Skip to content

Học tập lớp 12

  • Trắc nghiệm Holland
  • Tính điểm xét tuyển
  • Danh sách trường Đại học
  • Kết quả bài thi

Học tập lớp 12

  • Home » 
  • Hóa học Lớp 11

Giải SBT Hóa 11 Bài 4 (Kết nối tri thức): Nitrogen

By Admin Lop12.com 23/02/2026 0

Giải SBT Hóa học 11 Bài 4: Nitrogen

Giải SBT Hóa học 11 trang 12

Bài 4.1 trang 12 Sách bài tập Hóa học 11: Khí nào phổ biến nhất trong khí quyển Trái Đất?

A. Oxygen.

B. Nitrogen.

C. Ozone.

D. Argon.

Lời giải:

Đáp án đúng là: B

Khí phổ biến nhất trong khí quyển Trái Đất là khí nitrogen (chiếm 78%).

Bài 4.2 trang 12 Sách bài tập Hóa học 11: Công thức hoá học của diêm tiêu Chile là

A. Ca(NO3)2.

B. NH4NO3.

C. NH4Cl.

D. NaNO3.

Lời giải:

Đáp án đúng là: D

Công thức hoá học của diêm tiêu Chile là NaNO3.

Bài 4.3 trang 12 Sách bài tập Hóa học 11: Vị trí (chu kì, nhóm) của nguyên tố nitrogen trong bảng tuần hoàn là

A. chu kì 2, nhóm VA.

B. chu kì 3, nhóm VA.

C. chu kì 2, nhóm VIA.

D. chu kì 3, nhóm IVA.

Lời giải:

Đáp án đúng là: A

Vị trí (chu kì, nhóm) của nguyên tố nitrogen trong bảng tuần hoàn là chu kì 2, nhóm VA

Bài 4.4 trang 12 Sách bài tập Hóa học 11: Trong tự nhiên, nguyên tố nitrogen tồn tại trong hợp chất hữu cơ nào sau đây?

A. Tinh bột.

B. Cellulose.

C. Protein.

D. Glucose.

Lời giải:

Đáp án đúng là: C

Trong tự nhiên, nguyên tố nitrogen tồn tại trong hợp chất hữu cơ là protein.

Bài 4.5 trang 12 Sách bài tập Hóa học 11: Số oxi hoá thấp nhất và cao nhất của nguyên tử nitrogen lần lượt là

A. 0 và +5.

B. -3 và 0.

C. -3 và +5.

D. -2 và +4.

Lời giải:

Đáp án đúng là: C

Số oxi hoá thấp nhất và cao nhất của nguyên tử nitrogen lần lượt là -3 và +5.

Bài 4.6 trang 12 Sách bài tập Hóa học 11: Trong tự nhiên, nguyên tố nitrogen tồn tại chủ yếu ở dạng đồng vị nào sau đây?

A. 14N

B. 13N

C. 15N.

D. 12N.

Lời giải:

Đáp án đúng là: A

Trong tự nhiên, nguyên tố nitrogen tồn tại chủ yếu ở dạng đồng vị 14 N.

Bài 4.7 trang 12 Sách bài tập Hóa học 11: Trong phản ứng tổng hợp ammonia từ nitrogen và hydrogen, nitrogen đóng vai trò là

A. chất khử.

B. chất oxi hoá.

C. acid.

D. base.

Lời giải:

Đáp án đúng là: B

Trong phản ứng tổng hợp ammonia từ nitrogen và hydrogen, nitrogen đóng vai trò là chất oxi hóa (số oxi hóa giảm từ 0 → -3)

N02+3H2⇌xtt∘,p2N−3H3

Bài 4.8 trang 12 Sách bài tập Hóa học 11: Trong những cơn mưa dông kèm sấm sét, nitrogen kết hợp trực tiếp với oxygen tạo thành sản phẩm là

A. NO.

B. N2O.

C. NH3.

D. NO2.

Lời giải:

Đáp án đúng là: A

Trong những cơn mưa dông kèm sấm sét, nitrogen kết hợp trực tiếp với oxygen tạo thành sản phẩm là NO.

N2+O2⇌hν2NO

Bài 4.9 trang 12 Sách bài tập Hóa học 11: Trong phản ứng hoá hợp với oxygen, nitrogen đóng vai trò là

A. chất oxi hoá.

B. base.

C. chất khử.

D. acid.

Lời giải:

Đáp án đúng là: C

Trong phản ứng hoá hợp với oxygen, nitrogen đóng vai trò là chất khử (vì số oxi hóa tăng từ 0 → +2.

N02+O2⇌hν2N+2O

Bài 4.10 trang 12 Sách bài tập Hóa học 11: Trong tự nhiên, phản ứng giữa nitrogen và oxygen (trong con mưa dông kèm sấm sét) là khởi đầu cho quá trình tạo và cung cấp loại phân bón nào cho cây?

A. Phân kali.

B. Phân đạm ammonium

C. Phân lân.

D. Phân đạm nitrate.

Lời giải:

Đáp án đúng là: D

Trong tự nhiên, phản ứng giữa nitrogen và oxygen (trong con mưa dông kèm sấm sét) là khởi đầu cho quá trình tạo và cung cấp loại phân đạm nitrate cho cây.

