Sách bài tập Vật lí 11 Bài 17: Khái niệm điện trường
Giải SBT Vật lí 11 trang 31
Câu 17.1 trang 31 Sách bài tập Vật Lí 11: Điện trường được tạo ra bởi điện tích, là dạng vật chất tồn tại quanh điện tích và
A. tác dụng lực lên mọi vật đặt trong nó.
B. tác dụng lực điện lên mọi vật đặt trong nó.
C. truyền lực cho các điện tích.
D. truyền tương tác giữa các điện tích.
Lời giải:
Đáp án đúng là D
Điện trường được tạo ra bởi điện tích, là dạng vật chất tồn tại quanh điện tích và truyền tương tác giữa các điện tích.
Giải SBT Vật lí 11 trang 32
Câu 17.2 trang 32 Sách bài tập Vật Lí 11: Cường độ điện trường tại một điểm đặc trưng cho điện trường tại điểm đó về
A. phương của vectơ cường độ điện trường.
B. chiều của vectơ cường độ điện trường.
C. phương diện tác dụng lực.
D. độ lớn của lực điện.
Lời giải:
Đáp án đúng là C
Cường độ điện trường tại một điểm đặc trưng cho điện trường tại điểm đó về phương diện tác dụng lực
Câu 17.3 trang 32 Sách bài tập Vật Lí 11: Đơn vị của cường độ điện trường là
A. N.
B. N/m.
C. V/m.
D. V.
Lời giải:
Đáp án đúng là C
Đơn vị của cường độ điện trường là V/m hoặc N/C.
Câu 17.4 trang 32 Sách bài tập Vật Lí 11: Đại lượng nào dưới đây không liên quan tới cường độ điện trường của một điện tích điểm Q đặt tại một điểm trong chân không?
A. Khoảng cách r từ Q đến điểm quan sát.
B. Hằng số điện của chân không.
C. Độ lớn của điện tích Q.
D. Độ lớn của điện tích Q đặt tại điểm quan sát.
Lời giải:
Đáp án đúng là D
Câu 17.5 trang 32 Sách bài tập Vật Lí 11: Một điện tích điểm Q<0 đặt trong chân không. Cường độ điện trường do điện tích Q gây ra tại một điểm M cách Q một khoảng r có phương là đường thẳng nối Q với M và
A. chiều hướng từ M tới Q với độ lớn bằng .
B. chiều hướng từ M ra xa khỏi Q với độ lớn bằng .
C. chiều hướng từ M tới Q với độ lớn bằng .
D. chiều hướng từ M ra xa khỏi Q với độ lớn bằng .
Lời giải:
Đáp án đúng là C
Một điện tích điểm Q<0 đặt trong chân không. Cường độ điện trường do điện tích Q gây ra tại một điểm M cách Q một khoảng r có phương là đường thẳng nối Q với M và chiều hướng từ M tới Q với độ lớn bằng .
Câu 17.6 trang 32 Sách bài tập Vật Lí 11: Trong chân không đặt cố định một điện tích điểm Cường độ điện trường tại một điểm M cách Q một khoảng 2 cm có giá trị bằng
A. 2,25 V/m.
B. 4,5 V/m.
C. 2,25.10-4 V/m.
D. 4,5.10-4 V/m.
Lời giải:
Đáp án đúng là B
Cường độ điện trường tại M là:
Câu 17.7 trang 32 Sách bài tập Vật Lí 11: Trong chân không đặt cố định một điện tích điểm Q. Một điểm M cách Q một khoảng r. Tập hợp những điểm có độ lớn cường độ điện trường bằng độ lớn cường độ điện trường tại M là
A. mặt cầu tâm Q và đi qua M.
B. một đường tròn đi qua M.
C. một mặt phẳng đi qua M.
D. các mặt cầu đi qua M.
Lời giải:
Đáp án đúng là A
Tập hợp những điểm có độ lớn cường độ điện trường bằng độ lớn cường độ điện trường tại Mlà mặt cầu tâm Qvà đi qua M.
