Skip to content

Học tập lớp 12

  • Trắc nghiệm Holland
  • Tính điểm xét tuyển
  • Danh sách trường Đại học
  • Kết quả bài thi

Học tập lớp 12

  • Home » 
  • Vật lí Lớp 11

20 câu Trắc nghiệm Bài tập về sự chuyển hoá năng lượng trong dao động điều hoà (Kết nối tri thức 2025) có đáp án – Vật lí lớp 11

By Admin Lop12.com 24/02/2026 0

Trắc nghiệm Vật lí 11 Bài 7: Bài tập về sự chuyển hoá năng lượng trong dao động điều hoà

Câu 1. Một con lắc lò xo gồm vật nặng 0,2 kg gắn vào đầu lò xo có độ cứng 20 N/m. Kéo quả nặng ra khỏi vị trí cân bằng rồi thả nhẹ cho nó dao động, tốc độ trung bình trong 1 chu kỳ là 160π cm/s. Cơ năng dao dao động của con lắc là

A. 0,025 J.

B. 0,064 J.

C. 0,072 J.

D. 0,095 J.

Hướng dẫn giải

Trắc nghiệm Vật Lí 11 Kết nối tri thức Bài 7 (có đáp án): Bài tập về sự chuyển hoá năng lượng trong dao động điều hoà

Đáp án đúng là B.

Câu 2. Một con lắc đơn gồm quả cầu có khối lượng 400 (g) và sợi dây treo không dãn có trọng lượng không đáng kể, chiều dài 0,1 (m) được treo thẳng đứng ở điểm A. Biết con lắc đơn dao động điều hoà, tại vị trí có li độ góc 0,075 (rad) thì có vận tốc 0,0753 (m/s). Cho gia tốc trọng trường 10 (m/s2). Cơ năng của dao động là

A. 3,5 mJ.

B. 4,5 mJ.

C. 5,7 mJ.

D. 9,1 mJ.

Hướng dẫn giải

Cơ năng của dao động được tính bởi công thức:

Trắc nghiệm Vật Lí 11 Kết nối tri thức Bài 7 (có đáp án): Bài tập về sự chuyển hoá năng lượng trong dao động điều hoà

Đáp án đúng là B.

Câu 3. Một con lắc đơn có khối lượng 2 kg và có độ dài 4 m, dao động điều hòa ở nơi có gia tốc trọng trường 9,8 m/s2. Cơ năng dao động của con lắc là 0,2205 J. Biên độ góc của con lắc bằng

A. 4,30.

B. 0,70.

C. 1,30.

D. 2,10.

Hướng dẫn giải

Ta có: W=mgl2αmax2⇒αmax=2Wmgl=2.0,22052.9,8.4=0,075rad≈4,30

Đáp án đúng là A.

Câu 4. Chất điểm có khối lượng m1 = 50 g dao động điều hoà quanh vị trí cân bằng của nó với phương trình dao động x1=5cosπt+π6(cm). Chất điểm có khối lượng m2 = 100g dao động điều hoà quanh vị trí cân bằng của nó với phương trình dao động x2=5cosπt−π6(cm). Tỉ số cơ năng trong quá trình dao động điều hoà của chất điểm m1 so với chất điểm m2 bằng

A. 0,25.

B. 0,5.

C. 1.

D. 2.

Hướng dẫn giải

Tỉ số cơ năng giữa hai con lắc là: W1W2=12m1ω12A1212m2ω22A22=1250.π2.5212100.π2.52=12.

Đáp án đúng là B.

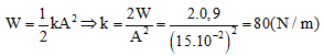
Câu 5. Một con lắc lò xo có cơ năng W = 0,9 J và biên độ dao động A = 15cm. Hỏi động năng của con lắc tại vị trí có li độ x=−5 (cm) là bao nhiêu?

