Giải bài tập Toán lớp 6 Bài 10: Số nguyên tố
Video giải Toán 6 Bài 10: Số nguyên tố – Kết nối tri thức
Trả lời câu hỏi giữa bài
Giải Toán lớp 6 trang 38 Tập 1
Mở đầu trang 38 Toán lớp 6 Tập 1: Mẹ mua một bó hoa có 11 bông hoa hồng. Bạn Mai giúp mẹ cắm các bông hoa này vào các lọ nhỏ sao cho số bông hoa trong mỗi lọ nhỏ là như nhau. Mai nhận thấy không thể cắm đều số bông hoa này vào các lọ hoa (mỗi lọ có nhiều hơn một bông) cho dù số lọ hoa là 2; 3; 4; 5;… Nhưng nếu bỏ ra một bông còn 10 bông thì lại cắm đều được vào 2 lọ, mỗi lọ co 5 bông hoa.
Vậy số 11 và số 10 có gì khác nhau, điều này có liên quan gì đến số các ước của chúng không?
Lời giải:
Ta có: Các ước của 11 là: 1; 11
Các ước của 10 là: 1; 2; 5; 10
Do đó ta thấy số 11 chỉ có hai ước là 1 và chính nó, còn số 10 thì có nhiều hơn 2 ước (cụ thể ở đây là 4 ước số tự nhiên).
Qua bài học này, ta sẽ biết được hai số 11 và 10 là khác nhau. Số 11 gọi là số nguyên tố và số 10 gọi là hợp số.
Hoạt động 1 trang 38 Toán lớp 6 Tập 1: Tìm các ước và số ước của các số trong bảng 2.1

Lời giải:
|
Số |
Các ước |
Số ước |
|
2 |
1, 2 |
2 |
|
3 |
1, 3 |
2 |
|
4 |
1, 2, 4 |
3 |
|
5 |
1, 5 |
2 |
|
6 |
1, 2, 3, 6 |
4 |
|
7 |
1, 7 |
2 |
|
8 |
1, 2, 4, 8 |
4 |
|
9 |
1, 3, 9 |
3 |
|
10 |
1, 2, 5, 10 |
4 |
|
11 |
1, 11 |
2 |
Hoạt động 2 trang 38 Toán lớp 6 Tập 1: Hãy chia các số cho trong bảng 2.1 thành hai nhóm: nhóm A gồm các số chỉ có hai ước, nhóm B gồm các số có nhiều hơn hai ước.
Lời giải:
Từ bảng 2.1 hoàn thành trên, ta có bảng sau:
|
Nhóm A gồm các số chỉ có hai ước: |
2, 3, 5, 7, 11 |
|
Nhóm B gồm các số có nhiều hơn hai ước: |
4, 6, 8, 9, 10 |
Hoạt động 3 trang 38 Toán lớp 6 Tập 1: Suy nghĩ và trả lời câu hỏi:
a) Số 1 có bao nhiêu ước?
b) Số 0 có chia hết cho 2; 5; 7; 2 017; 2 018 không? Em có nhận xét gì về số ước của 0?
Lời giải:
a) Số 1 có 1 ước đó chính là 1.
b) Số 0 chia hết cho 2; 5; 7; 2 017; 2 018 vì số 0 chia cho số nào khác 0 cũng bằng 0.
Do đó số 0 có vô số ước.
Giải Toán lớp 6 trang 39 Tập 1
Luyện tập 1 trang 39 Toán lớp 6 Tập 1: Em hãy tìm nhà thích hợp cho các số trong bảng 2.1

Lời giải:
+) Với nhà màu vàng là số nguyên tố: 11, 2, 3, 5, 7.
+) Với nhà màu hồng là hợp số: 10, 4, 6, 8, 9.
Luyện tập 2 trang 39 Toán lớp 6 Tập 1: Trong các số dưới đây, số nào là số nguyên tố, số nào là hợp số? Vì sao?
a) 1 930
b) 23.
Lời giải:
a) Số 1 930 có tận cùng là 0 nên nó chia hết cho 2 và 5. Do đó, ngoài hai ước là 1 và 1 930 nó còn có thêm ước là 2 và 5.
Vậy 1 930 là hợp số.
b) Số 23 chỉ có hai ước là 1 và 23 nên nó là số nguyên tố.
Thử thách nhỏ trang 39 Toán lớp 6 Tập 1: Bạn Hà đang ở ô tìm đường đến phòng chiếu phim. Biết rằng chỉ có thể đi từ một ô sang ô chung cạnh có chứa số nguyên tố. Em hãy giúp Hà đến được phòng chiếu phim nhé.

