Giải bài tập Toán lớp 6 Bài 12: Bội chung. Bội chung nhỏ nhất
Video giải Toán 6 Bài 12: Bội chung. Bội chung nhỏ nhất – Kết nối tri thức
Trả lời câu hỏi giữa bài
Giải Toán lớp 6 trang 49 Tập 1
Hoạt động 1 trang 49 Toán lớp 6 Tập 1: Tìm các tập hợp B(6), B(9).
Lời giải:
+) Nhân lần lượt 6 với các số 0; 1; 2; 3; 4; 5; 6; 7;… ta được: 0; 6; 12; 18; 24; 30; 36; 42; 48; 54;…
Do đó: B(6) = {0; 6; 12; 18; 24; 30; 36; 42, 48; 54, …}
+) Nhân lần lượt 9 với các số 0; 1; 2; 3; 4; 5; 6; 7;… ta được: 0; 9; 18; 27; 36; 45; 54; 63, …
Do đó: B(9) = {0; 9; 18; 27; 36; 45; 54; 63, …}
Hoạt động 2 trang 49 Toán lớp 6 Tập 1: Gọi BC(6, 9) là tập hợp các số vừa là bội của 6, vừa là bội của 9. Hãy viết tập BC(6, 9).
Lời giải:
Ta có: B(6) = {0; 6; 12; 18; 24; 30; 36; 42, 48; 54, …}
B(9) = {0; 9; 18; 27; 36; 45; 54; 63, …}
Các số vừa là bội của 6, vừa là bội của 9 là: 0; 18; 36; 54; ….
Do đó: BC(6; 9) = {0; 18; 36; 54, …}.
Hoạt động 3 trang 49 Toán lớp 6 Tập 1: Tìm số nhỏ nhất khác 0 trong tập BC(6; 9).
Lời giải:
Ta có: BC(6; 9) = {0; 18; 36; 54, …}
Số nhỏ nhất khác 0 trong tập BC(6; 9) là 18.
Giải Toán lớp 6 trang 50 Tập 1
Câu hỏi 1 trang 50 Toán lớp 6 Tập 1: Tìm BCNN(36, 9).
Lời giải:
Vì 36 9 nên BCNN(36, 9) = 36.
Luyện tập 1 trang 50 Toán lớp 6 Tập 1: Tìm bội chung nhỏ nhất của:
a) 6 và 8;
b) 8; 9; 72.
Lời giải:
a) Ta có: B(6) = {0; 6; 12; 18; 24; 30; 36; 42; 48…}
B(8) = {0; 16; 24; 32; 40; 48; 56;…}
Các số 0; 24; 48; … vừa là bội của 6, vừa là bội của 8 nên
BC(6,8) = {0; 24; 48;…}.
Số nhỏ nhất khác 0 trong tập hợp các bội chung của 6 và 8 là 24 nên
BCNN(6, 8) = 24.
b) Vì 72 8 và 72 9 nên BCNN(8, 9, 72) = 72.
Vận dụng trang 50 Toán lớp 6 Tập 1: Có hai chiếc máy A và B. Lịch bảo dưỡng định kì đối với máy A là 6 tháng và đối với máy B là 9 tháng. Hai máy vừa cùng được bảo dưỡng vào tháng 5. Hỏi sau ít nhất bao nhiêu tháng nữa thì hai máy lại được bảo dưỡng trong cùng một tháng?
Lời giải:
Vì sau ít nhất một số tháng nữa thì hai máy lại được bảo dưỡng trong cùng một tháng nên số tháng cần tìm chính là BCNN(6; 9)
Ta có: B(6) = {0; 6; 12; 18; 24; 30; 36; 42; 48…}
B(9) = {0; 9; 18; 27; 36; 45; 54; 63;…}
Các số 0; 18; 36; 54; … vừa là bội của 6, vừa là bội của 9 nên
BC(6,9) = {0; 18; 36; 54;…}.
