Giải SBT Toán lớp 7 Bài 6: Số vô tỉ. Căn bậc hai số học
Giải SBT Toán 7 trang 28 Tập 1
Bài 2.10 trang 28 sách bài tập Toán lớp 7 Tập 1:Những số nào sau đây có căn bậc hai số học?
0,9; -4; 11; -100; .
Lời giải:
Những số không âm là những số có căn bậc hai số học.
Do đó 0,9; 11; là những số có căn bậc hai số học.
Bài 2.11 trang 28 sách bài tập Toán lớp 7 Tập 1:Trong các kết quả sau, kết quả nào đúng?
A. ;
B. ;
C. ;
D.
Lời giải:
Ta có: đây là kết quả sai vì
đây là kết quả sai vì .
đây là kết quả sai vì -0,09 không có căn bậc hai số học.
đây là kết quả đúng vì 0,22 = 0,04.
Bài 2.12 trang 28 sách bài tập Toán lớp 7 Tập 1: Những biểu thức nào dưới đây có giá trị bằng ?
;
;
Lời giải:
;
;
Vậy tất cả các biểu thức đã cho đều có giá trị bằng .
Bài 2.13 trang 28 sách bài tập Toán lớp 7 Tập 1: Số nào trong các số:
là số vô tỉ?
Lời giải:
= -5,(3). Vì được viết dưới dạng số thập phân vô hạn tuần hoàn nên không phải số vô tỉ.
= 6. Vì là số nguyên nên không phải số vô tỉ.
= 6,855… Vì được viết dưới dạng số thập phân vô hạn không tuần hoàn nên là số vô tỉ.
-2π = -6,2831… Vì -2π được viết dưới dạng số thập phân vô hạn không tuần hoàn nên -2π là số vô tỉ.
= 0,1. Vì được viết dưới dạng số thập phân hữu hạn nên không là số vô tỉ.
2 + = 4,645… Vì 2 + được viết dưới dạng số thập phân vô hạn không tuần hoàn nên 2 + là số vô tỉ.
Vậy các số vô tỉ là ; -2π; 2 + .
Bài 2.14 trang 28 sách bài tập Toán lớp 7 Tập 1:Số nào trong các số sau là số vô tỉ?
a = 0,777…; b = 0,70700700070000…;
c = ; d =
Lời giải:
a = 0,777… = 0,(7). Vì a được viết dưới dạng số thập phân vô hạn tuần hoàn nên a không là số vô tỉ;
b = 0,70700700070000… Vì b được viết dưới dạng số thập phân vô hạn không tuần hoàn nên b là số vô tỉ;
c = = -0,142857142857… = -0,(142857). Vì c được viết dưới dạng số thập phân vô hạn tuần hoàn nên c không là số vô tỉ;
d = = = 7. Vì d là số nguyên nên d không là số vô tỉ.
Vậy trong các số đã cho chỉ có số 0,70700700070000… là số vô tỉ.
Bài 2.15 trang 28 sách bài tập Toán lớp 7 Tập 1:Tìm căn bậc hai số học của các số sau: 81; 8 100; 0,81; 812.
Lời giải:
;
;
;
.
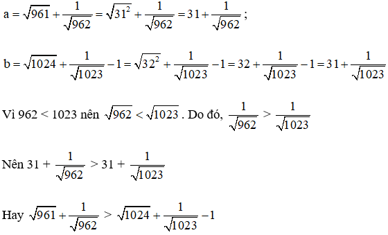
Bài 2.16 trang 28 sách bài tập Toán lớp 7 Tập 1:Cho và b = . So sánh a và b.
Lời giải:
Vậy a > b.
Bài 2.17 trang 28 sách bài tập Toán lớp 7 Tập 1:Xét số a = 1 + .
a) Làm tròn số a đến hàng phần trăm;
b) Làm tròn số a đến chữ số thập phân thứ năm;
c) Làm tròn số a với độ chính xác 0,0005.
Lời giải:
a = 1 + = 2,414213562…
a) Ta gạch chân dưới chữ số hàng phần trăm 2,414213562…
Nhận thấy chữ số bên phải liền kề hàng phần trăm là 4 < 5 nên ta giữ nguyên chữ số hàng phần trăm và bỏ đi các chữ phần thập phân phía sau hàng phân trăm.
Vậy làm tròn số 1 + đến hàng phần trăm ta thu được kết quả là 2,41.
b) Ta gạch chân dưới chữ số thập phân thứ năm 2,414213562…
Nhận thấy chữ số bên phải liền kề chữ số thập phân thứ năm là 3 < 5 nên ta giữ nguyên chữ số thập phân thứ năm và bỏ đi các chữ phần thập phân phía sau chữ số thập phân thứ 5.
Vậy làm tròn số 1 + đến chữ số thập phân thứ năm ta thu được kết quả là 2,41421.
c) Làm tròn số a với độ chính xác 0,0005 tức là ta làm tròn số đó đến hàng phần nghìn.
Ta gạch chân dưới chữ số hàng phần nghìn 2,414213562…
Nhận thấy chữ số bên phải liền kề chữ số hàng phần nghìn là 2 < 5 nên ta giữ nguyên chữ số hàng phần nghìn và bỏ đi các chữ phần thập phân phía sau chữ số hàng phân nghìn.
