Trắc nghiệm Vật lí 11 Bài 3: Vận tốc, gia tốc trong dao động điều hòa
Phần 1. Trắc nghiệm Vận tốc, gia tốc trong dao động điều hòa
Câu 1: Một chất điểm M chuyển động tròn đều trên quỹ đạo tâm O bán kính R với tốc độ 100 cm/s. Gọi P là hình chiếu cùa M trên trục Ox nằm trong mặt phẳng quỹ đạo. Khi P cách O một đoạn 6 (cm) nó có tốc độ là 50 (cm/s). Giá trị R bằng
A. 4√3(cm).
B. 2,5 (cm)
C. 6√3(cm).
D. 5 (cm)
Hướng dẫn giải
Đáp án đúng là A.
Câu 2: Trong dao động điều hòa, giá trị cực đại của gia tốc là
A. amax = ω2A.
B. amax = ωA.
C. amax = -ωA.
D. amax = -ω2A.
Hướng dẫn giải
Đáp án đúng là A.
Câu 3: Tìm phát biểu sai khi nói về dao động điều hoà:
A. Gia tốc sớm pha π so với li độ.
B. Vận tốc và gia tốc luôn ngược pha nhau.
C. Vận tốc luôn trễ pha so với gia tốc.
D. Vận tốc luôn sớm pha so với li độ.
Hướng dẫn giải
Đáp án đúng là B.
Câu 4: Một vật dao động điều hòa có chu kì 2 s, biên độ 10 cm. Khi vật cách vị trí cân bằng 5 cm, tốc độ của nó bằng
A. 27,21 cm/s.
B. 12,56 cm/s.
C. 20,08 cm/s.
D. 18,84 cm/s.
Hướng dẫn giải
Từ công thức: suy ra:
Đáp án đúng là A.
Câu 5: Một chất điểm chuyển động tròn đều trên đường tròn tâm O bán kính 10 cm với tốc độ góc 5 rad/s. Hình chiếu của chất điểm lên trục Ox nằm trong mặt phẳng quỹ đạo có tốc độ cực đại là
A. 15 cm/s.
B. 50 cm/s.
C. 250 cm/s.
D. 25 cm/s.
Hướng dẫn giải
* Một chất điểm chuyển động tròn đều trên đường tròn bán kính R với tốc độ góc ω thì hình chiếu của nó trên một trục nằm trong mặt phẳng quỹ đạo sẽ dao động điều hòa với biên độ đúng bằng R và tần số góc đúng bằng ω
* Hình chiếu của chất điểm lên trục Ox nằm trong mặt phẳng quỹ đạo dao động điều hòa với biên độ A = 10 cm và tần số góc ω = 5 rad/s => tốc độ cực đại là = 50 cm/s
Đáp án đúng là B.
Câu 6: Tìm phát biểu đúng khi nói về dao động điều hoà:
A. Gia tốc chậm pha π so với li độ.
B. Vận tốc và gia tốc luôn ngược pha nhau.
C. Vận tốc luôn trễ pha so với gia tốc.
D. Vận tốc luôn chậm pha so với li độ.
Hướng dẫn giải
Đáp án đúng là C.
Câu 7: Gia tốc của vật dao động điều hòa bằng không khi:
A. vật ở vị trí có li độ cực đại
B. vận tốc của vật đạt cực tiểu.
C. vật ở vị trí có li độ bằng không
D. vật ở vị trí có pha dao động cực đại.
Hướng dẫn giải
Đáp án đúng là C.
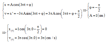
Câu 8: Một chất điểm dao động điều hòa có phương trình vận tốc là (cm/s). Gốc tọa độ ở vị trí cân bằng. Mốc thời gian được chọn vào lúc chất điểm có li độ và vận tốc là:
A. x = 2cm, v = 0.
B. x = 0, v = 3π cm/s.
C. x= − 2 cm, v = 0.
D. x = 0, v = − π cm/s.
Hướng dẫn giải
Đối chiếu với các phương trình tổng quát ta tính được:
Đáp án đúng là B.
Câu 9: Vận tốc và gia tốc của con lắc lò xo dao động điều hoà tại các thời điểm t1,t2 có giá trị tương ứng là v1 = 0,12 m/s, v2 = 0,16 m/s, a1= 0,64 m/s2, a2 = 0,48 m/s2. Biên độ và tần số góc dao động của con lắc là:
A. A = 5 cm, ω = 4 rad/s.
B. A = 3 cm, ω = 6 rad/s.
C. A = 4 cm, ω = 5 rad/s.
D. A = 6 cm, ω = 3 rad/s.
Hướng dẫn giải
Áp dụng công thức:
Đáp án đúng là A.
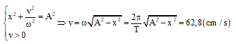
Câu 10: Một quả cầu dao động điều hoà với biên độ 5 (cm), chu kỳ 0,4 (s). Tính vận tốc cùa quả cầu tại thời điểm vật có li độ 3 (cm) và đang chuyển động theo chiều dương.
A. v = 62,8 (cm/s).
B. v = ± 62,8 (cm/s)
C. v = − 62,8 (cm/s).
D. v = 62,8 (m/s).
Hướng dẫn giải
Đáp án đúng là A
Phần 2. Lý thuyết Vận tốc, gia tốc trong dao động điều hòa
I. Vận tốc của vật dao động điều hòa
1. Phương trình của vận tốc
Vận tốc của vật dao động điều hòa cũng biến thiên tuần hoàn theo quy luật hàm sin (cosin) cùng chu kì T của li độ
Độ lớn của vận tốc
Thay ta được
– Khi vật ở VTCB thì
– Khi vật ở vị trí biên thì
2. Đồ thị của vận tốc
II. Gia tốc của vật dao động điều hòa
1. Phương trình của gia tốc
Thay ta được
– Khi vật ở VTCB
– Khi vật ở vị trí biên
2. Đồ thị của gia tốc
Sơ đồ tư duy Vận tốc, gia tốc trong dao động điều hòa

Video bài giảng Vật Lí 11 Bài 3: Vận tốc, gia tốc trong dao động điều hòa – Kết nối tri thức
Xem thêm các bài Trắc nghiệm Vật Lí lớp 11 Kết nối tri thức hay, chi tiết khác:
Trắc nghiệm Bài 2: Mô tả dao động điều hoà
Trắc nghiệm Bài 3: Vận tốc, gia tốc trong dao động điều hoà
Trắc nghiệm Bài 4: Bài tập về dao động điều hoà
Trắc nghiệm Bài 5: Động năng. Thế năng. Sự chuyển hoá năng lượng trong dao động điều hoà
Trắc nghiệm Bài 6: Dao động tắt dần. Dao động cưỡng bức. Hiện tượng cộng hưởng