Giải bài tập Hóa học lớp 11 Bài 17: Arene (Hydrocarbon thơm)
Mở đầu trang 102 Hóa học 11: Làm thế nào có thể lựa chọn và sử dụng các sản phẩm được sản xuất từ arene và dẫn xuất của nó an toàn, thân thiện với môi trường?
Lời giải:
Arene là những chất độc nên khi làm việc với arene cần tuân thủ đúng quy tắc an toàn. Benzene là chất tăng nguy cơ gây ung thư và các bệnh khác, vì vậy không được tiếp xúc trực tiếp với các hoá chất này.
Đặc biệt, các thuốc bảo vệ thực vật (thuốc trừ sâu, trừ cỏ) thế hệ cũ là dẫn xuất của benzene đều có tác hại đối với sức khoẻ con người và gây ô nhiễm môi trường, do vậy cần hết sức thận trọng khi sử dụng. Không được sử dụng các chất đã bị cấm như dichlorodiphenyltrichloethane (DDT) hay 1,2,3,4,5,6 – hexachlorocyclohexane (6,6,6) thay vào đó là các thuốc thế hệ mới vừa hiệu quả, vừa an toàn.
III. Tính chất vật lí và trạng thái tự nhiên
Câu hỏi 1 trang 104 Hóa học 11: Hãy so sánh nhiệt độ sôi của benzene, toluene, o – xylene (Bảng 17.1) và giải thích.
Lời giải:
Nhiệt độ sôi: benzene < toluene < o – xylene.
Do Mbenzene (78) < Mtoluene (92) < Mo – xylene (106).
IV. Tính chất hoá học
Hoạt động trang 105 Hóa học 11: Nghiên cứu phản ứng nitro hoá benzene
Phản ứng nitro hoá benzene được thực hiện như sau:
– Cho con từ vào bình cầu dung tích 250 mL, thêm khoảng 30 mL H2SO4 đặc, làm lạnh trong chậu nước đá rồi thêm từ từ vào khoảng 30 mL HNO3, sau đó thêm tiếp khoảng 10 mL benzene và lắp sinh hàn hồi lưu. Đun cách thuỷ hỗn hợp phản ứng trên bếp từ đến 80 °C trong khoảng 60 phút (Hình 17.2).
– Để nguội rồi cho hỗn hợp vào phễu chiết, quan sát thấy chất lỏng tách thành hai lớp, lớp trên là sản phẩm phản ứng, lớp dưới là dung dịch hỗn hợp hai acid.
– Chiết lấy lớp chất lỏng phía trên, thêm khoảng 100 mL nước lạnh vào phễu chiết để rửa acid, thu được chất lỏng màu vàng, nặng hơn nước và nằm ở phần dưới của phễu chiết.
Hãy cho biết chất lỏng màu vàng là chất gì và giải thích.
Lời giải:
Benzene được nitro hoá bằng hỗn hợp HNO3 đặc và H2SO4 đặc (đun nóng nhẹ) tạo ra chất lỏng màu vàng, sánh như dầu là nitrobenzene.
Phương trình hoá học minh hoạ:
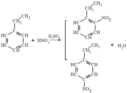
Câu hỏi 2 trang 105 Hóa học 11: Viết phương trình phản ứng của ethylbenzene với các tác nhân sau:
a) Br2/ FeBr3, to.
b) HNO3 đặc/ H2SO4 đặc.
Lời giải:
a)
b)
Hoạt động trang 106 Hóa học 11: Nghiên cứu phản ứng cộng chlorine vào benzene
Phản ứng cộng chlorine vào benzene được tiến hành như sau:
Dẫn một lượng nhỏ khí chlorine vào bình nón chứa một ít benzene, đậy kín lại rồi đưa bình ra ngoài ánh nắng. Trong bình xuất hiện khói trắng và trên thành bình thấy xuất hiện một lớp bột màu trắng.
Hãy cho biết lớp bột màu trắng trên thành bình là chất gì. Giải thích.
Lời giải:
Benzene phản ứng với chlorine (điều kiện: ánh sáng), tạo thành lớp bột màu trắng là 1,2,3,4,5,6 – hexachlorocyclohexane (C6H6Cl6).
Phản ứng này là phản ứng cộng, theo phương trình hoá học sau:
Câu hỏi 3 trang 106 Hóa học 11: Viết phương trình hoá học của phản ứng xảy ra khi hydrogen hoá hoàn toàn toluene và p – xylene, sử dụng xúc tác nickel.
Lời giải:
Câu hỏi 4 trang 106 Hóa học 11: Hydrogen hoá hoàn toàn arene X (công thức phân tử C8H10) có xúc tác nickel thu được sản phẩm là ethylcyclohexane.
