Trắc nghiệm Toán 7 Chương 1: Số hữu tỉ
I. Nhận biết
Câu 1. Kết quả của phép tính là:

Hướng dẫn giải
Đáp án: A
Giải thích:
Câu 2. Số nào dưới đây là số hữu tỉ âm ?
A. ;
B. 0;
C. ;
D. –5.
Hướng dẫn giải
Đáp án: D
Giải thích:
Ta có > 0 và nên các số và đều là số hữu tỉ dương.
Số 0 không phải số hữu tỉ âm cũng không phải số hữu tỉ dương.
Ta có –5 < 0 nên –5 là số hữu tỉ âm.
Câu 3. Kết quả của phép tính 0,25 + 0,23 là:
A. 0,48;
B. 0,273;
C. 0,46;
D. 0,28.
Hướng dẫn giải
Đáp án: A
Giải thích: Ta có 0,25 + 0,23 = 0,48.
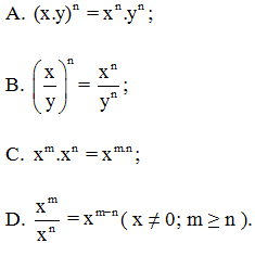
Câu 4. Trong số những khẳng định sau, khẳng định nào sai?

Hướng dẫn giải
Đáp án: C
Giải thích: Theo định nghĩa: nên khẳng định sai là khẳng định C.
Câu 5. Tính giá trị biểu thức .

Hướng dẫn giải
Đáp án: B
Giải thích:
Theo định nghĩa: nên ta có .
Vậy đáp án đúng là B.
Câu 6. Cho . Tìm x.

Hướng dẫn giải
Đáp án: D
Giải thích:
Câu 7. Kết quả của phép tính – 2,3 : là:

Hướng dẫn giải
Đáp án: D
Giải thích:
Câu 8. Số nào dưới đây không phải là số hữu tỉ ?
A.;
B. 2;
C. 0,5;
D. .
Hướng dẫn giải
Đáp án: A
Giải thích:
Số hữu tỉ là số viết được dưới dạng phân số với a,b ∈ ℤ; b ≠ 0.
không phải số hữu tỉ vì mẫu bằng 0.
Câu 9. Cho biểu thức S = (0,5 – 1,5) – 2 0210. Nhận xét nào sau đây đúng về giá trị biểu thức S:
A. S = 0;
B. S < 0;
C. S > 0;
D. S > 1.
Đáp án: B
Giải thích:
Ta có: S = (0,5 – 1,5) – 2 0210
= ( – 1) – 1 (thực hiện phép tính trong ngoặc và lũy thừa)
= – 2.
Do đó S < 0.
Vậy đáp án đúng là B.
Câu 10. Số đối của số hữu tỉ là:
A. ;
B. ;
C. -3;
D. 5.
Hướng dẫn giải
Đáp án: B
Giải thích: Số đối của số hữu tỉ là
Câu 11. Kết quả của phép tính 10 + 6:2.3 là:
A. 39;
B. 24;
C. 19;
D. 11.
Hướng dẫn giải
Đáp án: C
Giải thích:
Với các biểu thức không có dấu ngoặc, ta thực hiện nhân chia trước, cộng trừ sau.
Với các biểu thức chỉ có phép cộng và trừ, hoặc nhân và chia, ta thực hiện từ trái sang phải.
10 + 6:2.3 = 10 + 3.3 = 10 + 9 = 19.
Vậy đáp án đúng là C.
Câu 12. Tìm x biết 9 – x = – 0,1.
A. x = 0,8;
B. x = 9,1;
C. x = – 0,8;
D. x = – 9,1.
Hướng dẫn giải
Đáp án: B
Giải thích:
Xét 9 – x = – 0,1
⇔ – x = – 9 – 0,1 (Quy tắc chuyển vế)
⇔ – x = – 9,1
⇔ x = 9,1
Vậy đáp án đúng là B.
II. Thông hiểu
Câu 1. Tính giá trị biểu thức D =

Đáp án: D
Giải thích:

Câu 2. Để làm một cái bánh, cần cốc bột. Hằng đã có cốc bột. Hỏi Hằng cần thêm bao nhiêu cốc bột nữa để vừa đủ làm được một cái bánh?
A. ;
B. 2;
C. ;
D. .
Hướng dẫn giải
Đáp án: B
Giải thích:
Số cốc bột Hằng cần để vừa đủ làm được một cái bánh là:
= 2 (cốc).
Vậy Hằng cần thêm 2 cốc bột nữa để vừa đủ làm được một cái bánh.
Câu 3. Phân số nào biểu diễn số hữu tỉ –1,5 ?