Giải SBT Vật lí 11 trang 33
Câu 17.8 trang 33 Sách bài tập Vật Lí 11: Khi làm thực nghiệm xác định điện trường tại một điểm M gần mặt đất, người ta dùng điện tích thử q = 4.10-16C xác định được lực điện tác dụng lên điện tích q có giá trị bằng 5.10-14 N, có phương thẳng đứng hướng từ trên xuống dưới. Hãy tính độ lớn cường độ điện trường tại điểm M.
Lời giải:
Độ lớn cường độ điện trường tại điểm M có giá trị bằng:
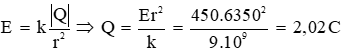
Câu 17.9 trang 33 Sách bài tập Vật Lí 11: Khi phát hiện một đám mây dông có kích thước nhỏ, một trạm quan sát thời tiết đã đo được khoảng cách từ đám mây đó đến trạm cỡ bằng 6350 m, người ta cũng xác định được cường độ điện trường do nó gây ra tại trạm cỡ bằng 450 V/m. Hãy ước lượng độ lớn điện tích của đám mây dông đó. Coi đám mây như một điện tích điểm.
Lời giải:
Điện tích Q của đám mây dông có thể ước lượng theo công thức
Câu 17.10 trang 33 Sách bài tập Vật Lí 11: Cường độ điện trường của Trái Đất tại điểm M có giá trị bằng 120V/m. Một electron có điện tích bằng 1,6.10-19C và khối lượng bằng 9,1.10-31kg. Chứng minh rằng, trọng lực có thể được bỏ qua so với lực điện mà Trái Đất tác dụng lên electron. Lấy g = 9,8m/s2.
Lời giải:
Lực điện tác dụng lên electron có giá trị bằng:
Fd = qE = 1,6.10-19.120 = 19,2.10-18N
Trọng lực tác dụng lên electron có giá trị bằng:
P = mg = 9,1.10-31.9,8 = 89,18.10-31N
Từ kết quả tính được ta thấy lực điện có giá trị lớn hơn rất nhiều (hàng nghìn tỉ lần) so với trọng lực. Do đó chúng ta có thể bỏ qua trọng lực trong bài toán trên.
Câu 17.11 trang 33 Sách bài tập Vật Lí 11: Cường độ điện trường tại một điểm trong điện trường bất kì là đại lượng
A. vectơ, có phương, chiều và độ lớn phụ thuộc vào vị trí của điểm M.
B. vectơ, chỉ có độ lớn phụ thuộc vào vị trí của điểm M.
C. vô hướng, có giá trị luôn dương.
D. vô hướng, có thể có giá trị âm hoặc dương.
Lời giải:
Đáp án đúng là A
Cường độ điện trường tại một điểm M trong điện trường bất kì là đại lượng vectơ, có phương, chiều và độ lớn phụ thuộc vào vị trí của điểm M.
Câu 17.12 trang 33 Sách bài tập Vật Lí 11: Những đường sức điện của điện trường xung quanh một điện tích điểm Q<0 có dạng là
A. những đường cong và đường thẳng có chiều đi vào điện tích Q.
B. những đường thẳng có chiều đi vào điện tích Q.
C. những đường cong và đường thẳng có chiều đi ra khỏi điện tích Q.
D. những đường thẳng có chiều đi ra khỏi điện tích Q.
Lời giải:
Đáp án đúng là B
Những đường sức điện của điện trường xung quanh một điện tích điểm Q<0 có dạng là những đường thẳng có chiều đi vào điện tích Q.
Câu 17.13 trang 33 Sách bài tập Vật Lí 11: Đường sức điện cho chúng ta biết về
A. độ lớn của cường độ điện trường của các điểm trên đường sức điện.
B. phương và chiều của cường độ điện trường tại mỗi điểm trên đường sức điện.
C. độ lớn của lực điện tác dụng lên điện tích thử q.
D. độ mạnh yếu của điện trường.
Lời giải:
Đáp án đúng là B
Đường sức điện cho chúng ta biết về phương và chiều của cường độ điện trường tại mỗi điểm trên đường sức điện.
