Skip to content

Học tập lớp 12

  • Trắc nghiệm Holland
  • Tính điểm xét tuyển
  • Danh sách trường Đại học
  • Kết quả bài thi

Học tập lớp 12

  • Home » 
  • Vật lí Lớp 11

20 câu Trắc nghiệm Bài tập về dao động điều hoà (Kết nối tri thức 2025) có đáp án – Vật lí lớp 11

By Admin Lop12.com 24/02/2026 0

Trắc nghiệm Vật lí 11 Bài 4: Bài tập về dao động điều hoà

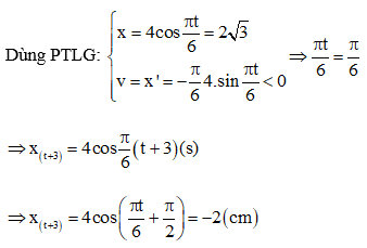
Câu 1. Một vật dao động theo phương trình Trắc nghiệm Vật Lí 11 Kết nối tri thức Bài 4 (có đáp án): Bài tập về dao động điều hoà(t đo bằng giây). Tại thời điểm t1 li độ là 2√3cm và đang giảm. Tính li độ sau thời điểm t1 là 3 (s).

A. 1,2 cm.

B. -3 cm.

C. -2 cm.

D. 5 cm.

Hướng dẫn giải

Trắc nghiệm Vật Lí 11 Kết nối tri thức Bài 4 (có đáp án): Bài tập về dao động điều hoà

Đáp án đúng là C.

Câu 2. Một vật dao động điều hòa khi đang chuyển động từ vị trí cân bằng đến vị trí biên âm thì

A. vận tốc và gia tốc cùng có giá trị dương.     

B. độ lớn vận tốc và độ lớn gia tốc cùng giảm.

C. vectơ vận tốc ngược chiều với vectơ gia tốc.

D. độ lớn vận tốc tăng và độ lớn gia tốc không thay đổi.

Hướng dẫn giải

A –  Sai, vì vận tốc có giá trị âm, còn gia tốc có giá trị dương.

B –  Sai, vì độ lớn vận tốc giảm, còn độ lớn gia tốc tăng.

C – Đúng, vì một vật dao động điều hòa khi đang chuyển động từ vị trí cân bằng đến vị trí biên âm thì vecto vận tốc ngược chiều với vecto gia tốc.

D –  Sai, vì độ lớn vận tốc giảm còn độ lớn gia tốc tăng.

Đáp án đúng là C.

Câu 3. Chọn phương án đúng nhất. Pha ban đầu của dao động điều hoà phụ thuộc vào

A. gốc thời gian.

B. trục tọa độ.

C. biên độ dao động.

D. gốc thời gian và trục tọa độ.

Hướng dẫn giải

Pha ban đầu của dao động điều hoà phụ thuộc vào cách chọn gốc thời gian và trục tọa độ.

Đáp án đúng là D.

Câu 4. Gia tốc của một chất điểm dao động điều hòa biến thiên

A. cùng tần số và cùng pha với li độ.

B. cùng tần số và ngược pha với li độ.

C. khác tần số và vuông pha với li độ.

D. khác tần số và cùng pha với li độ.

Hướng dẫn giải

Gia tốc của một chất điểm dao động điều hòa là: a=−ω2x

Gia tốc biến thiên cùng tần số và ngược pha với li độ x.

Đáp án đúng là B.

Câu 5. Một vật dao động điều hòa có chu kì 2 s, biên độ 10 cm. Khi vật cách vị trí cân bằng 5 cm, tốc độ của nó bằng

A. 27,21 cm.

B. 30,22 cm.

C. 55,13 cm.

D. 62,05 cm.

Hướng dẫn giải

Từ công thức: x2+v2ω2=A2 suy ra:

v=ωA2−x2=2πTA2−x2

=2π2102−52≈27,21cm/s

Đáp án đúng là A.

Câu 6. Trong dao động điều hòa của một vật thì tập hợp ba đại lượng nào sau đây không thay đổi theo thời gian?

A. Vận tốc, li độ, gia tốc.

B. Động năng, biên độ, li độ.

C. Động năng, thế năng, cơ năng.

D. Cơ năng, biên độ, chu kì.

Hướng dẫn giải

Khi một vật dao động điều hòa cơ năng, biên độ, chu kì không đổi theo thời gian.

Đáp án đúng là D.

Câu 7. Đồ thị của dao động điều hòa là

A. một đường hình sin.

B. một đường thẳng.

C. một đường elip.

D. một đường parabol.

Hướng dẫn giải

Đồ thị của dao động điều hòa là một đường hình sin.