Số nhỏ nhất khác 0 trong tập hợp các bội chung của 6 và 9 là 18 nên
BCNN(6, 9) = 18.
Tháng bảo dưỡng lần tiếp theo là tháng 11 năm sau
Vậy sau ít nhất 18 tháng nữa thì hai máy được bảo dưỡng cùng một tháng.
Giải Toán lớp 6 trang 51 Tập 1
Câu hỏi 2 trang 51 Toán lớp 6 Tập 1: Tìm bội chung nhỏ nhất của 9 và 15, biết: 9 = 32 và 15 = 3.5.
Lời giải:
Ta có: 9 = 32; 15 = 3.5.
+) Thừa số nguyên tố chung là 3 và riêng là 5.
+) Số mũ lớn nhất của 3 là 2, số mũ lớn nhất của 5 là 1
Khi đó BCNN(9, 15) =32. 5 = 45.
Giải Toán lớp 6 trang 52 Tập 1
Luyện tập 2 trang 52 Toán lớp 6 Tập 1: Tìm bội chung nhỏ nhất của 15 và 54. Từ đó, hãy tìm các bội chung nhỏ hơn 1 000 của 15 và 54.
Lời giải:
+) Phân tích 15 và 54 ra thừa số nguyên tố: 15 = 3. 5 ; 54 = 2. 33
+) Ta thấy thừa số nguyên tố chung là 3 và thừa số nguyên tố riêng là 2 và 5
+) Số mũ lớn nhất của 2 là 1, số mũ lớn nhất của 3 là 3, số mũ lớn nhất của 5 là 1
Khi đó: BCNN(15; 54) = 2.33.5 = 270
Do đó BC(15; 54) = B(270) = {0; 270; 540; 810; 1080; …} nên bội chung nhỏ hơn 1000 của 15 và 54 là 0; 270; 540; 810.
Thử thách nhỏ trang 52 Toán lớp 6 Tập 1: Lịch xuất bến của một số xe buýt tại bến xe Mỹ Đình (Hà Nội) được ghi ở bảng bên. Giả sử các xe buýt xuất bến cùng lúc vào 10 giờ 35 phút. Hỏi vào các thời điểm nào trong ngày (từ 10 giờ 35 phút đến 22 giờ) các xe buýt này lại xuất bến cùng một lúc?
|
Bến xe Mỹ Đình |
|
|
Số xe |
Thời gian |
|
Xe 16 |
15 phút/chuyến |
|
Xe 34 |
9 phút/chuyến |
|
Xe 30 |
10 phút/chuyến |
Lời giải:
Ta có: 9 = 32 ; 10 = 2. 5 15 = 3.5.
Thừa số nguyên tố chung là 3 và riêng là 2 và 5.
Số mũ lớn nhất của 3 là 1, số mũ lớn nhất của 3 là 2, số mũ lớn nhất của 5 là 1
Khi đó BCNN(9, 10, 15) = 2.32. 5 = 90.
Do đó cứ sau 90 phút thì ba xe lại xuất bến cùng một lúc.
Đổi 90 phút = 1 giờ 30 phút
Từ 10 giờ 35 phút thì sau 10 giờ 35 phút + 1 giờ 30 phút = 12 giờ 05 phút các xe xuất bến cùng một lúc
Tương tự như vậy thì 10 giờ 35 phút đến 22 giờ các xe xuất bến cùng một lúc vào các giờ: 12 giờ 05 phút; 13 giờ 35 phút; 15 giờ 05 phút; 16 giờ 35 phút; 18 giờ 05 phút;
19 giờ 35 phút; 21 giờ 05 phút.
Câu hỏi 3 trang 52 Toán lớp 6 Tập 1: Quy đồng mẫu hai phân số: 
Lời giải:
Ta có: 9 = 32; 15 = 3. 5 nên BCNN(9, 15) = 32.5 = 45.
Ta có thể lấy mẫu chung của hai phân số trên là 45. Do đó:

