Skip to content

Học tập lớp 12

  • Trắc nghiệm Holland
  • Tính điểm xét tuyển
  • Danh sách trường Đại học
  • Kết quả bài thi

Học tập lớp 12

  • Home » 
  • Hóa học Lớp 11

Giải SGK Hóa học 11 Bài 18 (Kết nối tri thức): Ôn tập chương 4

By Admin Lop12.com 23/02/2026 0

Giải bài tập Hóa học lớp 11 Bài 18: Ôn tập chương 4

Câu hỏi 1 trang 111 Hóa học 11: Phát biểu nào sau đây là không đúng?

A. Trong phân tử hydrocarbon, số nguyên tử hydrogen luôn là số chẵn.

B. Trong phân tử alkene, liên kết đôi gồm một liên kết σ và một liên kết π.

C. Hydrocarbon no là hydrocarbon mà trong phân tử chỉ có liên kết đơn.

D. Công thức chung của hydrocarbon no, mạch hở có dạng CnH2n.

Lời giải:

Đáp án đúng là: D

Do công thức chung của hydrocarbon no, mạch hở có dạng CnH2n + 2.

Câu hỏi 2 trang 111 Hóa học 11: Hai hydrocarbon A và B có cùng công thức phân tử là C5H12 tác dụng với chlorine thì A chỉ tạo ra một dẫn xuất monochlorine duy nhất, còn B có thể tạo ra 4 dẫn xuất monochlorine. Tên gọi của A và B lần lượt là

A. 2,2-dimethylpropane và 2-methylbutane.

B. 2,2-dimethylpropane và pentane.

C. 2-methylbutane và 2,2-dimethylpropane.

D. 2-methylbutane và pentane.

Lời giải:

Đáp án đúng là: A

Do A tác dụng với chlorine chỉ tạo ra một dẫn xuất monochlorine duy nhất, nên A có tính đối xứng cao, vậy A là 2,2 – dimethylpropane:

Hai hydrocarbon A và B có cùng công thức phân tử là C5H12 tác dụng với chlorine

B tác dụng với chlorine có thể tạo ra 4 dẫn xuất monochlorine nên B là 2 – methylbutane:

Hai hydrocarbon A và B có cùng công thức phân tử là C5H12 tác dụng với chlorine

Câu hỏi 3 trang 111 Hóa học 11: Gas, nhiên liệu phổ biến hiện nay có thành phần chính là propane và butane. Nhiệt lượng giải phóng khi đốt cháy hoàn toàn 1 kg một loại gas là khoảng 50 400 kJ

a) Biết để làm nóng 1 kg nước lên 1 độ thì cần cung cấp nhiệt lượng là 4 200 J. Để đun sôi 30 kg nước từ nhiệt độ 20 °C cần cung cấp bao nhiêu kJ nhiệt?

A. 2 520 kJ.

B. 5 040 kJ.

C. 10 080 kJ.

D. 6 048 kJ.

b) Cần đốt cháy hoàn toàn bao nhiêu kg gas để cung cấp đủ nhiệt lượng trên, biết hiệu suất hấp thụ nhiệt đạt 80%.

A. 0,20 kg.

B. 0,25 kg.

C. 0,16 kg.

D. 0,40 kg.

Lời giải:

a) Đáp án đúng là: C

Để đun sôi 30 kg nước từ nhiệt độ 20 °C cần cung cấp nhiệt lượng là:

30. 4200. (100 – 20) = 10 080 000 (J) = 10 080 (kJ).

b) Đáp án đúng là: B

Theo lí thuyết, lượng gas cần đốt để đun sôi 30 kg nước từ 20 oC là:

1008050400=0,2(kg)

Do hiệu suất hấp thụ nhiệt là 80% nên lượng gas cần đốt là:

0,2.10080=0,25(kg)

Câu hỏi 4 trang 111 Hóa học 11: Styrene phản ứng với bromine tạo thành sản phẩm có công thức phân tử C8H8Br2. Hãy viết công thức cấu tạo của hợp chất này.

Lời giải:

Công thức cấu tạo của sản phẩm là:

Styrene phản ứng với bromine tạo thành sản phẩm có công thức phân tử C8H8Br2

Giải thích bằng phương trình hoá học:

Styrene phản ứng với bromine tạo thành sản phẩm có công thức phân tử C8H8Br2

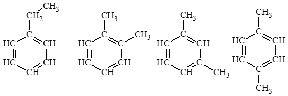
Câu hỏi 5 trang 111 Hóa học 11: Refoming octane (C8H18) thu được các arene có công thức phân tử C8H10. Hãy viết công thức cấu tạo của các arene này.