A. 0,5 J.

B. 0,8 J.

C. 0,95 J.

D. 1 J.

Hướng dẫn giải

Độ cứng của lò xo: Trắc nghiệm Vật Lí 11 Kết nối tri thức Bài 7 (có đáp án): Bài tập về sự chuyển hoá năng lượng trong dao động điều hoà

Động năng của con lắc tại x=−5 cm vị trí là:

Trắc nghiệm Vật Lí 11 Kết nối tri thức Bài 7 (có đáp án): Bài tập về sự chuyển hoá năng lượng trong dao động điều hoà

Đáp án đúng là B.

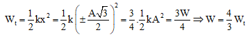
Câu 6. Một con lắc lò xo gồm lò xo nhẹ và vật nhỏ khối lượng 100g đang dao động điều hòa theo phương ngang, mốc tính thế năng tại vị trí cân bằng. Từ thời điểm t1 = 0 đến t2= π48 s, động năng của con lắc tăng từ 0,096 J đến giá trị cực đại rồi giảm về 0,064 J. Ở thời điểm t2, thế năng của con lắc bằng 0,064 J. Biên độ dao động của con lắc là

A. 6 cm.

B. 7 cm.

C. 8 cm.

D. 9 cm.

Hướng dẫn giải

Tại thời điểm t2 động năng bằng thế năng: Trắc nghiệm Vật Lí 11 Kết nối tri thức Bài 7 (có đáp án): Bài tập về sự chuyển hoá năng lượng trong dao động điều hoà

Tại thời điểm t1 = 0 thì Wđ=0,096=3W4;Wt=W4 nên lúc này x0=±A2

Ta có thể biểu diễn quá trình chuyển động như trên hình vẽ sau:

Trắc nghiệm Vật Lí 11 Kết nối tri thức Bài 7 (có đáp án): Bài tập về sự chuyển hoá năng lượng trong dao động điều hoà

Ta có: t1=T12+T8=π48s⇒T=0,1π(s)⇒ω=2πT=20rad/s

Biên độ tính từ công thức: W=mω2A22

⇒A=2Wmω2=2.0,1280,1.202=0,08m=8cm

Đáp án đúng là C.

Câu 7. Một con lắc đơn dao động điều hòa với biên độ góc α0. Lấy mốc thế năng ở vị trí cân bằng. Ở vị trí con lắc có động năng bằng thế năng thì li độ góc của nó bằng:

A. ±α022.

B. ±α023.

C. ±α02.

D. ±α02.

Hướng dẫn giải

Ở vị trí con lắc có động năng bằng thế năng, ta có:

Wt=Wđ=W2⇒mgα22=12mgα022⇒α=±α02

Đáp án đúng là C.

Câu 8. Một vật dao động điều hòa với biên độ A thì cơ năng của vật

A. bằng 0,5 lần thế năng của vật ở li độ x=±A2.

B. bằng 2 lần thế năng của vật ở li độ x=±A2.

C. bằng 43 lần thế năng của vật ở li độ x=±A32.

D. bằng 34 lần thế năng của vật ở li độ x=±A32.

Hướng dẫn giải

– Khi vật đi qua vị trí x=±A2:

Trắc nghiệm Vật Lí 11 Kết nối tri thức Bài 7 (có đáp án): Bài tập về sự chuyển hoá năng lượng trong dao động điều hoà

– Khi vật ở vị trí x=±A32:

Trắc nghiệm Vật Lí 11 Kết nối tri thức Bài 7 (có đáp án): Bài tập về sự chuyển hoá năng lượng trong dao động điều hoà

Đáp án đúng là C.

Câu 9. Vật dao động điều hòa với vận tốc cực đại bằng 3 m/s và gia tốc cực đại bằng 30π m/s2. Lúc t = 0 vật có vận tốc v1=+1,5 m/s và thế năng đang giảm. Hỏi sau thời gian ngắn nhất là bao nhiêu thì vật có gia tốc bằng − 15πm/s2?