Đáp án đúng là A.

Câu 8. Chu kì của dao động điều hòa là

A. là số dao động toàn phần thực hiện được trong một giây.

B. là số dao động toàn phần thực hiện được trong một phút.

C. là khoảng thời gian để vật thực hiện được một dao động toàn phần.

D. là khoảng thời gian vật thực hiện được một số dao động toàn phần.

Hướng dẫn giải

Chu kì của dao động điều hòa là khoảng thời gian để vật thực hiện được một dao động toàn phần.

Đáp án đúng là C.

Câu 9. Một vật nhỏ dao động điều hòa theo một quỹ đạo có chiều dài 10 cm. Biên độ của dao động là

A. 10 cm.

B. 5 cm.

C. 2,5 cm.

D. 1,125 cm.

Hướng dẫn giải

Biên độ của dao động là: A=L2=102=5(cm).

Đáp án đúng là B.

Câu 10. Một chất điểm dao động điều hòa trên trục Ox. Khi chất điểm đi qua vị trí cân bằng thì tốc độ của nó là 20 cm/s. Khi chất điểm có tốc độ là 10 cm/s thì gia tốc của nó có độ lớn là 403cm/s2. Biên độ dao động của chất điểm là

A. 2 cm.

B. 4 cm.

C. 5 cm.

D. 6 cm.

Hướng dẫn giải

Trắc nghiệm Vật Lí 11 Kết nối tri thức Bài 4 (có đáp án): Bài tập về dao động điều hoà

Đáp án đúng là C.

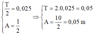
Câu 11. Một vật dao động điều hòa phải mất 0,025 s để đi từ điểm có vận tốc bằng không tới điểm tiếp theo cũng có vận tốc bằng không, hai điểm ấy cách nhau 10 cm. Chọn đáp án

A. chu kì dao động là 0,025 s

B. tần số dao động là 10 Hz

C. biên độ dao động là 10 cm

D. vận tốc cực đại của vật là 2π cm/s.

Hướng dẫn giải

Chọn D.

Ta có:

Vật Lí lớp 12 | Lý thuyết và Bài tập Vật Lí 12 có đáp án

Vật Lí lớp 12 | Lý thuyết và Bài tập Vật Lí 12 có đáp án

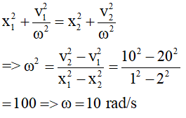
Câu 12. Một vật dao động điều hòa, ở thời điểm t1 vật có li độ x1 = 1 cm, và có vận tốc v1 = 20 cm/s. Đến thời điểm t2 vật có li độ x2 = 2 cm và có vận tốc v2 = 10 cm/s. Hãy xác định biên độ, vận tốc cực đại của vật?

A. ω = 10 rad/s và vmax = 10√5 cm/s

B. ω = 15 rad/s và vmax = 10 cm/s

C. ω = 15 rad/s và vmax = 10 cm/s

D. ω = 10 rad/s và vmax = 10√5 cm/s

Hướng dẫn giải

Chọn A. Hướng dẫn: Tại thời điểm t ta có :

x = Acos(ωt + φ) và v = x’ = -ωAsin(ωt + φ)

Vật Lí lớp 12 | Lý thuyết và Bài tập Vật Lí 12 có đáp án

Từ (1) và (2) ta được:

Vật Lí lớp 12 | Lý thuyết và Bài tập Vật Lí 12 có đáp án

Chu kỳ: T = 2π/ω = 2π/10 = 0,625 s Tần số: f = 2π/ω = 1/T = 1,59 Hz

Biên độVật Lí lớp 12 | Lý thuyết và Bài tập Vật Lí 12 có đáp án

Vận tốc cực đại: vmax = Aω = 10√5 cm/s

Câu 13. Vật dao động điều hòa với biên độ A = 4 cm và T = 2 s. Chọn gốc thời gian là lúc vật qua VTCB theo chiều dương của quỹ đạo. Phương trình dao động của vật là :

Vật Lí lớp 12 | Lý thuyết và Bài tập Vật Lí 12 có đáp án

Hướng dẫn giải

Chọn A. Hướng dẫn: Ta có: ω = 2πf = π rad/s và A = 4 cm

Khi: t = 0 : x0 = 0, v0 > 0 :

Vật Lí lớp 12 | Lý thuyết và Bài tập Vật Lí 12 có đáp án

Xem thêm các bài Trắc nghiệm Vật Lí lớp 11 Kết nối tri thức hay, chi tiết khác:

Trắc nghiệm Bài 3: Vận tốc, gia tốc trong dao động điều hoà

Trắc nghiệm Bài 4: Bài tập về dao động điều hoà

Trắc nghiệm Bài 5: Động năng. Thế năng. Sự chuyển hoá năng lượng trong dao động điều hoà