Lời giải:

C8H10 có số liên kết π + vòng = 2+2.8−102=4 ⇒ có 1 vòng và 3 liên kết đôi.

Các công thức cấu tạo thoả mãn: 

Refoming octane (C8H18) thu được các arene có công thức phân tử C8H10

Xem thêm các bài giải SGK Hóa lớp 11 Kết nối tri thức hay, chi tiết khác:

Bài 17: Arene (Hydrocarbon thơm)

Bài 18: Ôn tập chương 4

Bài 19: Dẫn xuất halogen

Bài 20: Alcohol

Bài 21: Phenol

Tags : Tags Giải SGK Hóa học 11
Share
facebookShare on Facebook

Bài liên quan

Giải SGK Hóa học 11 Bài 15 (Kết nối tri thức): Alkane

Giải SBT Hóa 11 Bài 7 (Kết nối tri thức): Sulfur và sulfur dioxide

Giải SBT Hóa 11 Bài 23 (Kết nối tri thức): Hợp chất carbonyl

15 câu Trắc nghiệm Cân bằng trong dung dịch nước (Kết nối tri thức 2025) có đáp án – Hóa học lớp 11

15 câu Trắc nghiệm Ôn tập chương 4 (Kết nối tri thức 2025) có đáp án – Hóa học lớp 11

Giải SGK Hóa học 11 Bài 16 (Kết nối tri thức): Hydrocarbon không no

Giải SBT Hóa 11 Bài 8 (Kết nối tri thức): Sulfuric acid và muối sulfate

Giải SBT Hóa 11 Bài 24 (Kết nối tri thức): Carboxylic acid

0 Góp ý
Phản hồi nội tuyến
Xem tất cả bình luận

Mục lục

  1. Giải SGK Hóa học 11 Bài 1 (Kết nối tri thức): Khái niệm về cân bằng hoá học
  2. Giải SGK Hóa học 11 Bài 2 (Kết nối tri thức): Cân bằng trong dung dịch nước
  3. Giải SGK Hóa học 11 Bài 3 (Kết nối tri thức): Ôn tập chương 1
  4. Giải SGK Hóa học 11 Bài 4 (Kết nối tri thức): Nitrogen
  5. Giải SGK Hóa học 11 Bài 5 (Kết nối tri thức): Ammonia. Muối ammonium
  6. Giải SGK Hóa học 11 Bài 6 (Kết nối tri thức): Một số hợp chất của nitrogen với oxygen
  7. Giải SGK Hóa học 11 Bài 7 (Kết nối tri thức): Sulfur và sulfur dioxide
  8. Giải SGK Hóa học 11 Bài 8 (Kết nối tri thức): Sulfuric acid và muối sulfate
  9. Giải SGK Hóa học 11 Bài 9 (Kết nối tri thức): Ôn tập chương 2
  10. Giải SGK Hóa học 11 Bài 10 (Kết nối tri thức): Hợp chất hữu cơ và hoá học hữu cơ
  11. Giải SGK Hóa học 11 Bài 11 (Kết nối tri thức): Phương pháp tách biệt và tinh chế hợp chất hữu cơ
  12. Giải SGK Hóa học 11 Bài 12 (Kết nối tri thức): Công thức phân tử hợp chất hữu cơ
  13. Giải SGK Hóa học 11 Bài 13 (Kết nối tri thức): Cấu tạo hoá học hợp chất hữu cơ
  14. Giải SGK Hóa học 11 Bài 14 (Kết nối tri thức): Ôn tập chương 3
  15. Giải SGK Hóa học 11 Bài 15 (Kết nối tri thức): Alkane
  16. Giải SGK Hóa học 11 Bài 16 (Kết nối tri thức): Hydrocarbon không no
  17. Giải SGK Hóa học 11 Bài 17 (Kết nối tri thức): Arene (Hydrocarbon thơm)
  18. Giải SGK Hóa học 11 Bài 19 (Kết nối tri thức): Dẫn xuất halogen
  19. Giải SGK Hóa học 11 Bài 20 (Kết nối tri thức): Alcohol
  20. Giải SGK Hóa học 11 Bài 21 (Kết nối tri thức): Phenol

Copyright © 2026 Học tập lớp 12 - Sách Toán - Học Tập AI
  • Sitemap
  • Chính sách
  • Giới thiệu
  • Hướng dẫn
  • Kết quả
  • Liên hệ
Back to Top
Menu
  • Sitemap
  • Chính sách
  • Giới thiệu
  • Hướng dẫn
  • Kết quả
  • Liên hệ
wpDiscuz