Giải Toán lớp 6 trang 53 Tập 1
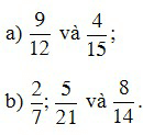
Luyện tập 3 trang 53 Toán lớp 6 Tập 1: (1) Quy đồng mẫu các phân số sau:
a)
b) 
(2) Thực hiện các phép tính sau:
a)
b) 
Lời giải:
(1) a) 
Ta có: 12 = 22.3; 15 = 3. 5 nên BCNN(12, 15) = 22.3.5 = 60
Ta có thể lấy mẫu chung của hai phân số trên là 60. Do đó:

b)
Ta có: 7 = 7; 9 = 32; 12 = 22.3 nên BCNN(7, 9, 12) = 22.32.7 = 252. Ta có thể lấy mẫu chung của hai phân số trên là 252

(2) a) 
Vì 24 8 nên BCNN(8, 24) = 24. Do đó ta có thể lấy mẫu chung của hai phân số là 24 và:

b)
;
Ta có: 16 = 24; 12 = 22.3 nên BCNN(16, 12) = 24.3 = 48. Do đó ta có thể lấy mẫu chung của hai phân số là 48

Bài tập
Bài 2.36 trang 53 Toán lớp 6 Tập 1: Tìm bội chung nhỏ hơn 200 của
a) 5 và 7;
b) 3, 4 và 10.
Lời giải:
a) Ta có BCNN(5; 7) = 5. 7 = 35 nên
BC(5; 7) = B(35) = {0; 35; 70; 105; 140; 175; 210; …}
Vì bội chung nhỏ hơn 200 nên bội chung của 5 và 7 là: 0; 35; 70; 105; 140; 175
Vậy bội chung nhỏ hơn 200 của 5 và 7 là: 0; 35; 70; 105; 140; 175.
b) Ta có: 3 = 3; 4 = 22 10 = 2. 5.
Thừa số nguyên tố chung là 2 và riêng là 3 và 5.
Số mũ lớn nhất của 2 là 2, số mũ lớn nhất của 3 là 1, số mũ lớn nhất của 5 là 1
Khi đó BCNN(3, 4, 10) = 22.3.5 = 60.
BC(3; 4; 10) = B(60) = {0; 60; 120; 180; 240; …}
Vì bội chung nhỏ hơn 200 nên bội chung của 3, 4 và 10 là 0; 60; 120; 180
Vậy bội chung nhỏ hơn 200 của 3, 4 và 10 là 0; 60; 120; 180.
Bài 2.37 trang 53 Toán lớp 6 Tập 1: Tìm BCNN của:
a) 2.33 và 3.5
b) 2.5.72 và 3.52.7
Lời giải:
a) 2.33 và 3.5
+) Ta thấy các thừa số nguyên tố chung là 3 và thừa số nguyên tố riêng là 1 và 5
+) Số mũ lớn nhất của 2 là 1, số mũ lớn nhất của 3 là 3, số mũ lớn nhất của 5 là 1
Vậy BCNN cần tìm là 2.33.5 = 270.
b) 2.5.72 và 3.52.7
+) Ta thấy các thừa số nguyên tố chung là 5 và 7; thừa số nguyên tố riêng là 2 và 3
+) Số mũ lớn nhất của 2 là 1, số mũ lớn nhất của 3 là 1, số mũ lớn nhất của 5 là 2, số mũ lớn nhất của 7 là 2
Vậy BCNN cần tìm là 2.3.52.72 = 7 350.
Bài 2.38 trang 53 Toán lớp 6 Tập 1: Tìm BCNN của các số sau:
a) 30 và 45;
b) 18, 27 và 45.
Lời giải:
a) 30 và 45
+) Phân tích các số ra thừa số nguyên tố:
30 = 2.3.5; 45 = 32.5
+) Ta thấy thừa số nguyên tố chung là 3 và 5; thừa số nguyên tố riêng là 2
+) Số mũ lớn nhất của 2 là 1, số mũ lớn nhất của 3 là 2, số mũ lớn nhất của 5 là 1
Vậy BCNN(30; 45) = 2.32.5 = 90.
b) 18, 27 và 45
+) Phân tích các số ra thừa số nguyên tố:
18 = 2.32 ; 27 = 33 ; 45 = 32.5
+) Ta thấy thừa số nguyên tố chung là 3; thừa số nguyên tố riêng là 2 và 5
+) Số mũ lớn nhất của 2 là 1, số mũ lớn nhất của 3 là 3, số mũ lớn nhất của 5 là 1
Vậy BCNN(30; 45) = 2.33.5 = 270.
