Trắc nghiệm Toán 7 Chương 2: Số thực
I. Nhận biết
Câu 1. Phát biểu nào đúng?
A. Số nguyên không phải số thực;
B. Phân số không phải số thực;
C. Số vô tỉ không phải là số thực;
D. Cả ba loại số trên đều là số thực.
Hướng dẫn giải
Đáp án: D
Giải thích: Số thực bao gồm số hữu tỉ và số vô tỉ nên số nguyên, số vô tỉ hay phân số đều là số thực.
Câu 2. Phát biểu nào sau đây sai?
A. Mọi số vô tỉ đều là số thực;
B. Mọi số thực đều là số vô tỉ;
C. Mọi số nguyên đều là số hữu tỉ;
D. Số 0 là số hữu tỉ cũng là số thực.
Hướng dẫn giải
Đáp án: B
Giải thích:
Số thực bao gồm số hữu tỉ và số vô tỉ. Tuy nhiên nếu số thực là số hữu tỉ thì sẽ khác số vô tỉ
Do đó phát biểu: “Mọi số thực đều là số vô tỉ” là sai
Câu 3. Tập hợp các số thực được ký hiệu là
A. ℕ;
B. ℚ;
C. ℝ;
D. ℤ.
Hướng dẫn giải
Đáp án: C
Giải thích: Tập hợp các số thực được ký hiệu là ℝ
Câu 4. Số làm tròn kết quả đến chữ số hàng thập phân thứ tư ta được
A. 2,3;
B. 3,23;
C. 2,2063;
D. 2,2361.
Hướng dẫn giải
Đáp án: D
Giải thích:
Sử dụng máy tính cầm tay, ta được:
= 2,23606798…
Làm tròn kết quả đến chữ số hàng thập phân thứ tư ta được 2,2361.
Câu 5. Số 9,022… được viết gọn thành 9,0(2). Chu kỳ của số thập phân vô hạn tuần hoàn 9,0(2) là
A. 0
B. 2
C. 9,02
D. 9
Hướng dẫn giải
Đáp án: B
Giải thích: Số 9,0(2) có số chu kỳ là 2 (do chữ số 2 được lặp lại vô hạn lần)
Câu 6. Chọn đáp án sai?
A. ≈ 2,647 (làm tròn đến số thập phân thứ ba);
B. ≈ 3,742 (làm tròn đến số thập phân thứ ba);
C. Số 0,983434… được viết thành 0,98(34);
D. Số 1,212121… được viết thành 1,(21).
Hướng dẫn giải
Đáp án: A
Giải thích:
Ta có: = 2,645751311064591… ≈ 2,646. Do đó A sai.
= 3,741657387 … ≈ 3,742. Do đó B đúng.
Số 0,983434… là số thập phân vô hạn tuần hoàn với chu kì 34 được viết thành 0,98(34). Do đó C đúng.
Số 1,212121… là số thập phân vô hạn tuần hoàn với chu kì 21 được viết thành 1,(21). Do đó D đúng.
Vậy đáp án A sai
Câu 7. Đâu là số thập phân vô hạn tuần hoàn?
A. 4,4;
B. 1,03;
C. 9,(23);
D. 2.
Hướng dẫn giải
Đáp án: C
Giải thích:
Đáp án A, B và D số 4,4; 1,03 và số 2 là số thập phân hữu hạn.
Còn số 9,(23) là số thập phân vô hạn tuần hoàn với chu kì là 23.
Vậy đáp án C là đáp án đúng
Câu 8. Viết phân số dưới dạng số thập phân vô hạn tuần hoàn là
A. 0,45(8)3;
B. 0,4(583);
C. 0,458(3);
D. 0,458.
Hướng dẫn giải
Đáp án: C
Giải thích: Ta lấy 11 chia 24 ta được: = 0,4583333… = 0,458(3).
Câu 9. Chọn đáp án đúng?
A. Số vô tỉ là số được viết được dưới dạng số thập phân vô hạn không tuần hoàn;
B. Số vô tỉ không phải là số thập phân vô hạn không tuần hoàn;
C. Số vô tỉ cũng là số thập phân hữu hạn;
D. Số vô tỉ là số thập phân vô hạn tuần hoàn.
Hướng dẫn giải
Đáp án: A
Giải thích:
Số vô tỉ là số được viết được dưới dạng số thập phân vô hạn không tuần hoàn
Ví dụ: 1,920289… đây là số vô tỉ cũng là số thập phân vô hạn không tuần hoàn
Câu 10. Phân số nào dưới đây được biểu diễn dưới dạng số thập phân là 0,016

