Giải bài tập Hóa học lớp 11 Bài 24: Carboxylic acid
Mở đầu trang 145 Hóa học 11: Vị chua của giấm và các loại quả như khế, chanh, táo, me, … đều được tạo bởi carboxylic acid. Vậy carboxylic acid chứa nhóm chức nào và có các tính chất đặc trưng gì?
Lời giải:
– Carboxylic acid là các hợp chất hữu cơ trong phân tử có nhóm – COOH liên kết với nguyên tử carbon (trong gốc hydrocarbon hoặc – COOH) hoặc nguyên tử hydrogen.
– Tính chất đặc trưng: carboxylic acid thể hiện tính acid và tham gia phản ứng ester hoá.
I. Khái niệm, danh pháp
Hoạt động trang 145 Hóa học 11: Nhiều carboxylic acid tồn tại trong tự nhiên. Hãy nhận xét đặc điểm chung về cấu tạo của các carboxylic acid dưới đây:
Lời giải:
Đặc điểm chung về cấu tạo của các carboxylic acid là đều có chứa nhóm – COOH.
Câu hỏi 1 trang 147 Hóa học 11: Viết các công thức cấu tạo và gọi tên theo danh pháp thay thế của các acid có công thức C4H9COOH.
Lời giải:
Các công thức cấu tạo của acid có công thức C4H9COOH là:
CH3 – CH2 – CH2 – CH2 – COOH: pentanoic acid;
: 3 – methylbutanoic acid;
: 2 – methylbutanoic acid;
: 2,2 – dimethylpropanoic acid.
Câu hỏi 2 trang 147 Hóa học 11: Viết công thức cấu tạo của các carboxylic acid có tên gọi dưới đây:
a) pentanoic acid;
b) but – 3 – enoic acid;
c) 2 – methylbutanoic acid;
d) 2,2 – dimethylpropanoic acid.
Lời giải:
a) pentanoic acid: CH3 – CH2 – CH2 – CH2 – CH2 – OH.
b) but – 3 – enoic acid: CH2 = CH – CH2 – COOH.
c) 2 – methylbutanoic acid:
d) 2,2 – dimethylpropanoic acid:
III. Tính chất vật lí
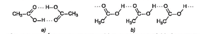
Hoạt động trang 147 Hóa học 11: Tại sao trong các hợp chất hữu cơ có phân tử khối xấp xỉ nhau dưới đây, carboxylic acid có nhiệt độ sôi cao nhất?
Lời giải:
Phân tử carboxylic acid chứa nhóm carboxyl phân cực. Các phân tử carboxylic acid liên kết hydrogen với nhau tạo thành dạng dimer hoặc dạng liên phân tử.
Ví dụ:
Do vậy, carboxylic acid có nhiệt độ sôi cao hơn so với hydrocarbon, alcohol, hợp chất carbonyl có phân tử khối tương đương.
IV. Tính chất hoá học
Hoạt động trang 148 Hóa học 11: Trong dung dịch nước, carboxylic acid phân li không hoàn toàn theo cân bằng:
Hằng số cân bằng của phương trình phân li một số carboxylic acid được cho trong Bảng 24.3.
Hãy nhận xét về khả năng phân li của carboxylic acid. Chúng là các acid mạnh hay yếu và có các phản ứng đặc trưng nào?
Lời giải:
Trong dung dịch nước, chỉ một phần nhỏ carboxylic acid phân li thành ion, vì vậy carboxylic là những acid yếu. Tuy nhiên, chúng thể hiện đầy đủ các tính chất của một acid:
+ Tác dụng với kim loại đứng trước hydrogen trong dãy hoạt động hoá học của kim loại và giải phóng khí hydrogen.
+ Tác dụng được với các base và basic oxide để tạo thành muối và nước.
+ Tác dụng được với một số muối.
Hoạt động trang 149 Hóa học 11: Tính acid của acetic acid
Chuẩn bị: dung dịch acetic acid 10%, dung dịch Na2CO3 10%, bột Mg; ống nghiệm, giấy quỳ.
Tiến hành:
1. Phản ứng với chất chỉ thị:
Nhỏ một giọt dung dịch acetic acid 10% lên mẩu giấy quỳ.
Quan sát và mô tả sự thay đổi màu sắc của giấy quỳ.
2. Phản ứng với kim loại:
– Cho 1 – 2 mL dung dịch acetic acid 10% vào ống nghiệm (1).
– Thêm tiếp một ít bột Mg vào ống nghiệm (1).
Quan sát và mô tả hiện tượng xảy ra trong ống nghiệm (1).