Bài 2.39 trang 53 Toán lớp 6 Tập 1: Tìm số tự nhiên a nhỏ nhất khác 0 biết rằng a ⋮ 28 và a ⋮ 32
Lời giải:
Số tự nhiên a nhỏ nhất khác 0 và a ⋮ 28 và a ⋮ 32
Do đó a là BCNN(28; 32)
+) Phân tích các số ra thừa số nguyên tố:
28 = 22.7; 32 = 25
+) Ta thấy thừa số nguyên tố chung là 2; thừa số nguyên tố riêng là 7
+) Số mũ lớn nhất của 2 là 5, số mũ lớn nhất của 7 là 1
nên a = BCNN(28; 32) = 25.7 = 224
Vậy số tự nhiên a cần tìm là 224.
Bài 2.40 trang 53 Toán lớp 6 Tập 1: Học sinh lớp 6A khi xếp thành 3 hàng, 4 hàng hay 9 hàng đều vừa đủ. Biết số học sinh của lớp từ 30 đến 40. Tính số học sinh của lớp 6A
Lời giải:
Học sinh lớp 6A khi xếp thành 3 hàng, 4 hàng hay 9 hàng đều vừa đủ.
Nên số học sinh của lớp 6A là BC(3; 4; 9)
Ta có: 3 = 3; 4 = 22; 9 = 32
Ta thấy thừa số nguyên tố riêng là 2 và 3, không có thừa số nguyên tố chung
Số mũ lớn nhất của 2 là 2, số mũ lớn nhất của 3 là 2
Khi đó: BCNN(3; 4; 9) = 22.32 = 36
Do đó BC(3; 4; 9) = B(36) = {0; 36; 72; …}
Mà số học sinh lớp 6A từ 30 đến 40 nên số học sinh lớp 6A là 36.
Vậy số học sinh lớp 6A là 36 học sinh.
Bài 2.41 trang 53 Toán lớp 6 Tập 1: Hai đội công nhân trồng được một số cây như nhau. Mỗi công nhân đội I đã trồng 8 cây, mỗi công nhân đội II đã trồng 11 cây. Tính số cây mỗi đội đã trồng, biết rằng số cây đó trong khoảng từ 100 đến 200 cây.
Lời giải:
Vì số cây hai đội trồng được như nhau mà mỗi công nhân đội I đã trồng 8 cây, mỗi công nhân đội II đã trồng 11 cây.
Nên số cây mỗi đội trồng được là BC(8; 11)
BCNN(8; 11) = 8 . 11 = 88
Do đó số cây mỗi đội trồng là BC(8; 11) = B(88) ={0; 88; 176; 264; …}
Mà số cây trong khoảng từ 100 đến 200 nên số cây mỗi đội trồng được là 176 cây.
Vậy số cây mỗi đội đã trồng là 176 cây.
Bài 2.42 trang 53 Toán lớp 6 Tập 1: Cứ 2 ngày, Hà đi dạo cùng bạn cún đáng yêu của mình. Cứ 7 ngày, Hà lại tắm cho cún. Hôm nay, cún vừa được đi dạo, vừa được tắm. Hỏi sau ít nhất bao nhiêu ngày nữa thì cún vừa được đi dạo, vừa được tắm?
Lời giải:
Số ngày ít nhất mà cún vừa được đi dạo, vừa được tắm là BCNN(2, 7)
BCNN(2, 7) = 2.7 = 14
Vậy sau ít nhất 14 ngày thì cún vừa được đi dạo, vừa được tắm.
Bài 2.43 trang 53 Toán lớp 6 Tập 1: Quy đồng mẫu các phân số sau:
a) 
b) 
Lời giải:
a) Ta có: 12.22.3; nên BCNN(12, 15) = 22.3.5 = 60. Do đó ta có thể chọn mẫu chung là 60.

b) Ta có: 10 = 2.5; 4 = 22; 14 = 2. 7 nên BCNN(10, 4, 14) = 22.5.7 = 140. Do đó ta có thể chọn mẫu chung là 140

Bài 2.44 trang 53 Toán lớp 6 Tập 1: Thực hiện các phép tính sau:
a)
b)
Lời giải:
a) Ta có: 11 = 11; 7 = 7 nên BCNN(11, 7) = 11.7 = 77. Ta có thể chọn mẫu chung là 77.

b) Ta có: 20 = 22.5; 15 =3.5 nên BCNN(20,15) = 22.3.5 = 60. Ta có thể chọn mẫu chung là 60.