Vậy làm tròn số 1 + đến chữ số hàng phần nghìn ta thu được kết quả là 2,414.
Bài 2.18 trang 28 sách bài tập Toán lớp 7 Tập 1: Biểu thức có giá trị nhỏ nhất bằng:
A. ;
B. – 7;
C. 0;
D. .
Lời giải:
Điều kiện: x + 8 ≥ 0 nên x ≥ -8
Vì ≥ 0 với mọi x ≥ -8
Nên .
Do đó,
Vậy giá trị nhỏ nhất của là -7. Dấu “=” xảy ra khi x + 8 = 0 hay x = -8.
Bài 2.19 trang 28 sách bài tập Toán lớp 7 Tập 1:Giá trị lớn nhất của biểu thức bằng:
A.
B.
C.
D. 3
Lời giải:
Điều kiện: x – 6 ≥ 0 nên x ≥ 6
Vì ≥ 0 nên với mọi x ≥ 6
Nên hay .
Do đó,
Vậy giá trị lớn nhất của là 3. Dấu “=” xảy ra khi x – 6 = 0 hay x = 6.
Bài 2.20 trang 28 sách bài tập Toán lớp 7 Tập 1:Tìm giá trị lớn nhất của biểu thức:
Lời giải:
Điều kiện: 2 – x ≥ 0 nên x ≤ 2.
Ta có: với mọi x ≤ 2
Nên hay .
Do đó,
Vậy giá trị lớn nhất của là . Dấu “=” xảy ra khi hay nên x = 2. Do đó, có giá trị lớn nhất là khi x = 2.
Bài 2.21 trang 28 sách bài tập Toán lớp 7 Tập 1:Tìm số tự nhiên n nhỏ hơn 45 sao cho là số nguyên.
Lời giải:
Vì là số nguyên nên phải chia hết cho 2 và cũng là số nguyên hay n là các số chính phương. Mà n < 45 nên ta có các số chính phương nhỏ hơn 45 là {0; 1; 4; 9; 16; 25; 36}.
Vì chia hết cho 2 nên là số lẻ nên n lẻ. Do đó, n ∈ {1; 9; 25}
Vậy để là số nguyên thì n ∈ {1; 9; 25}.
Xem thêm các bài giải SBT Toán lớp 7 Kết nối tri thức hay, chi tiết khác:
Bài 5: Làm quen với số thập phân vô hạn tuần hoàn
Bài 6: Số vô tỉ. Căn bậc hai số học
Bài 7: Tập hợp các số thực
Ôn tập chương 2
Bài 8: Góc ở vị trí đặc biệt. Tia phân giác của một góc
Lý thuyết Số vô tỉ. Căn bậc hai số học
1. Số vô tỉ
• Số thập phân không phải số thập phân hữu hạn cũng không phải số thập phân vô hạn tuần hoàn được gọi là số thập phân vô hạn không tuần hoàn.
• Số vô tỉ là số viết được dưới dạng số thập phân vô hạn không tuần hoàn.
Tập hợp các số vô tỉ kí hiệu là .
Ví dụ:
+ Tỉ số giữa chu vi và đường kính của một đường tròn luôn là số π (đọc là pi) và bằng 3,14159265358… đây là số vô tỉ.
Chú ý:
• Ta làm tròn số thập phân vô hạn như làm tròn số thập phân hữu hạn.
Ví dụ: Chẳng hạn ta làm tròn số 0,215679012… đến chữ số thập phân thứ ba.
Ta thấy chữ số thập phân thứ 4 là 6 > 5 nên làm tròn số 0,215679012… đến chữ số thập phân thứ ba ta được kết quả là 0,216.
2. Căn bậc hai số học
• Căn bậc hai số học của một số a không âm, kí hiệu là , là số x không âm sao cho x2 = a.
• Theo định nghĩa căn bậc hai số học ta có: với a ≥ 0.
Ví dụ:
+ Hình vuông có diện tích là 2 cm2 thì độ dài cạnh hình vuông gọi là căn bậc hai số học của 2 và bằng cm.

+ Tính: a) ; b)
Hướng dẫn giải
a) Vì 82 = 64 và 8 > 0 nên = 8;
b) Vì 159 > 0 nên = 159.
3. Tính căn bậc hai số học bằng máy tính cầm tay
• Căn bậc hai số học của một số tự nhiên không chính phương luôn là một số vô tỉ.
• Cách tính căn bậc hai số học của một số a không âm bằng máy tính cầm tay
Phép tính:
Ấn các phím theo thứ tự: (a là một số không âm bất kì trên bàn phím máy tính)

Ví dụ:
+ Muốn tính căn bậc hai số học của 2, ta có phép tính là và ấn máy tính như sau:

Ta được kết quả hiển thị trên màn hình là: 1,414213562
Đây là kết quả đã được làm tròn đến số thập phân số 9
Nên ta có: ≈ 1,414213562.
Chú ý:
• Màn hình máy tính cầm tay chỉ hiển thị được một số hữu hạn chữ số nên các kết quả là số thập phân vô hạn (tuần hoàn hay không tuần hoàn) đều được làm tròn.