Trắc nghiệm Toán 7 Bài 6:Số vô tỉ. Căn bậc hai số học
I. Nhận biết
Câu 1. Sử dụng máy tính cầm tay, hãy làm tròn đến chữ số thập phân số ba:
A. 3,15;
B. 3,162;
C. 3,163;
D. 3,17.
Hướng dẫn giải
Đáp án: B
Giải thích:
Sử dụng máy tính cầm tay, ta có:
= 3,16227766…
Làm tròn kết quả đến chữ số hàng thập phân thứ tư ba ta được 3,162.
Câu 2. Số làm tròn kết quả đến chữ số hàng thập phân thứ tư ta được
A. 2,3;
B. 3,23;
C. 2,2063;
D. 2,2361.
Hướng dẫn giải
Đáp án: D
Giải thích:
Sử dụng máy tính cầm tay, ta được:
= 2,23606798…
Làm tròn kết quả đến chữ số hàng thập phân thứ tư ta được 2,2361.
Câu 3. Số nào là số thập phân vô hạn không tuần hoàn?
A. 2,345;
B. 0,9834828342…;
C. ;
D. 1.
Hướng dẫn giải
Đáp án: B
Giải thích: Số 0,983482342… là số thập phân vô hạn không tuần hoàn
Câu 4. Chọn đáp án đúng?
A. Số vô tỉ là số được viết được dưới dạng số thập phân vô hạn không tuần hoàn;
B. Số vô tỉ không phải là số thập phân vô hạn không tuần hoàn;
C. Số vô tỉ cũng là số thập phân hữu hạn;
D. Số vô tỉ là số thập phân vô hạn tuần hoàn.
Hướng dẫn giải
Đáp án: A
Giải thích:
Số vô tỉ là số được viết được dưới dạng số thập phân vô hạn không tuần hoàn
Ví dụ: 1,920289… đây là số vô tỉ cũng là số thập phân vô hạn không tuần hoàn
Câu 5. Chọn đáp án sai?
A. ≈ 2,647 (làm tròn đến số thập phân thứ ba);
B. ≈ 3,742 (làm tròn đến số thập phân thứ ba);
C. Số 0,983434… được viết thành 0,98(34);
D. Số 1,212121… được viết thành 1,(21).
Hướng dẫn giải
Đáp án: A
Giải thích:
Ta có: = 2,645751311064591… ≈ 2,646. Do đó A sai.
= 3,741657387 … ≈ 3,742. Do đó B đúng.
Số 0,983434… là số thập phân vô hạn tuần hoàn với chu kì 34 được viết thành 0,98(34). Do đó C đúng.
Số 1,212121… là số thập phân vô hạn tuần hoàn với chu kì 21 được viết thành 1,(21). Do đó D đúng.
Vậy đáp án A sai
II. Thông hiểu
Câu 1. Tính bằng
A. 4;
B. 3;
C. 1;
D. 5.
Hướng dẫn giải
Đáp án: A
Giải thích:
=
Ta có 42 = 16 và 4 > 0 nên = 4.
Vậy = 4.
Câu 2. Tính bằng

Hướng dẫn giải
Đáp án: D
Giải thích: = =
Câu 3. Phép tính: bằng
A. 5;
B. 4;
C. 6;
D. 3.
Hướng dẫn giải
Đáp án: C
Giải thích:
= 6
Vì 62 = 36 và 6 > 0 nên = 6.
Câu 4. Phép tính: − bằng
A. 16;
B. 3;
C. −4;
D. −6.
Hướng dẫn giải
Đáp án: C
Giải thích: Vì 42 = 16 và 4 > 0 nên = 4 . Do đó − = −4.
Câu 5. Phép tính bằng
A. ;
B. ;
C. ;
D. 3.
Hướng dẫn giải
Đáp án: B
Giải thích: Vì > 0 nên =
Câu 6. Sử dụng máy tính bỏ túi để tính: (làm tròn đến chữ số thập phân thứ 2).
A. 1,42;
B. 1, 41;
C. 1,4;
D. 1,04.
Hướng dẫn giải
Đáp án: B
Giải thích:
Sử dụng máy tính cầm tay ta được: = 1,414213562…
Nên làm tròn đến chữ số thập phân thứ 2 là: 1,41.
Câu 7. Tính A = . bằng

Hướng dẫn giải
Đáp án: C
Giải thích:

III. Vận dụng
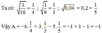
Câu 1. Tính: A = −4 + 3 − 5 bằng
A. 2;
B. 1;
C. −1;
D. – 2.
Hướng dẫn giải
Đáp án: C
Giải thích:

Câu 2. Giá trị của x không âm trong biểu thức x2 – 64 = 0 bằng:
A. x = 3;
B. x = 4;
C. x = 6;
D. x = 8.
Hướng dẫn giải
Đáp án: D
Giải thích:
x2 – 64 = 0
x2 = 64
x = 8 hoặc x = −8
Vì x không âm nên x = 8 thỏa mãn.
Vậy x = 8.
Câu 3. Cho A = 3 và B = . Mệnh đề nào đúng?
A. A > B;
B. A < B;
C. A = B;
D. A ≤ B.
Hướng dẫn giải
Đáp án: B
Giải thích:
Ta có: 3 = mà 9 < 12 nên
Do đó 3 < hay A < B.
Xem thêm các bài trắc nghiệm Toán 7 Kết nối tri thức hay, chi tiết khác:
Trắc nghiệm Làm quen với số thập phân vô hạn tuần hoàn
Trắc nghiệm Số vô tỉ. Căn bậc hai số học
Trắc nghiệm Tổng hợp các số thực
Trắc nghiệm Bài ôn tập cuối chương 2
Trắc nghiệm Góc ở vị trí đặc biệt. Tia phân giác của một góc