Trắc nghiệm Bài 6: Dao động tắt dần. Dao động cưỡng bức. Hiện tượng cộng hưởng

Trắc nghiệm Bài 7: Bài tập về sự chuyển hoá năng lượng trong dao động điều hoà

Tags : Tags Trắc nghiệm Vật Lí 11
Share
facebookShare on Facebook

Bài liên quan

Giải SGK Vật lí 11 Bài 15 (Kết nối tri thức): Thực hành: Đo tốc độ truyền âm

Giải SBT Vật lí 11 Bài 6 (Kết nối tri thức): Dao động tắt dần. Dao động cưỡng bức. Hiện tượng cộng hưởng

Giải SBT Vật lí 11 Bài 23 (Kết nối tri thức): Điện trở. Định luật Ôm

20 câu Trắc nghiệm Động năng. Thế năng. Sự chuyển hoá năng lượng trong dao động điều hoà (Kết nối tri thức 2025) có đáp án – Vật lí lớp 11

20 câu Trắc nghiệm Điện trở. Định luật Ôm (Kết nối tri thức 2025) có đáp án – Vật lí lớp 11

Giải SGK Vật lí 11 Bài 16 (Kết nối tri thức): Lực tương tác giữa hai điện tích

Giải SBT Vật lí 11 (Kết nối tri thức) Bài tập cuối chương 1 trang 14

Giải SBT Vật lí 11 Bài 24 (Kết nối tri thức): Nguồn điện

0 Góp ý
Phản hồi nội tuyến
Xem tất cả bình luận

Mục lục

  1. Giải SGK Vật lí 11 Bài 1 (Kết nối tri thức): Dao động điều hòa
  2. Giải SGK Vật lí 11 Bài 2 (Kết nối tri thức): Mô tả dao động điều hoà
  3. Giải SGK Vật lí 11 Bài 3 (Kết nối tri thức): Vận tốc, gia tốc trong dao động điều hoà
  4. Giải SGK Vật lí 11 Bài 4 (Kết nối tri thức): Bài tập về dao động điều hoà
  5. Giải SGK Vật lí 11 Bài 5 (Kết nối tri thức): Động năng. Thế năng. Sự chuyển hóa năng lượng trong dao động điều hòa
  6. Giải SGK Vật lí 11 Bài 6 (Kết nối tri thức): Dao động tắt dần. Dao động cưỡng bức. Hiện tượng cộng hưởng
  7. Giải SGK Vật lí 11 Bài 7 (Kết nối tri thức): Bài tập về sự chuyển hóa năng lượng trong dao động điều hòa
  8. Giải SGK Vật lí 11 Bài 8 (Kết nối tri thức): Mô tả sóng
  9. Giải SGK Vật lí 11 Bài 9 (Kết nối tri thức): Sóng ngang. Sóng dọc. Sự truyền năng lượng của sóng cơ
  10. Giải SGK Vật lí 11 Bài 10 (Kết nối tri thức): Thực hành: Đo tần số của sóng âm
  11. Giải SGK Vật lí 11 Bài 11 (Kết nối tri thức): Sóng điện từ
  12. Giải SGK Vật lí 11 Bài 12 (Kết nối tri thức): Giao thoa sóng
  13. Giải SGK Vật lí 11 Bài 13 (Kết nối tri thức): Sóng dừng
  14. Giải SGK Vật lí 11 Bài 14 (Kết nối tri thức): Bài tập về sóng
  15. Giải SGK Vật lí 11 Bài 15 (Kết nối tri thức): Thực hành: Đo tốc độ truyền âm
  16. Giải SGK Vật lí 11 Bài 16 (Kết nối tri thức): Lực tương tác giữa hai điện tích
  17. Giải SGK Vật lí 11 Bài 17 (Kết nối tri thức): Khái niệm điện trường
  18. Giải SGK Vật lí 11 Bài 18 (Kết nối tri thức): Điện trường đều
  19. Giải SGK Vật lí 11 Bài 19 (Kết nối tri thức): Thế năng điện
  20. Giải SGK Vật lí 11 Bài 20 (Kết nối tri thức): Điện thế

Copyright © 2026 Học tập lớp 12 - Sách Toán - Học Tập AI
  • Sitemap
  • Chính sách
  • Giới thiệu
  • Hướng dẫn
  • Kết quả
  • Liên hệ
Back to Top
Menu
  • Sitemap
  • Chính sách
  • Giới thiệu
  • Hướng dẫn
  • Kết quả
  • Liên hệ
wpDiscuz