3. Phản ứng với muối:
– Cho 1 – 2 mL dung dịch Na2CO3 10% vào ống nghiệm (2).
– Thêm tiếp 1 – 2 mL dung dịch acetic acid 10% vào ống nghiệm (2).
Thực hiện yêu cầu sau:
Quan sát và mô tả hiện tượng xảy ra trong ống nghiệm (2).
Viết phương trình hoá học của các phản ứng xảy ra trong các thí nghiệm trên và giải thích hiện tượng.
Lời giải:
1. Phản ứng với chất chỉ thị:
Quỳ tím chuyển sang màu đỏ.
2. Phản ứng với kim loại:
Hiện tượng: Bột Mg tan dần, có khí không màu thoát ra.
Phương trình hoá học: Mg + 2CH3COOH → (CH3COO)2Mg + H2.
3. Phản ứng với muối:
Hiện tượng: Có khí không màu thoát ra.
Phương trình hoá học: 2CH3COOH + Na2CO3 → 2CH3COONa + CO2 + H2O.
Câu hỏi 4 trang 149 Hóa học 11: Viết phương trình hoá học phản ứng giữa acetic acid với các chất sau:
a) Ca;
b) Cu(OH)2;
c) CaO;
d) K2CO3.
Lời giải:
a) Ca + 2CH3COOH → (CH3COO)2Ca + H2;
b) Cu(OH)2 + 2CH3COOH → (CH3COO)2Cu + 2H2O;
c) CaO + 2CH3COOH → (CH3COO)2Ca + H2O;
d) 2CH3COOH + K2CO3 → 2CH3COOK + CO2 + H2O.
Câu hỏi 5 trang 149 Hóa học 11: a) Khi có cặn màu trắng (thành phần chính là CaCO3) bám ở đáy ấm đun nước, vòi nước, thiết bị vệ sinh,… có thể dùng giấm để loại bỏ các vết cặn này. Hãy giải thích.
b) Các đồ vật bằng đồng sau một thời gian để trong không khí thường bị xỉn màu, dùng khăn tẩm một ít giấm rồi lau các đồ vật này, chúng sáng bóng trở lại. Hãy giải thích.
Lời giải:
a) Giấm là dung dịch acetic acid có nồng độ 2 – 5%, do đó giấm có thể tác dụng với CaCO3 (thành phần chính của cặn bám ở đáy ấm đun nước, vòi nước, thiết bị vệ sinh, …) tạo thành muối tan. Vì thế khi có cặn màu trắng (thành phần chính là CaCO3) bám ở đáy ấm đun nước, vòi nước, thiết bị vệ sinh,… có thể dùng giấm để loại bỏ các vết cặn này.
CaCO3 + 2CH3COOH → (CH3COO)2Ca + CO2 + H2O.
b) Đồ đồng bị xỉn màu do lớp đồng ngoài của đồ đồng đã bị oxi hoá. Giấm là dung dịch acetic acid có nồng độ 2 – 5% do đó có thể phản ứng với lớp gỉ đồng này và làm sạch chúng. Do đó dùng khăn tẩm một ít giấm rồi lau các đồ vật bằng đồng sẽ giúp chúng sáng bóng trở lại.
CuO + 2CH3COOH → (CH3COO)2Cu + H2O.
Hoạt động trang 150 Hóa học 11: Nghiên cứu phản ứng ester hoá – điều chế ethyl acetate
Điều chế ethyl acetate trong phòng thí nghiệm được tiến hành như sau:
– Cho khoảng 2 mL ethanol và 2 mL acetic acid tuyệt đối vào ống nghiệm, lắc đều hỗn hợp.
– Thêm khoảng 1 mL dung dịch H2SO4 đặc, lắc nhẹ để các chất trộn đều với nhau.
– Kẹp ống nghiệm vào kẹp gỗ rồi đặt ống nghiệm vào cốc nước nóng (khoảng 60 °C – 70 °C) trong khoảng 5 phút, thỉnh thoảng lắc đều hỗn hợp. Sau đó lấy ống nghiệm ra khỏi cốc nước nóng, để nguội hỗn hợp rồi rót sang ống nghiệm khác chứa 5 mL dung dịch muối ăn bão hoà.
Thực hiện yêu cầu:
1. Mô tả hiện tượng, viết phương trình hoá học của phản ứng ester hoá xảy ra trong thí nghiệm trên.
2. Vai trò của sulfuric acid trong thí nghiệm trên là gì?
Lời giải:
1. Hiện tượng: Phản ứng sinh ra chất lỏng, nhẹ hơn nước, có mùi thơm đặc trưng.
Phương trình hoá học:
CH3COOH + C2H5OH CH3COOC2H5 + H2O.
2. Sulfuric acid trong thí nghiệm trên vừa là chất xúc tác, vừa có tác dụng hút nước, do đó góp phần làm tăng hiệu suất tạo ester.
Câu hỏi 6 trang 151 Hóa học 11: Methyl butyrate là ester tạo mùi đặc trưng của quả táo, em hãy viết phương trình hoá học của phản ứng điều chế methyl butyrate từ carboxylic acid và alcohol tương ứng.