Hướng dẫn giải
Đáp án: A
Giải thích: Ta có: 0,016 = = .
II. Thông hiểu
Câu 1. Tìm x biết 3,4.x + (−1,6).x + 2,9 = −4,9
A. x = 2,(5);
B. x = −2,5;
C. x = −4,(3);
D. x = 4,3.
Hướng dẫn giải
Đáp án: C
Giải thích:
[ 3,4 + (−1,6)]x + 2,9 = −4,9
1,8x + 2,9 = −4,9
x =
x =
x = −4,(3)
Vậy x = −4,(3).
Câu 2. Giá trị của |−25 + 11.3| − |−2| là
A. −25
B. 25
C. 6
D. −6
Hướng dẫn giải
Đáp án: C
Giải thích: Ta có: |−25 + 11.3| − |−2| = |8| − |– 2| = 8 − 2 = 6.
Câu 3. Cho 6,…45 > 6, 52. Giá trị thích hợp là
A. 8
B. 6
C. 4
D. 3
Hướng dẫn giải
Đáp án: B
Giải thích:
Nếu là số 8, ta có: 6,845 > 6,52 ( vô lí ) nên đáp án A sai.
Nếu là số 6, ta có: 6,645 > 6,52 Þ Hợp lí nên đáp án B đúng.
Nếu là số 4, ta có: 6,445 > 6,54 (vô lí) nên đáp án C sai.
Nếu là số 3, ta có: 6,345 > 6,53 (vô lí) nên đáp án D sai.
Ta có: 6,645 > 6,52 nên giá trị thích hợp là 6.
Câu 4. Phép tính bằng

Hướng dẫn giải
Đáp án: B
Giải thích: Vì > 0 nên =
Câu 5. Cho A = . Hãy tìm số nguyên tố x có một chữ số để A được viết dưới dạng số thập phân hữu hạn. Có thể điền được bao nhiêu số như vậy?
A. 3;
B. 5;
C. 4;
D. 1.
Hướng dẫn giải
Đáp án: A
Giải thích:
Các số nguyên tố có một chữ số là 2, 3, 5, 7
Điền vào ô vuông ta được:

Trong các phân số trên các phân số được viết dưới dạng số thập phân hữu hạn là:
![]()
Vậy có 3 số có thể điền là 2; 3; 5.
Câu 6. Giá trị của biểu thức: X = bằng

Hướng dẫn giải
Đáp án: C
Giải thích:

Câu 7. Phép tính: − bằng
A. 16;
B. 3;
C. −4;
D. −6.
Hướng dẫn giải
Đáp án: C
Giải thích: Vì 42 = 16 và 4 > 0 nên = 4 . Do đó − = −4.
Câu 8. Giá trị của |9 – 12.3| là
A. 27
B. −27
C. 9
D. 12
Hướng dẫn giải
Đáp án: A
Giải thích: |9 – 12.3| = |−27| = 0 – (– 27) = 27.
Câu 9. Số hữu tỉ a thỏa mãn 213,6782 < a < 214,5879 là
A. 213,512;
B. 214,56;
C. 123,482;
D. 203,98.
Hướng dẫn giải
Đáp án: B
Giải thích:
Nếu a = 213,712 thì 213,6782 < 213,512 < 214,5879 (vô lí vì 213,512 < 213,6782). Do đó A sai.
Nếu a = 214,56 thì 213,6782 < 214,56 < 214,5879 (luôn đúng). Do đó B đúng.
Nếu a = 123,482 thì 213,6782 < 123,482 < 214,5879 (vô lí vì 213,6782 > 123,482). Do đó C sai.
Nếu a = 203,98 thì 213,6782 < 203,98 < 214,5879 (vô lí vì 213,6782 > 203,98). Do đó D sai.
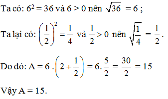
Câu 10. Tính A = . bằng
A. ;
B. ;
C. 15;
D. 17.
Hướng dẫn giải
Đáp án: C
Giải thích:

Câu 11. Trong các phân số
phân số viết được dưới dạng số thập phân vô hạn tuần hoàn là:

Hướng dẫn giải
Đáp án: A
Giải thích:

Hoặc ta có: 39 = 13. 3 có ước nguyên tố là 13 và 3 khác 2 và 5 nên có thể viết được dưới dạng số thập phân vô hạn tuần hoàn.
Câu 12. Tìm x biết 3.(10x) = 111
A. x = 0,7;
B. x = 1,7;
C. x = 2,7;
D. x = 3,7.
Hướng dẫn giải
Đáp án: D
Giải thích:
3.(10x) = 111
10x =
x = : 10
x = 3,7
Vậy x = 3,7.
Câu 13. Cho các phân số sau
. Số nào là số thập phân hữu hạn?

Hướng dẫn giải
Đáp án: C
Giải thích:

Câu 14. Giá trị của |−25 + 11.3| − |−2| là
A. −25
B. 25
C. 6
D. −6
Hướng dẫn giải
Đáp án: C
Giải thích: Ta có: |−25 + 11.3| − |−2| = |8| − |– 2| = 8 − 2 = 6.
Câu 15. Trong các số sau đây có bao nhiêu số viết được dưới dạng số thập phân hữu hạn: 
A. 1
B. 2
C. 3
D. 4
Hướng dẫn giải
Đáp án: D
Giải thích:
Ta có: 16 = 24 ; 125 = 53 ; 40 = 23.5 ; 25 = 52
Vậy cả bốn mẫu thức đều không có ước nguyên tố khác 2 và 5. Do đó, cả bốn phân số đều là số thập phân hữu hạn.
III. Vận dụng
Câu 1. Cho A = 3 và B = . Mệnh đề nào đúng?
A. A > B;
B. A < B;
C. A = B;
D. A ≤ B.
Hướng dẫn giải
Đáp án: B
Giải thích:
Ta có: 3 = mà 9 < 12 nên <
Do đó 3 < hay A < B.
Câu 2. Cho [(7 + 0,004x) : 0,9] : 24,7 – 12,3 = 77,7. Giá trị của x là
A. x = 497866
B. x = 489927
C. x = 498425
D. x = 425498
Hướng dẫn giải
Đáp án: C
Giải thích:
[(7 + 0,004x) : 0,9] : 24,7 – 12,3 = 77,7
[(7 + 0,004x) : 0,9] : 24,7 = 90
[(7 + 0,004x) : 0,9] = 90 . 24,7 Û [(7 + 0,004x) : 0,9] = 2223
7 + 0,004x = 2223 . 0,9 Û 7 + 0,004x = 2000,7
0,004x = 1993,7
x = = 498425
Vậy x = 498425.
Câu 3. Cho A = 5 và B = 6. Mệnh đề nào đúng?
A. A = B
B. A > B
C. A < B
D. A ≥ B
Hướng dẫn giải
Đáp án: C
Giải thích:

Câu 4. Số thập phân 0,35 được viết dưới dạng phân số tối giản thì tổng tử và mẫu bằng bao nhiêu?
A. 32
B. 43
C. 23
D. 27
Hướng dẫn giải
Đáp án: D
Giải thích:
0,35 = =
Vậy tổng tử và mẫu là 20 + 7 = 27.
Câu 5. Tính: A = −4 + 3 − 5 bằng
A. 2;
B. 1;
C. −1;
D. – 2.
Hướng dẫn giải
Đáp án: C
Giải thích:
Ta có: ; ; = 0,2 =
Vậy A = −4. + 3. − 5. = −1 + 1 – 1 = −1
Xem thêm các bài trắc nghiệm Toán 7 Kết nối tri thức hay, chi tiết khác:
Trắc nghiệm Chương 1: Số hữu tỉ
Trắc nghiệm Chương 2: Số thực
Trắc nghiệm Chương 3: Góc và đường thẳng song song
Trắc nghiệm Chương 4: Tam giác bằng nhau
Trắc nghiệm Chương 5: Thu thập và biểu diễn dữ liệu