Bài tập Toán 6 Phân số với tử số và mẫu số là số nguyên
A. Bài tập Phân số với tử số và mẫu số là số nguyên
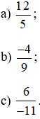
Bài 1. Đọc các phân số sau:

Lời giải:
a) Phân số
có tử số là 12, mẫu số là 5.
Đọc là: Mười hai phần năm;
b) Phân số
có tử số là −4, mẫu số là 9.
Đọc là: Âm bốn phần chín;
c) Phân số
có tử số là 6, mẫu số là −11.
Đọc là: Sáu phần âm mười một.
Bài 2. Vẽ lại hình bên và tô màu để phân số biểu thị phần tô màu bằng
.

Lời giải:
Phân số
có tử số là 1, mẫu số là 6.
Phân số biểu thị phần tô màu bằng
tức là hình đó được chia thành 6 phần bằng nhau và tô màu 1 phần.
Ta có hình vẽ biểu thị phần tô màu bằng
như sau:

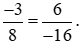
Bài 3. Tìm cặp phân số bằng nhau trong các cặp phân số sau:

Lời giải:
a) 
So sánh hai tích: (−15) . (−12) và 18 . 10;
Ta có: (−15) . (−12) = 15 . 12 = 180 và 18 . 10 = 180.
Nên (−15) . (−12) = 18 . 10.

So sánh hai tích: (−22) . (−7) và 5 . 24;
Ta có: (−22) . (−7) = 22 . 7 = 154 và 5 . 24 = 120.
Nên (−22) . (−7) ≠ 5 . 24.
Do đó
.
Vậy hai phân số
không bằng nhau.
Bài 4. Một bể bơi có máy bơm A để bơm nước vào bể. Nếu bể không có nước máy bơm sẽ bơm đầy bể trong 11 giờ. Cũng bể bơi đó, có máy bơm B dùng để tháo nước ra khỏi bể khi vệ sinh bể bơi. Nếu bể đầy nước, máy bơm B sẽ bơm hết nước trong bể chỉ trong 7 giờ.
Điền phân số với tử và mẫu là số nguyên thích hợp vào bảng sau đây:

Lời giải:
– Máy bơm A sẽ bơm từ khi chưa có nước đến khi đầy bể mất 11 giờ nên phân số ở mỗi ô có mẫu số là 11, tử số là số giờ bơm tương ứng.
– Máy bơm B sẽ tháo nước từ khi đầy bể đến khi hết sạch nước trong bể là 7 giờ nên phân số ở mỗi ô có mẫu số là 7, tử số là số âm của giờ bơm tương ứng.
Ta có bảng sau:

