).
Bài 6.7 trang 8 SBT Toán 10 Tập 2: Để đổi nhiệt độ từ thang Celsius sang thang Fahrenheit, ta nhân nhiệt độ theo thang Celsius với sau đó cộng với 32.
a) Viết công thức tính nhiệt độ F ở thang Fahrenheit theo nhiệt độ C ở thang Celsius. Như vậy ta có F là một hàm số của C.
b) Hoàn thành bảng sau:
|
C (Celsius) |
–10 |
0 |
10 |
20 |
30 |
40 |
|
F (Fahrenheit) |
|
|
|
|
|
|
c) Vẽ đồ thị của hàm số F = F(C) trên đoạn [–10; 40].
Lời giải:
a)
Để đổi nhiệt độ từ thang Celsius sang thang Fahrenheit, ta nhân nhiệt độ theo thang Celsius với sau đó cộng với 32.
Gọi C là giá trị nhiệt độ ở thang Celsius, F là giá trị nhiệt độ tương ứng ở thang Fahrenheit. Ta có: F =
Như vậy, F là một hàm số của C.
b)
Áp dụng công thức hàm số F = , ta có bảng:
|
C (Celsius) |
–10 |
0 |
10 |
20 |
30 |
40 |
|
F (Fahrenheit) |
14 |
32 |
50 |
68 |
86 |
104 |
c)
Dựa vào bảng phần b, ta có đồ thị hàm số F = F(C) trên đoạn [–10; 40] là đoạn thẳng đi qua 6 điểm (–10; 14), (0; 32), (10; 50), (20; 68), (30; 86), (40; 104).

Bài 6.8 trang 8 SBT Toán 10 Tập 2: Giá phòng của một khách sạn là 750 nghìn đồng một ngày cho hai ngày đầu tiên và 500 nghìn đồng cho mỗi ngày tiếp theo. Tổng số tiền T phải trả là một hàm số của số ngày x mà khách ở tại khách sạn.
a) Viết công thức của hàm số T = T(x).
b) Tính T(2), T(5), T(7) và cho biết ý nghĩa của mỗi giá trị này.
Lời giải:
a)
Với x ≤ 2, ta có: T = T(x) = 750 000x (đồng).
Với x > 2, ta có:
T = T(x) = 750 000 . 2 + 500 000 . (x – 2)
= 1 500 000 + 500 000x – 1 000 000
= 500 000x + 500 000 (đồng).
Vậy công thức của hàm số (đồng).
b)
+) T(2) = 750 000 . 2 = 1 500 000 (đồng)
Nghĩa là số tiền khách phải trả cho 2 ngày mà khách ở tại khách sạn là 1 500 000 đồng
+) T(5) = 500 000 . 5 + 500 000 = 3 000 000
Nghĩa là số tiền khách phải trả cho 5 ngày mà khách ở tại khách sạn là 3 000 000 đồng
+) T(7) = 500 000 . 7 + 500 000 = 4 000 000
Nghĩa là số tiền khách phải trả cho 7 ngày mà khách ở tại khách sạn là 4 000 000 đồng
Bài 6.9 trang 8 SBT Toán 10 Tập 2: Bảng sau đây cho biết giá nước sinh hoạt (chưa tính thuế VAT) của hộ dân cư theo mức sử dụng.
|
STT |
Mức sử dụng nước sinh hoạt của hộ dân cư (m3/tháng/hộ) |
STT Giá nước (VND/m3) |
|
1 |
10 m3 đầu tiên |
5 973 |
|
2 |
Từ trên 10 m3 đến 20 m3 |
7 052 |
|
3 |
Từ trên 20 m3 đến 30 m3 |
8 669 |
|
4 |
Trên 30 m3 |
15 929 |
(Theo hdđt.nshn.com. vn)
a) Hãy tính số tiền phải trả ứng với mỗi lượng nước sử dụng ở bảng sau:
|
Lượng nước sử dụng (m3) |
10 |
20 |
30 |
40 |
|
Số tiền (VND) |
|
|
|
|
b) Gọi x là lượng nước đã sử dụng (đơn vị m3) và y là số tiền phải trả tương ứng (đơn vị VND). Hãy viết công thức mô tả sự phụ thuộc của y vào x.