A. 0,01 s.

B. 0,02 s.

C. 0,05 s.

D. 0,15 s.

Hướng dẫn giải

Từ các công thức: amax=ω2A và vmax=ωA suy ra ω=amaxvmax=10πrad/s

Trắc nghiệm Vật Lí 11 Kết nối tri thức Bài 7 (có đáp án): Bài tập về sự chuyển hoá năng lượng trong dao động điều hoà

Ta có: v1=1,5=vmax2⇒x=±A32

Mà thế năng đang giảm nên chọn x1=−A32

Khi a2=−15π=−amax2⇒x2=A2 (vì sau thời gian ngắn nhất nên chọn x2=A2)

⇒t−A32→A2=T6+T12=14.2πω=0,05s

Đáp án đúng là C.

Câu 10. Một con lắc lò xo dao động điều hòa. Lò xo có độ cứng k = 80 N/m. Trong một chu kì, con lắc đi được một đoạn đường dài 20 cm. Cơ năng của con lắc là

A. 0,1 J.

B. 0,2 J.

C. 0,3 J.

D. 0,4 J.

Hướng dẫn giải

Quãng đường vật đi được trong một chu kì là: ST=4A⇒A=5cm

Cơ năng của con lắc: W=12kA2=0,1J

Đáp án đúng là A.

Câu 11: Một con lắc lò xo nằm ngang, một đầu cố định, một đầu gắn với vật khối lượng 100 g dao động theo phương trình x = 8cos(10t ) ( x tính băng cm, t tính bằng s). Thế năng cực đại của vật là:

A. 16 mJ.                      

B. 320 mJ.                    

C. 128 mJ.                    

D. 32 mJ.

Hướng dẫn giải

Thế năng cực đại bằng cơ năng của vật

Trắc nghiệm Vật Lí 11 Kết nối tri thức Bài 5 (có đáp án): Động năng. Thế năng. Sự chuyển hoá năng lượng trong dao động điều hoà

Đáp án đúng là D

Câu 12: Khi nói về năng lượng của một vật dao động điều hòa, phát biểu nào sau đây là đúng ?

A. Thế năng của vật đạt giá trị cực đại khi vật đi qua vị trí cân bằng.

B. Cơ năng của vật biến thiên tuần hoàn với chu kì bằng 1/2 chu kì dao động điều hòa.

C. Thế năng và động năng của vật biến thiên tuần hoàn với cùng tần số.

D. Trong mỗi chu kì dao động của vật có hai thời điểm ứng với lúc thế năng bằng động năng.

Hướng dẫn giải

Thế năng và động năng của một vật dao động điều hoà biến thiên tuần hoàn với cùng tần số.

Đáp án đúng là C

Câu 13: Con lắc lò xo gồm vật nhỏ khối lượng 100g gắn với một lò xo nhẹ. Con lắc dao động điều hòa theo phương ngang với phương trình x = 10cos10πt (cm). Mốc thế năng ở vị trí cân bằng. Lấy π2 = 10. Cơ năng của con lắc bằng :

A. 0,10 J.                      

B. 0,50 J.                      

C. 0,05 J.                      

D. 1,00 J.

Hướng dẫn giải

Cơ năng của con lắc: W=12mω2A2=12.0,1.102.π2.0,12=0,5J

Đáp án đúng là B

Xem thêm các bài Trắc nghiệm Vật Lí lớp 11 Kết nối tri thức hay, chi tiết khác:

Trắc nghiệm Bài 6: Dao động tắt dần. Dao động cưỡng bức. Hiện tượng cộng hưởng

Trắc nghiệm Bài 7: Bài tập về sự chuyển hoá năng lượng trong dao động điều hoà

Trắc nghiệm Bài 8: Mô tả sóng

Trắc nghiệm Bài 9: Sóng ngang. Sóng dọc. Sự truyền năng lượng của sóng cơ

Trắc nghiệm Bài 11: Sóng điện từ

Tags : Tags Trắc nghiệm Vật Lí 11
Share
facebookShare on Facebook

Bài liên quan

Giải SGK Vật lí 11 Bài 15 (Kết nối tri thức): Thực hành: Đo tốc độ truyền âm

Giải SBT Vật lí 11 Bài 6 (Kết nối tri thức): Dao động tắt dần. Dao động cưỡng bức. Hiện tượng cộng hưởng