Câu 17.14 trang 33 Sách bài tập Vật Lí 11: Hãy vẽ hệ đường sức điện của điện trường xung quanh một điện tích âm đặt trong chân không và nhận xét vị trí có điện trường mạnh.
Lời giải:
Vẽ hệ đường sức điện của một điện tích âm Q<0 đặt trong chân không.
Những điểm gần điện tích Q có điện trường mạnh hơn những điểm ở xa, khoảng cách càng gần thì điện trường càng mạnh.
Câu 17.15 trang 33 Sách bài tập Vật Lí 11: Hãy vẽ hệ đường sức điện của điện trường xung quanh hệ hai điện tích âm bằng nhau và xác định những vị trí có điện trường yếu.
Lời giải:
Vẽ hệ đường sức điện của hệ hai điện tích âm bằng nhau .
Điện trường ở vùng giữa hai điện tích là rất nhỏ, đồng thời điện trường ở cách xa hai điện tích cũng sẽ giảm dần theo khoảng cách.
Giải SBT Vật lí 11 trang 34
Câu 17.16 trang 34 Sách bài tập Vật Lí 11: Vào một ngày đẹp trời đo đạc thực nghiệm cho thấy gần bề mặt Trái Đất ở một khu vực tại Hà Nội tồn tại điện trường theo phương thẳng đứng, hướng từ trên xuống dưới, có độ lớn cường độ điện trường không đổi trong khu vực khảo sát và bằng 114 V/m.
a) Hãy vẽ hệ đường sức điện của điện trường trái đất ở khu vực đó.
b) Một hạt bụi mịn có điện tích 6,4.10-19C sẽ chịu tác dụng của lực điện có phương, chiều và độ lớn như thế nào?
Lời giải:
a) Vẽ hệ đường sức điện của điện trường trái đất.
b) Lực điện sẽ có phương thẳng đứng, chiều hướng xuống dưới theo phương và chiều của điện trường. Độ lớn của lực điện bằng: F = qE = 6,4.10-19.114 = 729,6.10-19N
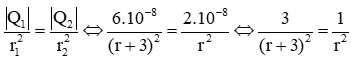
Câu 17.17 trang 34 Sách bài tập Vật Lí 11: Đặt điện tích tại điểm A và điện tích tại điểm B cách A một khoảng bằng 3 cm. Hãy xác định những điểm mà cường độ điện trường tại đó bằng 0.
Lời giải:
Tại một điểm bất kì M trong không gian luôn tồn tại điện trường do điện tích Q1 gây ra và điện trường do điện tích Q2 gây ra. Để cường độ điện trường tại M bằng 0 thì: = – (Hình 17.4G).
– Để , cùng phương thì điểm M phải nằm trên đường thẳng đi qua hai điểm A và B.
– Để , ngược chiều thì điểm M phải nằm ngoài đoạn thẳng AB.
– Để E1 = E2 .
Vì |Q1|>|Q2| nên r1>r2 (tức là điểm M phải nằm phía ngoài điểm B).
Đặt BM = r(cm), ta có AM = 3+r (cm)
Và
Giải ra ta được: .
Câu 17.18 trang 34 Sách bài tập Vật Lí 11: Cho tam giác ABC vuông tại A có AB = 3 cm và AC = 4 cm. Tại B ta đặt điện tích , tại C, ta đặt điện tích Hãy tính độ lớn của cường độ điện trường do hai điện tích này gây ra tại A.
Lời giải:
Sử dụng công thức ta tính được:
Điện trường do Q1 gây ra tại A có độ lớn bằng:
Điện trường do Q2 gây ra tại A có độ lớn bằng:
Ta thấy vuông góc với (Hình 17.5G) nên điện trường tổng hợp tính được là:
Câu 17.19 trang 34 Sách bài tập Vật Lí 11: Hai điểm A và B cách nhau 6 cm. Tại A, đặt điện tích Tại B, đặt điện tích Hãy xác định những điểm mà cường độ điện trường tại đó bằng 0.