Lý thuyết Bội chung. Bội chung nhỏ nhất
1. Bội chung và bội chung nhỏ nhất
Bội chung của hai hay nhiều số là bội của tất cả các số đã cho.
Bội chung nhỏ nhất của hai hay nhiều số là số nhỏ nhất khác 0 trong tập hợp các bội chung của các số đó.
Kí hiệu:
BC(a, b) là tập hợp các bội chung của a và b.
BCNN(a, b) là bội chung nhỏ nhất của a và b.
Ví dụ 1. Tìm bội chung và bội chung nhỏ nhất của 30 và 45
Lời giải
Ta có B(30) = {0; 30; 60; 90; 120; 150; 180; 210; 240; 270; …}
B(45) = {0; 45; 90; 135; 180; 225; 270; …}
BC(30, 45) = {0; 90; 180; 270; …}.
BCNN(30, 45) = 90.
Nhận xét: Trong các số đã cho, nếu số lớn nhất là bội của các số còn lại thì BCNN của các số đã cho chính là số lớn nhất đó.
Nếu a
b thì BCNN(a, b) = a.
Mọi số tự nhiên đều là bội của 1. Do đó với mọi số tự nhiên a và b (khác 0), ta có:
BCNN(a, 1) = a; BCNN(a, b, 1) = BCNN(a, b).
Ví dụ 2. Tìm bội chung nhỏ nhất của các số sau:
a) 12 và 36;
b) 124 và 1.
Lời giải
a) Vì 36
12 nên BCNN(12, 36) = 36;
b) Vì 124 là bội của 1 nên BCNN(1; 124) = 124.
2. Cách tìm bội chung nhỏ nhất
Các bước tìm BCNN của hai hay nhiều số lớn hơn 1:
Bước 1. Phân tích mỗi số ra thừa số nguyên tố;
Bước 2. Chọn ra các thừa số nguyên tố chung và riêng;
Bước 3. Lập tích các thừa số đã chọn, mỗi thừa số lấy với số mũ lớn nhất. Tích đó là BCNN cần tìm.
Ví dụ 3. Tìm bội chung nhỏ nhất của 21 và 14.
Lời giải
Ta có 21 = 3.7; 14 = 2.7.
Khi đó BCNN(21, 14) = 2.3.7 = 42.
Tìm bội chung từ bội chung nhỏ nhất
Để tìm bội chung của các số đã cho ta có thể làm như sau:
Bước 1. Tìm BCNN của các số đã cho.
Bước 2. Tìm các bội của BCNN đó.
Ví dụ 4. Tìm BC(12, 24, 30)
Lời giải
Ta có: 12 = 22.3; 24 = 23.3; 30 = 2.3.5.
BCNN(12, 24, 30) = 23.3.5 = 120.
BC(12, 24, 30) = B(120) = {0; 120; 240; 360; 480; …}.
3. Quy đồng mẫu các phân số
Vận dụng BCNN để tìm mẫu chung của hai phân số:
Để quy đồng mẫu số hai phân số
và
, ta phải tìm mẫu chung của hai phân số đó. Thông thường ta nên chọn mẫu chung là BCNN của hai mẫu.
Ví dụ 5. Quy đồng mẫu số các phân số sau:

Lời giải
a) Ta có 12 = 22.3; 15 = 3.5.
BCNN(12, 15) = 22.3.5 = 60.
Ta có: 60:12 = 5; 60:15 = 4. Khi đó:
b) Ta có: 7 = 7, 21 = 3. 7, 14 = 2.7.
BCNN(7, 21, 14) = 2.3.7 = 42.
Ta có: 42:7 = 6, 42:21 = 2, 42:14 = 3. Khi đó:
Bài giảng Toán 6 Bài 12: Bội chung. Bội chung nhỏ nhất – Kết nối tri thức
Xem thêm các bài giải SGK Toán lớp 6 Kết nối tri thức hay, chi tiết khác:
Bài 11: Ước chung. Ước chung lớn nhất
Luyện tập chung trang 54 – 55
Bài tập cuối Chương 2
Bài 13: Tập hợp các số nguyên