Lời giải:
Ta có thể tra bảng số nguyên tố số tự nhiên nhỏ hơn 1 000

+) Với bước đi đầu tiên thì Hà chỉ có thể đi theo 2 cách là: Ô 5 hoặc ô 7 vì cả 2 số đều là số nguyên tố.
Vậy Hà sẽ có thể đi như sau:
Cách 1: Hà → 7 → 19 → 13 → 11 → 23 → 29 → 31 → 41 → 17 → 2 (phòng chiếu phim)
Cách 2: Hà → 5 → 19 → 13 → 11 → 23 → 29 → 31 → 41 → 17 → 2 (phòng chiếu phim)
Giải Toán lớp 6 trang 40 Tập 1
Câu hỏi 1 trang 40 Toán lớp 6 Tập 1: Bạn Việt phân tích số 60 ra thừa số nguyên tố và cho kết quả 60 = 3 . 4. 5. Kết quả của Việt đúng hay sai? Nếu sai, em hãy sửa lại cho đúng.
Lời giải:
Vì 4 có 3 ước là: 1, 2, 4 nên 4 là hợp số.
Do đó trong phân tích 60 ra thừa số nguyên tố bạn Việt cho kết quả 60 = 3 . 4. 5 là sai.
Sửa lại kết quả đúng là:
60 = 2 . 2 . 3. 5 = 22.3.5
Tranh luận trang 40 Toán lớp 6 Tập 1: Bạn nào đúng nhỉ?

Lời giải:
Vì người ta đã quy ước dạng phân tích ra thừa số nguyên tố của một số nguyên tố là chính nó.
Mà 7 chỉ có hai ước là 1 và 7. Do đó 7 là số nguyên tố nên số 7 phân tích ra thừa số nguyên tố là 7.
Vậy bạn Vuông xanh đúng.
Câu hỏi 2 trang 40 Toán lớp 6 Tập 1: Tìm các số còn thiếu trong phân tích số 18 ra thừa số nguyên tố theo sơ đồ cây ở hình 2.3

Lời giải:
+) Vì 18 = 3 x 6 nên ở
đầu tiên từ trên xuống là 6
+) Vì 6 = 2 x 3 nên ở
cuối cùng là 3
Vậy:

Giải Toán lớp 6 trang 41 Tập 1
Câu hỏi 3 trang 41 Toán lớp 6 Tập 1: Tìm các số còn thiếu trong phân tích số 30 ra thừa số nguyên tố theo sơ đồ cột ở hình bên

Lời giải:
+) Vì 30 : 2 = 15 nên ở
đầu tiên từ trên xuống là 15
+) Vì 5 :
= 1
= 5 : 1 = 5 nên
cuối cùng là 5

Luyện tập 3 trang 41 Toán lớp 6 Tập 1: Phân tích các số sau ra thừa số nguyên tố theo sơ đồ cột:
a) 36
b) 105
Lời giải:
a) 36

Vậy 36 = 22.32
b) 105

Vậy 105 = 3.5.7.
Bài tập
Bài 2.17 trang 41 Toán lớp 6 Tập 1: Phân tích các số sau ra thừa số nguyên tố: 70, 115.
Lời giải:
+) 70