Lời giải:
a)
Khi lượng nước sử dụng là 10 m3 ta có số tiền phải trả là:
5 973 . 10 = 59 730 (đồng)
Khi lượng nước sử dụng là 20 m3 ta có số tiền phải trả là:
59 730 + 7 052 . 10 = 130 250 (đồng)
Khi lượng nước sử dụng là 30 m3 ta có số tiền phải trả là:
130 250 + 8 669 . 10 = 216 940 (đồng)
Khi lượng nước sử dụng là 40 m3 ta có số tiền phải trả là:
216 940 + 15 929 . 10 = 376 230 (đồng)
Vậy ta điền được bảng như sau:
|
Lượng nước sử dụng (m3) |
10 |
20 |
30 |
40 |
|
Số tiền (VND) |
59 730 |
130 250 |
216 940 |
376 230 |
b)
Gọi x là lượng nước đã sử dụng (đơn vị m3) và y là số tiền phải trả tương ứng (đơn vị VND).
Với x ≤ 10 ta có: y = 5 973x
Với 10 < x ≤ 20 ta có: y = 59 730 + 7 052(x – 10)
Với 20 < x ≤ 30 ta có: y = 130 250 + 8 669(x – 20)
Với x > 30 ta có: y = 216 940 + 15 929(x – 30)
Công thức mô tả sự phụ thuộc của y vào x là:
.
Giải SBT Toán 10 trang 9 Tập 2
Bài 6.10 trang 9 SBT Toán 10 Tập 2: Có hai địa điểm A, B cùng nằm trên một tuyến quốc lộ thẳng. Khoảng cách giữa A và B là 20 km. Một xe máy xuất phát từ A lúc 6 giờ và chạy với vận tốc 40 km/h theo chiều từ A đến B. Một ô tô xuất phát từ B lúc 8 giờ và chạy với vận tốc 80 km/h theo cùng chiều với xe máy. Coi chuyển động của xe máy và ô tô là thẳng đều. Chọn A làm mốc, chọn thời điểm 6 giờ làm mốc thời gian và chọn chiều từ A đến B làm chiều dương. Khi đó toạ độ của xe máy và ô tô sẽ là những hàm số của biến thời gian.
a) Viết phương trình chuyển động của xe máy và ô tô (tức là công thức của hàm toạ độ theo thời gian).
b) Vẽ đồ thị hàm toạ độ của xe máy và ô tô trên cùng một hệ trục toạ độ.
c) Căn cứ vào đồ thị vẽ được, hãy xác định vị trí và thời điểm ô tô đuổi kịp xe máy.
d) Kiểm tra lại kết quả tìm được ở câu c) bằng cách giải các phương trình chuyển động của xe máy và ô tô.
Lời giải:
a)
Chọn A làm mốc, chọn thời điểm 6 giờ làm mốc thời gian và chọn chiều từ A đến B làm chiều dương.
Gọi t là thời gian chuyển động của xe máy từ lúc bắt đầu đi.
Khi đó, xe máy xuất phát ở gốc tọa độ nên toạ độ của xe máy là: y = 40t.
Khi đó, xe ô tô xuất phát ở B, cách gốc tọa độ A 20 km lúc 8 h (ô tô chuyển động sau xe máy 2 giờ nên thời gian chuyển động của ô tô là t – 2) nên tọa độ của xe ô tô là:
y = 20 + 80(t – 2) = 80t – 140.
b)
Hàm tọa độ của xe máy y = 40t là một đường thẳng đi qua gốc tọa độ (0; 0) và điểm (1; 40)
Hàm tọa độ của xe ô tô y = 80t – 140 là một đường thẳng đi qua điểm (0; –140) và điểm (1; –60).
Ta có đồ thị như hình vẽ:

c)
Ô tô đuổi kịp xe máy khi đồ thị của chúng giao nhau.
Hai đồ thị cắt nhau tại điểm (3,5; 140), suy ra ô tô đuổi kịp xe máy khi t = 3,5 (h) = 3 giờ 30 phút, tức là đuổi kịp lúc 6 giờ + 3 giờ 30 phút = 9 giờ 30 phút tại vị trí cách địa điểm A là 140 km.
d)
Phương trình hoành độ giao điểm của chuyển động của xe máy và ô tô là:
40t = 80t – 140
⇔ 40t = 140
⇔ t = 3,5 (h)
Khi t = 3,5 thì y = 40 . 3,5 = 140.
Vậy ô tô đuổi kịp xe máy lúc 9 giờ 30 phút tại vị trí cách địa điểm A là 140 km.
Xem thêm các bài giải SBT Toán 10 Kết nối tri thức hay, chi tiết khác:
Bài tập cuối chương 5
Bài 16: Hàm số bậc hai
Bài 17: Dấu của tam thức bậc hai
Bài 18: Phương trình quy về phương trình bậc hai
Lý thuyết Hàm số
1. Khái niệm hàm số
Nếu với mỗi giá trị của x thuộc tập hợp số D có một và chỉ một giá trị tương ứng của y thuộc tập hợp số thực ℝ thì ta có một hàm số.
Ta gọi x là biến số và y là hàm số của x.