Hướng dẫn giải
Đáp án: C
Giải thích:
Ta có: – 1,5 = .
Vậy phân số biểu diễn số hữu tỉ – 1,5 là .
Câu 4. Tìm số hữu tỉ nhỏ nhất trong các số sau:

Hướng dẫn giải
Đáp án: D
Giải thích:

Câu 5. Giá trị của x, y thỏa mãn là:
A. x = 4; y = 7;
B. x = – 3; y = 14;
C. x = 3; y = – 14;
D. x = – 4; y = – 14.
Hướng dẫn giải
Đáp án: D
Giải thích:
Ta có: ⇒ x = – 4
⇒ y = – 14
Vậy x = – 4; y = – 14.
Câu 6. Tính giá trị biểu thức B =
A. ;
B. ;
C. 0 ;
D. 1.
Hướng dẫn giải
Đáp án: C
Giải thích:
B =
B =
B =
B = 0.
B = 0.
Câu 7. Số hữu tỉ nào sau đây nằm giữa và ?
A. ;
B. ;
C. ;
D. .
Hướng dẫn giải
Đáp án: A
Giải thích:
Số hữu tỉ x nằm giữa và khi < x < ⇔ < x <
+) Với x =
Vì – 4 < – 1 < 1 nên . Do đó x = thoả mãn điều kiện.
+) Với x =
Ta có: vì 2 > 1 nên . Do đó x = không thoả mãn.
+) Với x =
Ta có: < vì – 4 < – 2. Do đó x = không thỏa mãn.
+) Với x =
Ta có: vì 4 > 1 nên . Do đó x = không thoả mãn.
Vậy là số hữu tỉ nằm giữa và .
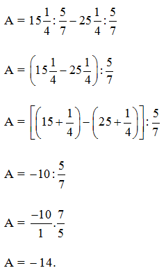
Câu 8. Tính giá trị biểu thức A = .
A. -12;
B. 12;
C. 14;
D. -14.
Hướng dẫn giải
Đáp án: D
Giải thích:

Câu 9. Tính giá trị biểu thức B =

Hướng dẫn giải
Đáp án: A
Giải thích:

Vậy đáp án đúng là A.
Câu 10. Tính giá trị biểu thức C =
A. 1;
B. ;
C. 0;
D. 2.
Hướng dẫn giải
Đáp án: B
Giải thích:

Câu 11. Tính giá trị biểu thức A =

Hướng dẫn giải
Đáp án: A
Giải thích:

Vậy đáp án đúng là B.
Câu 12. Tìm x sao cho .
A. 0;
B. -1;
C. 2;
D. 1.
Hướng dẫn giải
Đáp án: C
Giải thích:
Sử dụng ta có:
⇒ x = 2.
Vậy đáp án đúng là C.
Câu 13. Tìm x biết

Hướng dẫn giải
Đáp án: B
Giải thích:
Ta có:

Câu 14. Tính giá trị biểu thức
A. 3;
B. ;
C. ;
D. .
Hướng dẫn giải
Đáp án: A
Giải thích:
Ta có:
Vậy đáp án đúng là A.
Câu 15. Cho hai biểu thức A = 72 và B = 22 + 32 + 62. Nhận xét nào dưới đây là đúng:
A. A > B;
B. A < B;
C. A = 2B;
D. A = B.
Hướng dẫn giải
Đáp án: D
Giải thích:
Ta có: B = 22 + 32 + 62 = 4 + 9 + 36 = 49 = 72 = A.
Suy ra A = B.
Vậy đáp án đúng là D.
III. Vận dụng
Câu 1. Tính giá trị biểu thức H = .

Hướng dẫn giải
Đáp án: B
Giải thích:

H =
Vậy đáp án đúng là B.
Câu 2. Tính giá trị biểu thức
A. ;
B. ;
C. 1;
D. .
Hướng dẫn giải
Đáp án: A
Giải thích:

Câu 3. Tính giá trị biểu thức A =

Hướng dẫn giải
Đáp án: A
Giải thích:

Câu 4. Có bao nhiêu giá trị nguyên của a thỏa mãn là số hữu tỉ lớn hơn và nhỏ hơn ?
A. 3;
B. 4;
C. 5;
D. 6.
Hướng dẫn giải
Đáp án: C
Giải thích:
Ta có:
Vì nên
Mà a ∈ ℤ nên a ∈ {– 14; – 13; – 12; – 11; – 10}
Vậy a ∈ { – 14; – 13; – 12; – 11; – 10}. Có 5 giá trị của a thỏa mãn yêu cầu.
Câu 5. Tính tổng sau P =

Hướng dẫn giải
Đáp án: B
Giải thích:


Xem thêm các bài trắc nghiệm Toán 7 Kết nối tri thức hay, chi tiết khác:
Trắc nghiệm Chương 1: Số hữu tỉ
Trắc nghiệm Chương 2: Số thực
Trắc nghiệm Chương 3: Góc và đường thẳng song song
Trắc nghiệm Chương 4: Tam giác bằng nhau
Trắc nghiệm Chương 5: Thu thập và biểu diễn dữ liệu