Bài 5. Viết và đọc phân số sau đó rút gọn về phân số tối giản trong mỗi trường hợp sau:
a) Tử số là 12 và mẫu số là ‒2;
b) Tử số là ‒202 và mẫu số là ‒303.
Hướng dẫn giải:
a) Phân số có tử số là 12 và mẫu số là ‒2 viết là: ; đọc là mười hai phần âm hai.
Rút gọn phân số: Ta có
ƯCLN(12, 2) = 2.
Do đó
b) Phân số có tử số là ‒202 và mẫu số là ‒303 viết là: ; đọc là âm hai trăm linh hai phần âm ba trăm linh ba.
Rút gọn phân số: Ta có
ƯCLN(202, 303) = 101.
Do đó
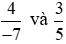
Bài 6. Các cặp phân số trong mỗi trường hợp sau có bằng nhau không? Nếu không bằng nhau hãy quy đồng hai phân số đó:
a) và
b) và
Hướng dẫn giải:
a) và
Ta có:(‒6).6 = ‒36 và (‒7).7 = ‒49
Nên (‒6).6 ≠ (‒7).7
Do đó hai phân số và không bằng nhau.
Quy đồng mẫu số hai phân số: và
BCNN(7, 6) = 42
Lại có 42: 7 = 6 và 42 : 6 = 7
Do đó: và
Vậy và
b) Ta có .
Do đó
Bài 7. Tìm số nguyên x, biết:
a) ;
b)
Hướng dẫn giải
a) Vì
Suy ra 3.24 = x. (–18)
x. (–18) = 3.24
x. (–18) = 72
x = 72 : (–18)
x = –4.
Vậy x = –4.
b)
Suy ra 30.(2x + 3) = 25.6
30.2x + 30.3 = 150
60x + 90 = 150
60x = 150 – 90
60x = 60
x = 60 : 60
x = 1.
Vậy x = 1.
Bài 8. Viết tất cả các phân số bằng phân số mà mẫu số là số tự nhiên có hai chữ số.
Hướng dẫn giải
Ta có
Ta rút gọn phân số về phân số tối giản:ƯCLN(20, 36) = 4.
Suy ra .
Vậy phân số bằng phân số có mẫu là số tự nhiên có hai chữ số là
Câu 9. Điền số thích hợp vào chỗ chấm
A. 20
B. – 60
C. 60
D. 30
Trả lời:
Vậy số cần điền là: 30.
Đáp án cần chọn là: D
Câu 10. Viết 20 dm2 dưới dạng phân số với đơn vị là mét vuông
A.
B.
C.
D.
Trả lời:
Ta có:
Đáp án cần chọn là: B
Câu 11. Tính tổng các giá trị biết rằng
A. 22
B. 20
C. 18
D. 15
Trả lời:
Ta có:
⇒ −3 < x < 7
⇒ x∈{−2; −1; 0; 1; 2; 3; 4; 5; 6}
Vậy tổng các giá trị của x thỏa mãn là: (−2) + (−1) +…+ 5 + 6 = 18
Đáp án cần chọn là: C
Câu 12. Nhận xét nào sau đây là đúng khi nói về phân số?
A. Phân số nhỏ hơn số 0 gọi là phân số âm.
B. Phân số lớn hơn số 0 gọi là phân số dương.
C. Phân số âm nhỏ hơn phân số dương.
D. Cả A, B và C đều đúng.
Trả lời:
Những nhận xét đúng là:
– Phân số nhỏ hơn số 0 gọi là phân số âm.
– Phân số lớn hơn số 0 gọi là phân số dương.
– Phân số âm nhỏ hơn phân số dương.
Đáp án cần chọn là: D
Câu 13. Viết số nguyên a dưới dạng phân số ta được:
A.
B.
C.
D.
Trả lời:
Viết số nguyên aa dưới dạng phân số ta được:
Đáp án cần chọn là: C
Câu 14. Viết phân số âm năm phần tám
A.
B.
C.
D.– 5,8
Trả lời:
Phân số âm năm phần tám được viết là
Đáp án cần chọn là: C
Câu 15. Phần tô màu trong hình sau biểu diễn phân số nào?
A.
B.
C.
D.
Trả lời:
Quan sát hình vẽ ta thấy nếu chia hình tròn làm 4phần thì phần tô màu chiếm 3 phần.
Vậy phân số biểu diễnphần tô màu là
Đáp án cần chọn là: C
Câu 16. Hãy viết phép chia sau dưới dạng phân số: (-58) : 73
A.
B.
C.
D.
Trả lời:
Phép chia (-58) : 73 được viết dưới dạng phân số là:
Đáp án cần chọn là: A
Câu 17. Phân số nào dưới đây bằng với phân số
A.
B.
C.
D.
Trả lời:
Đáp án A:
Vì −2.10 ≠ 4.5 nên
⇒ A sai.
Đáp án B:
Vì (−2).15 = (−6).5 = −30 nên
⇒ B đúng.
Đáp án C:
(−2).15 ≠ 6.5 nên
⇒ C sai.
Đáp án D:
Vì (−2).(−10) ≠ (−4).5 nên
⇒ D sai.
Đáp án cần chọn là: B
Câu 18. Chọn câu sai?
A.
B.
C.
D.
Trả lời:
Đáp án A:
Vì 1.135 = 3.45 nên
⇒A đúng.
Đáp án B:
Vì (−13).(−40)=20.26 nên
⇒B đúng.
Đáp án C:
Vì (−4).(−60)≠15.(−16) nên
⇒C sai.
Đáp án D:
Vì 6.(−49)=7.(−42) nên
⇒D đúng.
Đáp án cần chọn là: C
Câu 19. Cách viết nào sau đây cho ta một phân số:
A.
B.
C.
D.
Trả lời:
+ có mẫu bằng 0 nên không là phân số
+ có 1,5∉Z nên không là phân số
+ là phân số
+ có 3,5∉Z nên không là phân số
Đáp án cần chọn là: C
Câu 20. Phân số có tử bằng – 4, mẫu bằng 5 được viết là:
A.
B.
C.
D.
Trả lời:
Phân số có tử bằng −4, mẫu bằng 5 được viết là:
Đáp án cần chọn là: C
B. Lý thuyết Phân số với tử số và mẫu số là số nguyên
1. Khái niệm phân số
Ta gọi
, trong đó
là phân số, a là tử số (tử), b là mẫu số (mẫu) của phân số. Phân số
đọc là a phần b.
Ví dụ 1. Phân số
có tử số là −2, mẫu số là 7 và được đọc là “âm hai phần bảy”.
Chú ý: Ta có thể dùng phân số để ghi (viết, biểu diễn) kết quả phép chia một số nguyên cho một số nguyên khác 0.
Ví dụ 2. Phân số
là ghi kết quả phép chia −7 cho 4.
2. Phân số bằng nhau
Hai phân số
được gọi là bằng nhau, viết là
, nếu a . d = b . c.
Ví dụ 3.
a)
vì (−4) . 6 = (−12) . 2 (cùng bằng –24).
b)
không bằng
, vì 3 . 5 không bằng 4 . 4. Viết
.
Chú ý: Điều kiện a . d = b . c gọi là điều kiện bằng nhau của hai phân số 
Ví dụ 4. Các cặp phân số sau có bằng nhau hay không?

Lời giải:
a) 
So sánh hai tích: (−3) . (−16) và 8 . 6;
Ta có: (−3) . (−16) = 3 . 16 = 48 và 8 . 6 = 48.
Nên (−3) . (−16) = 8 . 6. Do đó
.
.
So sánh hai tích: 4 . 5 và (−7) . 3;
Ta có: 4 . 5 = 20 và (−7) . 3 = −21.
Nên 4 . 5 ≠ (−7) . 3. Do đó
.
Vậy hai phân số
không bằng nhau.
3. Biểu diễn số nguyên ở dạng phân số
Mỗi số nguyên n có thể coi là phân số
. Khi đó số nguyên n được biểu diễn ở dạng phân số
.
Ví dụ 5.
.