Giải SBT Vật lí 11 Bài 23 (Kết nối tri thức): Điện trở. Định luật Ôm

20 câu Trắc nghiệm Bài tập về dao động điều hoà (Kết nối tri thức 2025) có đáp án – Vật lí lớp 11

20 câu Trắc nghiệm Điện trở. Định luật Ôm (Kết nối tri thức 2025) có đáp án – Vật lí lớp 11

Giải SGK Vật lí 11 Bài 16 (Kết nối tri thức): Lực tương tác giữa hai điện tích

Giải SBT Vật lí 11 (Kết nối tri thức) Bài tập cuối chương 1 trang 14

Giải SBT Vật lí 11 Bài 24 (Kết nối tri thức): Nguồn điện

0 Góp ý
Phản hồi nội tuyến
Xem tất cả bình luận

Mục lục

  1. Giải SGK Vật lí 11 Bài 1 (Kết nối tri thức): Dao động điều hòa
  2. Giải SGK Vật lí 11 Bài 2 (Kết nối tri thức): Mô tả dao động điều hoà
  3. Giải SGK Vật lí 11 Bài 3 (Kết nối tri thức): Vận tốc, gia tốc trong dao động điều hoà
  4. Giải SGK Vật lí 11 Bài 4 (Kết nối tri thức): Bài tập về dao động điều hoà
  5. Giải SGK Vật lí 11 Bài 5 (Kết nối tri thức): Động năng. Thế năng. Sự chuyển hóa năng lượng trong dao động điều hòa
  6. Giải SGK Vật lí 11 Bài 6 (Kết nối tri thức): Dao động tắt dần. Dao động cưỡng bức. Hiện tượng cộng hưởng
  7. Giải SGK Vật lí 11 Bài 7 (Kết nối tri thức): Bài tập về sự chuyển hóa năng lượng trong dao động điều hòa
  8. Giải SGK Vật lí 11 Bài 8 (Kết nối tri thức): Mô tả sóng
  9. Giải SGK Vật lí 11 Bài 9 (Kết nối tri thức): Sóng ngang. Sóng dọc. Sự truyền năng lượng của sóng cơ
  10. Giải SGK Vật lí 11 Bài 10 (Kết nối tri thức): Thực hành: Đo tần số của sóng âm
  11. Giải SGK Vật lí 11 Bài 11 (Kết nối tri thức): Sóng điện từ
  12. Giải SGK Vật lí 11 Bài 12 (Kết nối tri thức): Giao thoa sóng
  13. Giải SGK Vật lí 11 Bài 13 (Kết nối tri thức): Sóng dừng
  14. Giải SGK Vật lí 11 Bài 14 (Kết nối tri thức): Bài tập về sóng
  15. Giải SGK Vật lí 11 Bài 15 (Kết nối tri thức): Thực hành: Đo tốc độ truyền âm
  16. Giải SGK Vật lí 11 Bài 16 (Kết nối tri thức): Lực tương tác giữa hai điện tích
  17. Giải SGK Vật lí 11 Bài 17 (Kết nối tri thức): Khái niệm điện trường
  18. Giải SGK Vật lí 11 Bài 18 (Kết nối tri thức): Điện trường đều
  19. Giải SGK Vật lí 11 Bài 19 (Kết nối tri thức): Thế năng điện
  20. Giải SGK Vật lí 11 Bài 20 (Kết nối tri thức): Điện thế

Copyright © 2026 Học tập lớp 12 - Sách Toán - Học Tập AI
  • Sitemap
  • Chính sách
  • Giới thiệu
  • Hướng dẫn
  • Kết quả
  • Liên hệ
Back to Top
Menu
  • Sitemap
  • Chính sách
  • Giới thiệu
  • Hướng dẫn
  • Kết quả
  • Liên hệ
wpDiscuz