Viết công thức cấu tạo của X.
Lời giải:
X có số liên kết π + vòng =
Vậy trong X có 1 vòng và 3 liên kết đôi.
Lại có X tác dụng với H2, xúc tác nickel thu được sản phẩm là ethylcyclohexane nên X là ethylbenzene. Có công thức cấu tạo:
Hoạt động trang 107 Hóa học 11: Nghiên cứu phản ứng oxi hoá toluene và benzene bằng dung dịch KMnO4
– Cho vào hai ống nghiệm, mỗi ống 1 mL dung dịch KMnO4 0,05 M và 1 mL dung dịch H2SO4 2M.
– Cho tiếp vào ống (1) 1 mL benzene, ống nghiệm (2) 1 mL toluene. Lắc đều và đậy cả hai ống nghiệm bằng nút có ống thuỷ tinh thẳng.
– Đun cách thuỷ hai ống nghiệm trong nồi nước nóng. Ông nghiệm (2) màu tím nhạt dần và mất màu, ống nghiệm (1) vẫn giữ nguyên màu tím.
Nhận xét khả năng phản ứng của benzene và toluene với KMnO4. Giải thích.
Lời giải:
Hiện tượng: Toluene làm mất màu dung dịch thuốc tím khi đun nóng; Benzene không làm mất màu dung dịch thuốc tím cả ở điều kiện thường và khi đun nóng.
Giải thích:
Do hiệu ứng liên hợp π bền vững nên benzene không tác dụng với KMnO4 (không làm mất màu dung dịch KMnO4) kể cả khi đun nóng.
Do ảnh hưởng của vòng benzene, mạch nhánh – CH3 của toluene dễ bị oxi hoá khi tương tác với chất oxi hoá mạnh như KMnO4. Phương trình hoá học:
5C6H5CH3 + 6KMnO4 + 9H2SO4 → 5C6H5COOH + 3K2SO4 + 6MnSO4 + 14H2O.
Câu hỏi 5 trang 107 Hóa học 11: Terephthalic acid là nguyên liệu để tổng hợp nhựa poly(ethylene terephtalate) (PET) dùng để sản xuất tơ sợi, chai nhựa. Terephthalic acid có thể được tổng hợp từ arene X có công thức phân tử C8H10, bằng cách oxi hoá X bởi dung dịch thuốc tím:
Hãy xác định công thức cấu tạo của X.
Lời giải:
X có số liên kết π + vòng =
Vậy trong X có 1 vòng và 3 liên kết đôi.
Lại có, oxi hoá X bằng dung dịch thuốc tím được.
⇒ Công thức cấu tạo của X là:
VI. Điều chế
Em có thể trang 109 Hóa học 11: Trình bày về tầm quan trọng của arene trong công nghiệp hoá học, dược phẩm, sản xuất thuốc bảo vệ thực vật, …
Lời giải:
Arene (chủ yếu là benzene, toluene và xylene) là nguồn nguyên liệu để tổng hợp nhiều loại hoá chất và vật liệu hữu cơ quan trọng, có nhiều ứng dụng trong cuộc sống.
Cụ thể, trong xăng, dầu có khoảng 5% toluene và khoảng 1 – 6 % xylene. Benzene là nguyên liệu quan trọng để sản xuất các alkylbenzene sulfonate mạch không phân nhánh là thành phần chính của bột giặt; sản xuất styrene – nguyên liệu chính cho chế tạo nhựa polystyrene và một số polymer khác…Benzene và một số hydrocarbon thơm khác là nguyên liệu để sản xuất thuốc trừ sâu, chất điều hoà sinh trưởng thực vật, phẩm nhuộm,… Ngoài ra, arene còn thường được dùng làm dung môi để sản xuất sơn, cao su, mực in, mỹ phẩm, dược phẩm, …
Lý thuyết Arene (Hydrocarbon thơm)
1. Khái niệm và danh pháp
a. Khái niệm
Arene hay còn gọi là hydrocarbon thơm là những hydrocarbon trong phân tử có chứa một hay nhiều vòng benzene.
Benzene có công thức C6H6 là một hydrocarbon thơm đơn giản và điển hình nhất.
Benzene và các đồng đẳng của nó hợp thành dãy đồng đẳng của benzene có công thức chung là CnH2n-6 (n≥6).
b. Công thức cấu tạo và danh pháp
Một số arene, gốc ary thường gặp có công thức cấu tạo và tên gọi như sau:

2. Đặc điểm cấu tạo của benzene
Phân tử benzene có 6 nguyên tử carbon tạo thành hình lục giác đều, tất cả nguyên tử carbon và hydrogen đều nằm trên một mặt phẳng, các góc liên kết đều bằng 120°, độ dài liên kết carbon – carbon đều bằng 139 pm.

3. Tính chất vật lí và trạng thái tự nhiên
Benzene, toluene, xylene, styrene ở điều kiện thường là chất lỏng không màu, trong suốt, dễ chảy và có mùi đặc trưng. Naphthalene là chất rắn màu trắng, có mùi đặc trung (có thể phát hiện được ở nồng độ thấp). Các arene không phân cực hoặc kém phân cực nên không tan trong nước và thường nhẹ hơn nước, tan được trong các dung môi hữu cơ.

4. Tính chất hoá học
a. Phản ứng thế
Arene có thể tham gia phản ứng thể nguyên tử hydrogen ở vòng benzene như phản ứng halogen hoá, nitro hoa,..
Quy tắc thể: Khi benzene có nhóm thể alkyl (–CH3, -C2H5,…), các phản ứng thế nguyên tử hydrogen ở vòng benzene xảy ra dễ dàng hơn so với benzene và ưu tiên thế vào vị trí số 2 hoặc số 4 (vị trí ortho hoặc para) so với nhóm alkyl.
* Phản ứng halogen hoá
Các arene tham gia phản ứng thế nguyên tử hydrogen gắn với vòng thơm bằng halogen (chlorine, bromine) ở nhiệt độ cao khi có xúc tác muỗi Iron(III) halide

* Phản ứng nitro hóa
Phản ứng nitro hoá là phản ứng trong đó một hay nhiều nguyên tử hydrogen ở vòng benzene được thay thế bằng nhóm nitro (-NO2).
b. Phản ứng cộng
* Phần ứng cộng chlorine
Phản ứng cộng chlorine vào benzene trong điều kiện có ánh sáng từ ngoại và đun nóng, sản phẩm thu được là 1,2,3,4,5,6 hexachlorocyclohexane.

b) Phản ứng cộng hydrogen
Phản ứng cộng hydrogen vào benzene tạo thành cyclohexane. Phản ứng xảy ra ở điều kiện áp suất cao và nhiệt độ cao, với sự có mặt của các chất xúc tác dị thể như platinum, nickel. cyclohexane.
c. Phản ứng oxi hóa
* Phản ứng oxi hóa hoàn toàn (phản ứng cháy)
Các arene như benzene, toluene, xylene dễ cháy và tỏa nhiều nhiệt.
C6H5CH3 + 9O2 → 7CO2 + 4H2O (điều kiện t0)
* Phản ứng oxi hoá nhóm alkyl
Toluene và các alkylbenzene khác có thể bị oxi hoá bởi các tác nhân oxi hoá như dụng dịch KMnO4.
5. Ứng dụng

6. Điều chế
Trong công nghiệp, benzene, toluene được điều chế từ quá trình refoming phân đoạn dầu mỏ chứa các alkane và cydoalkane C6 – C8.
Ethylbenzene được điều chế từ phản ứng giữa benzene và ethylene với xúc tác acid rắn là zeolite.
Sơ đồ tư duy Arene (Hydrocarbon thơm)

Xem thêm các bài giải SGK Hóa lớp 11 Kết nối tri thức hay, chi tiết khác:
Bài 16: Hydrocarbon không no
Bài 17: Arene (Hydrocarbon thơm)
Bài 18: Ôn tập chương 4
Bài 19: Dẫn xuất halogen
Bài 20: Alcohol