Lời giải:
Do điện tích Q1 và Q2 cùng dấu nên vị trí cần tìm nằm giữa A và B.
Để .
Đặt BM = r(cm), ta có AM = 6-r (cm)
Và r = 2 cm = BM AM = 4 cm
Vậy cường độ điện trường bằng 0 tại điểm M trong đoạn thẳng AB, với MA = 4 cm và MB = 2 cm.
Câu 17.20 trang 34 Sách bài tập Vật Lí 11: Trong thí nghiệm về điện trường (Hình 17.1), người ta tạo ra một điện trường giống nhau tại mọi điểm giữa hai bản kim loại hình tròn với E = 105 V/m, có phương nằm ngang và hướng từ tấm bên phải (+) sang tấm bên trái (-). Một viên bi nhỏ khối lượng 0,1 g, tích điện âm q = -10-8C được móc bằng hai dây chỉ và treo vào giá như hình. Hãy tính góc lệch của mặt phẳng tạo bởi hai dây treo và mặt phẳng thẳng đứng. Lấy g = 10 m/s2.
Thí nghiệm về điện trường
Lời giải:
Góc lệch giữa dây treo và phương thẳng đứng thoả mãn công thức:
Xem thêm các bài giải SBT Vật Lí lớp 11 Kết nối tri thức hay, chi tiết khác:
Bài 16: Lực tương tác giữa hai điện tích
Bài 17: Khái niệm điện trường
Bài 18: Điện trường đều
Bài 19: Thế năng điện
Bài 20: Điện thế
Bài 21: Tụ điện
Lý thuyết Khái niệm điện trường
I. Khái niệm điện trường
– Điện trường được tạo ra bởi điện tích, là dạng vật chất tồn tại xung quanh điện tích và truyền tương tác giữa các điện tích.
II. Cường độ điện trường
· Đại lượng đặc trưng cho độ mạnh yếu của điện trường là cường độ điện trường.

· Cường độ điện trường tại một điểm được đo bằng tỉ số giữa lực điện tác dụng lên một điện tích dương đặt tại điểm đó và độ lớn của điện tích đó.
– Trong hệ SI, đơn vị của cường độ điện trường là vôn trên mét (V/m)
– Vì lực là đại lượng vecto, q là đại lượng vô hướng nên cường độ điện trường là đại lượng vecto. Vecto cường độ điện trường tại một điểm được xác định bằng tỉ số giữa vecto lực điện tác dụng lên một điện tích q đặt tại điểm đó và trị số của điện tích đó:
· Đặc điểm của vecto cường độ điện trường :
– Phương trùng với phương của lực điện tác dụng lên điện tích.
– Chiều cùng với chiều của lực điện khi q > 0, ngược chiều với chiều của lực điện khi q < 0.

– Độ lớn của vecto cường độ điện trường bằng độ lớn của lực điện tác dụng lên điện tích 1C đặt tại điểm ta xét.
– Độ lớn cường độ điện trường do một điện tích điểm Q đặt trong chân không hoặc không khí gây ra tại một điểm cách đó một khoảng r có giá trị bằng
· Cường độ điện trường của hệ điện tích điểm gây ra tại một điểm được tổng hợp từ cường độ điện trường của mỗi điện tích điểm
Ví dụ:

III. Điện phổ
Một số hình ảnh điện phổ

– Đường sức điện là các đường được vẽ trong điện trường sao cho hương của vecto cường độ điện trường tại mỗi điểm trên đường sức điện trùng với hướng của vecto tiếp tuyến của đường sức điện tại điểm đó.
– Mật độ đường sức điện được vẽ theo quy ước: một diện tích nhất định đặt vuông góc với vecto cường độ điện trường tại điểm ta xét có số đường sức điện đi qua tỉ lệ với độ lớn của cường độ điện trường tại điểm đó.
Ví dụ: một số hình ảnh về đường sức điện