Lời giải:
CH3 – CH2 – CH2 – COOH + CH3OH CH3 – CH2 – CH2 – COOCH3 + H2O.
Câu hỏi 7 trang 151 Hóa học 11: Methyl salicylate là hợp chất thuộc loại ester được dùng làm cao dán giảm đau, kháng viêm ngoài da. Methyl salicylate được tổng hợp từ phản ứng ester hoá giữa salicylic acid và methanol. Hãy hoàn thành phương trình hoá học của phản ứng tổng hợp methyl salicylate:
Lời giải:
VI. Ứng dụng
Hoạt động trang 151 Hóa học 11: Em hãy tìm hiểu và trình bày ứng dụng của một carboxylic acid.
Lời giải:
Ứng dụng của acetic acid (CH3COOH):
Một lượng lớn acetic acid được sử dụng để sản xuất vinyl acetate và cellulose acetate. Vinyl acetate được dùng sản xuất keo dán và chất kết dính trong sản xuất giấy, sản xuất tơ (tơ vinylon), … ; cellulose acetate được sử dụng làm tá dược trong sản xuất thuốc, sản xuất tơ, phim ảnh, … Acetic acid còn được sử dụng để tổng hợp aluminium monoacetate (Al(OH)2COOCH3) làm chất cầm màu trong công nghệ dệt may, tổng hợp ethyl acetate, butyl acetate làm dung môi (để pha sơn), tổng hợp muối ammonium acetate (CH3COONH4) để sản xuất acetamide – một chất có tác dụng lợi tiểu và làm toát mồ hôi; tổng hợp phenylacetic acid dùng trong công nghiệp nước hoa, tổng hợp penicillin, tổng hợp chloroacetic acid dùng trong sản xuất chất diệt cỏ 2,4 – D và 2,4,5 – T,… Dung dịch acetic acid 2 – 5% được dùng làm giấm ăn, làm chất tẩy cặn trong siêu đun nước và nhiều ứng dụng trong đời sống hàng ngày.
Em có thể trang 152 Hóa học 11: – Biết cách làm giấm bằng phương pháp lên men để sử dụng trong gia đình.
– Vận dụng các tính chất của carboxylic acid để giải thích các ứng dụng của chúng trong đời sống; tẩy cặn ở đáy ấm, loại bỏ các lớp gỉ bám trên bề mặt kim loại.
Lời giải:
– Cách làm giấm gạo tại nhà:
Nguyên liệu:
+ 1 kg gạo trắng;
+ 400 g men bia;
+ Đường trắng;
+ 2 quả trứng gà;
+ 1,5 lít nước sạch.
Cách tiến hành:
Bước 1: Vo sạch gạo nấu thành cơm rồi ngâm vào nước và để qua đêm. Sau đó dùng 1 mảnh vải sạch bọc cơm lại, vắt thật kỹ để lấy nước rồi bỏ đường vào theo tỉ lệ 4 : 2 (cứ 4 bát nước thì 2 bát đường). Đun nước vừa vắt trong vòng 30 phút.
Bước 2: Khi nước cơm và đường đã nguội thì cho men bia vào với tỉ lệ 1 : 1. Cho hỗn hợp vào bình thuỷ tinh và đậy kín, sau 4 tuần thu được thành phẩm.
Bước 3: Sau 4 tuần, đổ giấm ra nồi sạch, cho 2 quả trứng gà (chỉ lấy lòng trắng trứng) vào, đun sôi 1 lúc thì tắt bếp. Dùng rây lọc, lọc bỏ hết lòng trắng trứng gà rồi để giấm nguội. Giấm nguội thì cho vào lọ hoặc hũ thuỷ tinh có nắp đậy kín và để ở môi trường thoáng mát để dùng dần.
– Carboxylic acid mang đầy đủ tính chất hoá học của một acid do đó được ứng dụng trong đời sống; tẩy cặn ở đáy ấm, loại bỏ các lớp gỉ bám trên bề mặt kim loại.
Lý thuyết Carboxylic acid
1. Khái niệm, danh pháp
a. Khái niệm
Carboxylic acid là các hợp chất hữu cơ trong phân tử có nhóm –COOH liên kết với nguyên tử carbon (trong gốc hydrocarbon hoặc –COOH) hoặc nguyên tử hydrogen.
Công thức của các carboxylic acid đơn chức thường được viết ở dạng thu gọn là RCOOH.
Ví dụ: CH3COOH, CH2=CHCOOH, C6H5COOH
b. Danh pháp
* Danh pháp thay thế:
Tên theo danh pháp thay thế của carboxylic acid đơn chức:

* Tên thông thường:
Tên thông thường của carboxylic acid thường xuất phát từ nguồn gốc tìm ra chúng trong tự nhiên.

2. Đặc điểm cấu tạo
Nhóm carboxyl gồm có nhóm hydroxy (–O–H) liên kết với nhóm carbonyl (C=O). Nhóm C=O là nhóm hút electron nên liên kết O-H trong carboxylic acid phân cực hơn so với alcohol, phenol. Nhóm –COOH có thể phân li ra H+ nên tính chất hoá học đặc trưng của carboxylic acid là tính acid.

3. Tính chất vật lý
Phân tử carboxylic add chứa nhóm carboxyl phân cực. Các phân tử carboxylic acid liên kết hydrogen với nhau tạo thành dạng dimer hoặc dạng liên phân tử.

Carboxylic acid có nhiệt độ sôi cao hơn so với hydrocarbon, alcohol, hợp chất carbonyl có phân tử khối tương đương.
Carboxylic acid mạch ngắn là chất lỏng ở nhiệt độ phòng, carboxylic acid mạch dài là chất rắn dạng sáp.
Carboxylic acid thường có mùi chua nồng, Carboxylic acid mạch ngắn tan tốt trong nước.

4. Tính chất hóa học
a. Tính acit
Trong dung dịch nước, chỉ một phần nhỏ carboxylic acid phân II thành ion, vì vậy carboxylic acid là những acid yếu. Chúng thể hiện đầy đủ tính chất của acid.
Ví dụ:
2CH3COOH + Zn → (CH3COO)2Zn + H2
2CH3COOH + CaCO3 → (CH3COO)2Ca+ H2O + CO2
b. Phản ứng ester hóa
Carboxylic acid phản ứng với alcohol tạo thành ester và nước theo phản ứng.

Phản ứng giữa carboxylic acid và alcohol được gọi là phản ứng ester hoá. Phản ứng có đặc điểm thuận nghịch và thường dùng sulfuric acid đặc làm xúc tác.
5. Điều chế
a. Phương pháp lên men giấm
Phương pháp lên men được sử dụng từ thời xa xưa đề làm giảm. Nguyên liệu thường là các loại rượu như rượu gạo, rượu táo, rượu vang … Quá trình lên men nhờ vi khuẩn acetobacter (men giấm) chuyển hoá ethanol thành acetic acid bởi oxygen không khí:
C2H5OH + O2 → CH3COOH + H2O (điều kiện men giấm)
b. Phương pháp oxi hoa alkane
Các alkane bị oxi hoá cắt mạch tạo thành các acid:

6. Ứng dụng
Sơ đồ tư duy Carboxylic acid

Xem thêm các bài giải SGK Hóa lớp 11 Kết nối tri thức hay, chi tiết khác:
Bài 21: Phenol
Bài 22: Ôn tập chương 5
Bài 23: Hợp chất carbonyl
Bài 24: Carboxylic acid
Bài 25: Ôn tập chương 6