Vậy 70 = 2.5.7
+) 115

Vậy 115 = 5.23
Bài 2.18 trang 41 Toán lớp 6 Tập 1: Kết quả phân tích các số 120, 102 ra thừa số nguyên tố của Nam như sau:
120 = 2.3.4.5 ; 102 = 2.51
Theo em, kết quả của Nam đúng hay sai?
Nếu sai, em hãy sửa lại cho đúng.
Lời giải:
+) Với cách phân tích 120 = 2.3.4.5 ta thấy 4 là hợp số vì có 3 ước là: 1, 2, 4 nên kết quả của Nam là sai.
Sửa lại: 120 = 2 . 2 . 2 . 3 . 5 = 23.3.5
+) Với cách phân tích 102 = 2.51 ta thấy 51 là hợp số vì có 4 ước là: 1, 3, 17, 51 nên kết quả của Nam là sai.
Sửa lại: 102 = 2 . 3 . 17
Bài 2.19 trang 41 Toán lớp 6 Tập 1: Các khẳng định sau đúng hay sai? Vì sao?
a) Ước nguyên tố của 30 là 5 và 6
b) Tích của hai số nguyên bất kì luôn là số lẻ
c) Ước nguyên tố nhỏ nhất của số chẵn là 2
d) Mọi bội của 3 đều là hợp số
e) Mọi số chẵn đều là hợp số.
Lời giải:
a) Sai. Vì số 6 có 4 ước là 1; 2; 3; 6 nên 6 là hợp số.
b) Sai. Vì ví dụ hai số nguyên bất kì là: 2 và 3 nhưng tích 2 . 3 = 6 là số chẵn
c) Đúng. Vì 2 là số nguyên tố nhỏ nhất và là số chẵn duy nhất
d) Sai. Vì 3 là bội của 3 nhưng 3 là số nguyên tố
e) Sai. Vì 2 là số chẵn nhưng 2 là số nguyên tố.
Giải Toán lớp 6 trang 42 Tập 1
Bài 2.20 trang 42 Toán lớp 6 Tập 1: Kiểm tra xem các số sau là hợp số hay số nguyên tố bằng cách dùng dấu hiệu của chia hết hoặc tra bảng số nguyên tố:
89 ; 97 ; 125 ; 541 ; 2 013 ; 2 018
Lời giải:
+) Vì 89 chỉ có 2 ước là 1 và 89 nên 89 là số nguyên tố
+) Vì 97 chỉ có 2 ước là 1 và 97 nên 97 là số nguyên tố
+) Vì 125 có tận cùng là 5 nên 125 5, nên ngoài 2 ước là 1 và 125 còn có thêm ước là 5. Do đó 125 là hợp số.
+) Vì 541 chỉ có 2 ước là 1 và 541 nên 541 là số nguyên tố
+) Vì 2 013 có tổng các chữ số là 2 + 0 + 1 + 3 = 6 3; nên 2 013 3, vì thế ngoài 2 ước là 1 và 2 013 còn có thêm ước là 3. Do đó 2 013 là hợp số.
+) Vì 2 018 có chữ số tận cùng là 8 nên 2018 2 vì thế ngoài 2 ước là 1 và 2 018 còn có thêm ước là 2. Do đó 2 018 là hợp số.
Vậy: Các số nguyên tố là: 89 ; 97 ; 541
Các hợp số là: 125 ; 2 013; 2 018.
Bài 2.21 trang 42 Toán lớp 6 Tập 1: Hãy phân tích A ra thừa số nguyên tố: A = 44.95
Lời giải:
A = 44.95

Bài 2.22 trang 42 Toán lớp 6 Tập 1: Tìm các số còn thiếu trong các sơ đồ phân tích một số ra thừa số nguyên tố sau:
a)

b)

Lời giải:
a)
+) Ta có 210 : 2 = 105
105 : 3 = 35
35 : 5 = 7
7 : 7 = 1
Vậy:

b)
+) Ta có: 5 x 7 = 35
35 x 3 = 105
105 x 6 = 6
Vậy:

Bài 2.23 trang 42 Toán lớp 6 Tập 1: Một lớp có 30 học sinh. Cô giáo muốn chia lớp thành các nhóm để thực hiện các dự án học tập nhỏ. Biết rằng, các nhóm đều có số người bằng nhau và có nhiều hơn 1 người trong mỗi nhóm. Hỏi mỗi nhóm có thể có bao nhiêu người?
Lời giải:
Phân tích 30 ra thừa số nguyên tố ta được: 30 = 2.3.5
Vì cô giáo muốn chia lớp 30 học sinh thành các nhóm nên số nhóm là ước của 30
Ư(30) = { 1; 2; 3; 5; 6; 10; 15; 30}
Ta có bảng sau:
|
Số nhóm |
Số người một nhóm |
|
1 |
30 : 1 = 30 |
|
2 |
30 : 2 = 15 |
|
3 |
30 : 3 = 10 |
|
5 |
30 : 5 = 6 |
|
6 |
30 : 6 = 5 |
|
10 |
30 : 10 = 3 |
|
15 |
30 : 15 = 2 |
|
30 |
30 : 30 = 1 |
Do mỗi nhóm có nhiều hơn 1 người nên số người trong một nhóm là 2; 3; 5; 6; 10; 15; 30
Vậy mỗi nhóm có thể có 2; 3; 5; 6; 10; 15 hoặc 30 người.
Bài 2.24 trang 42 Toán lớp 6 Tập 1: Trong nghi lễ thượng cờ lúc 6 giờ sáng và hạ cờ lúc 21 giờ hàng ngày ở Quảng trường Ba Đình, đội tiêu binh có 34 người gồm 1 sĩ quan chỉ huy đứng đầu và 33 chiến sĩ. Hỏi có bao nhiêu cách sắp xếp 33 chiến sĩ thành các hàng, sao cho mỗi hàng có số người như nhau?
Lời giải:
Ta có: 33 = 3 . 11
Vì xếp 33 chiến sĩ thành các hàng thì số hàng là ước của 33
Ư(33) = {1; 3; 11; 33}
Với số hàng là 1 thì số người mỗi hàng là: 33 : 1 = 33 (người)
Với số hàng là 3 thì số người mỗi hàng là: 33 : 3 = 11 (người)
Với số hàng là 11 thì số người mỗi hàng là: 33 : 11 = 3 (người)
Với số hàng là 33 thì số người mỗi hàng là: 33 : 33 = 1 (người)
Vậy có 4 cách cách sắp xếp 33 chiến sĩ thành các hàng.
Lý thuyết Số nguyên tố
1. Số nguyên tố và hợp số
– Số nguyên tố là số tự nhiên lớn hơn 1, chỉ có hai ước là 1 và chính nó.
– Hợp số là số tự nhiên lơn hơn 1, có nhiều hơn hai ước.
Ví dụ 1. Trong các số đã cho dưới đây, số nào là số nguyên tố, số nào là hợp số? Vì sao?
190; 11; 132; 23; 43; 17; 21.
Lời giải
Ta thấy 190 có các ước là 1, 2, 5, 190 nhiều hơn hai ước nên 190 là hợp số;
11 chỉ có ước là 1 và 11 nên 11 là số nguyên tố;
132 có các ước là 1; 2; 132 nhiều hơn hai ước nên 132 là hợp số;
23 chỉ có ước là 1 và 23 nên 23 là số nguyên tố;
43 chỉ có ước là 1 và 43 nên 43 là số nguyên tố;
17 chỉ có ước là 1 và 17 nên 17 là số nguyên tố;
21 có các ước là 1; 3; 7; 21 nhiều hơn hai ước nên 21 là hợp số.
2. Phân tích một số ra thừa số nguyên tố
Mọi số đều có thể phân tích ra tích của các thừa số nguyên tố
Cách phân tích một số ra thừa số nguyên tố:
+) Phương pháp phân tích bằng sơ đồ cây
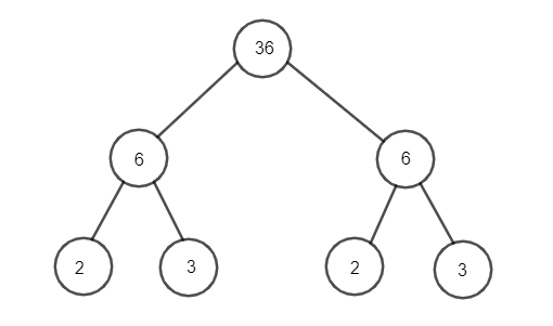
Ví dụ 2. Phân tích 36 ra tích các thừa số nguyên tố bằng sơ đồ cây:
Lời giải

Vậy 36 = 22.32.
+) Phương pháp phân tích bằng sơ đồ cột
Ví dụ 3. Phân tích 36 ra tích các thừa số nguyên tố bằng sơ đồ cột:
|
36 18 9 3 1 |
2 2 3 3 |
Vậy 36 = 22.32.
Bài giảng Toán 6 Bài 10: Số nguyên tố – Kết nối tri thức
Xem thêm các bài giải SGK Toán lớp 6 Kết nối tri thức hay, chi tiết khác:
Bài 9: Dấu hiệu chia hết
Luyện tập chung trang 43
Bài 11: Ước chung. Ước chung lớn nhất
Bài 12: Bội chung. Bội chung nhỏ nhất