Tập hợp D gọi là tập xác định của hàm số.
Tập tất cả các giá trị y nhận được, gọi là tập giá trị của hàm số.
Ví dụ : Viết hàm số mô tả sự phụ thuộc giữa diện tích S và bán kính r của hình tròn. Tìm tập xác định của hàm số đó.
Hướng dẫn giải
Diện tích S của hình tròn phụ thuộc vào bán kính r theo công thức S = π.r2, trong đó r là biến số, S = S(r) là hàm số của r.
Vì r là bán kính của hình tròn nên r > 0.
Do đó tập xác định của hàm số S = π.r2 là D = (0 ; +∞).
Vậy hàm số mô tả sự phụ thuộc giữa diện tích và bán kính của hình tròn là: S = S(r) = π.r2 và tập xác định của hàm số đó là: D = (0 ; +∞).
Chú ý : Khi cho hàm số bằng công thức y = f(x) mà không chỉ rõ tập xác định của nó thì ta quy ước tập xác định của hàm số là tập hợp tất cả các số thực x sao cho biểu thức f(x) có nghĩa.
Ví dụ :
a) Tìm tập xác định của hàm y =
b) Tìm tập xác định của hàm y =
Hướng dẫn giải
a) Biểu thức có nghĩa khi x + 3 ≥ 0, tức là x ≥ – 3.
Vậy tập xác định của hàm số y = là D = [– 3 ; +∞).
b) Biểu thức có nghĩa khi –x – 1 ≠ 0, tức là x ≠ –1.
Vậy tập xác định của hàm số y = là D = ℝ\{–1}.
Nhận xét : Một hàm số có thể cho bằng bảng, bằng biểu đồ, bằng công thức hoặc mô tả bằng lời.
Ví dụ :
a) Hàm số cho bởi công thức như hàm số y = f(x) = 2x + 7 ;
b) Nhiệt độ T(°C) tại các thời điểm t (giờ) trong cùng một ngày được cho bởi bảng sau :
Nhiệt độ T(°C) phụ thuộc vào sự thay đổi của thời gian t (giờ) và mỗi giờ chỉ tương ứng với đúng một giá trị nhiệt độ nên tương ứng đó xác định một hàm số.
Vậy bảng trên biểu thị một hàm số.
c) Cho biểu đồ sau:
Quan sát biểu đồ trên ta thấy ứng với mỗi ngày chỉ có đúng một giá trị lượng mưa nên tương ứng đó xác định một hàm số.
Vậy biểu đồ trên biểu thị một hàm số.
2. Đồ thị của hàm số
Đồ thị của hàm số y = f(x) xác định trên tập D là tập hợp tất cả các điểm M(x ; f(x)) trên mặt phẳng tọa độ với mọi x thuộc D.
Ví dụ: Tìm tập xác định và vẽ đồ thị của hàm số y = 2x trên mặt phẳng tọa độ.
Hướng dẫn giải
Vì 2x xác định với mọi x ∈ℝ nên tập xác định của hàm số y = 2x là D = ℝ.
Đồ thị của hàm số y = 2x là một đường thẳng đi qua gốc tọa độ như trong hình sau :
3. Sự đồng biến, nghịch biến của hàm số
– Hàm số y = f(x) được gọi là đồng biến (tăng) trên khoảng (a ; b), nếu
∀ x1, x2 ∈ (a ; b), x1 < x2 ⇒ f(x1) < f(x2).
– Hàm số y = f(x) được gọi là nghịch biến (giảm) trên khoảng (a ; b), nếu
∀ x1, x2 ∈ (a ; b), x1 < x2 ⇒ f(x1) > f(x2).
Chú ý:
– Đồ thị của một hàm số đồng biến trên khoảng (a; b) là đường “đi lên” từ trái sang phải;
– Đồ thị của một hàm số nghịch biến trên khoảng (a; b) là đường “đi xuống” từ trái sang phải.
Ví dụ: Cho hàm số y = –x2 có đồ thị hàm số như hình sau:
Hàm số y = –x2 đồng biến hay nghịch biến trên mỗi khoảng (–∞; 0) và (0; +∞).
Hướng dẫn giải
Quan sát đồ thị hàm số y = –x2 ta thấy trên khoảng (–∞; 0), đồ thị đi lên từ trái sang phải. Do đó hàm số đồng biến trên khoảng (–∞; 0).
Ta thấy trên khoảng (0; +∞), đồ thị đi xuống từ trái sang phải. Do đó hàm số nghịch biến trên khoảng (0; +∞).
Vậy hàm số y = –x2 đồng biến trên khoảng (–∞; 0) và nghịch biến trên khoảng (0; +∞).