Quá trình tạo và cung cấp đạm nitrate cho đất từ nước mưa được biểu diễn theo sơ đồ:

N2→+O2NO→+O2NO2→+O2+H2OHNO3→H++NO3−

Bài 4.11 trang 12 Sách bài tập Hóa học 11: Áp suất riêng phần của khí nitrogen trong khí quyển là

A. 0,21 bar.

B. 0,01 bar.

C. 0,78 bar.

D. 0,28 bar.

Lời giải:

Đáp án đúng là: C

Do N­2 chiếm 78% trong khí quyển và áp suất khí quyển được quy định là 1 bar nên áp suất riêng phần của khí nitrogen trong khí quyển là 0,78 bar.

Bài 4.12 trang 12 Sách bài tập Hóa học 11: Trong tự nhiên, nguyên tố nitrogen có hai đồng vị bền là 14N (99,63%)  và 15N (0,37%). Nguyên tứ khối trung bình của nitrogen là

A. 14,000.

B. 14,004.

C. 14,037.

D. 14,063.

Lời giải:

Đáp án đúng là: B

Nguyên tứ khối trung bình của nitrogen là

14.99,63+15.0,37100=14,0037≈14,004

Bài 4.13 trang 12 Sách bài tập Hóa học 11: Số liên kết sigma (σ) và số liên kết pi (π) trong phân tử nitrogen lần lượt là

A. 2 và 1.

B. 0 và 3.

C. 3 và 0.

D. 1 và 2.

Lời giải:

Đáp án đúng là: D

Phân tử nitrogen có liên kết 3 (N ≡ N), gồm 1 liên kết σ bền và 2 liên kết π kém bền.

Bài 4.14 trang 12 Sách bài tập Hóa học 11: Bậc liên kết và năng lượng liên kết trong phân tử nitrogen tương ứng là

A. 2 và 418 kJ/mol.

B. 1 và 167 kJ/mol.

C. 1 và 386 kJ/mol.

D. 3 và 945 kJ/mol.

Lời giải:

Đáp án đúng là: D

Bậc liên kết và năng lượng liên kết trong phân tử nitrogen tương ứng là 3 và 945 kJ/mol.

Bài 4.15 trang 12 Sách bài tập Hóa học 11: Nitrogen thể hiện tính khử trong phản ứng nào sau đây?

A. N2+O2⇌t∘2NO.

B. N2+3H2⇌xtt∘,p2NH3.

C. 3Ca+N2→t∘Ca3 N2.

D. 3Mg+N2→t∘Mg3 N2.

Lời giải:

Đáp án đúng là: A

Nitrogen thể hiện tính khử trong phản ứng N2+O2⇌t∘2NOvì số oxi hóa của N tăng từ 0 → +2.

Bài 4.16 trang 12 Sách bài tập Hóa học 11: Nhận định nào sau đây về phân tử nitrogen là đúng?

A. Có ba liên kết đơn bền vững.

B. Chứa nguyên tử nitrogen có số oxi hoá là -3.

C. Có liên kết cộng hoá trị có cực.

D. Thể hiện cả tính oxi hoá và tính khử.

Lời giải:

Đáp án đúng là: D

Nhận định đúng về phân tử nitrogen là: “Thể hiện cả tính oxi hoá và tính khử” vì phân tử nitrogen có số oxi hóa là 0, nên có thể cho electron (lên số oxi hóa +3, +5) hoặc nhận electron (giảm về số oxi hóa -3).

Bài 4.17 trang 12 Sách bài tập Hóa học 11: Nhận định nào sau đây về đơn chất nitrogen là sai?

A. Không màu và nhẹ hơn không khí.

B. Hoá hợp với oxygen ở nhiệt độ cao hoặc tia lửa điện.

C. Thể hiện tính oxi hoá mạnh ở điều kiện thường.

D. Khó hoá lỏng và ít tan trong nước.

Lời giải:

Đáp án đúng là: C

Nhận định sai về đơn chất nitrogen là thể hiện tính oxi hoá mạnh ở điều kiện thường.

Liên kết ba giữa hai nguyên tử N trong phân tử nitrogen có năng lượng liên kết rất lớn (946 kJ mol-1) nên rất khó bị phá vỡ. Vì vậy, ở nhiệt độ và áp suất thường nitrogen rất khó tham gia các phản ứng hóa học.

Bài 4.18 trang 12 Sách bài tập Hóa học 11: Trong nghiên cứu, khí nitrogen thường được dùng để tạo bầu khí quyển trơ dựa trên cơ sở nào?

A. Nitrogen có tính oxi hoá mạnh.

B. Nitrogen rất bền với nhiệt.

C. Nitrogen khó hoá lỏng.

D. Nitrogen không có cực.

Lời giải:

Đáp án đúng là: B

Trong nghiên cứu, khí nitrogen thường được dùng để tạo bầu khí quyển trơ dựa trên cơ sở là nitrogen rất bền với nhiệt do năng lượng liên kết trong phân tử liên kết 3 khá lớn (946 kJ/mol).

Bài 4.19 trang 12 Sách bài tập Hóa học 11: Cho sơ đồ chuyển hoá nitrogen trong khí quyển thành phân đạm:

Cho sơ đồ chuyển hoá nitrogen trong khí quyển thành phân đạm

Số phản ứng thuộc loại oxi hoá-khử trong sơ đồ là

A. 3.

B. 1.

C. 4.

D. 2.

Lời giải:

Đáp án đúng là: A

Gồm các phản ứng sau:  N2+O2⇌t∘2NO

2NO+O2→2NO2

4NO2+O2+2H2O→4HNO3

Bài 4.20 trang 12 Sách bài tập Hóa học 11: Tính phân tử khối trung bình của không khí, giả thiết thành phần không khí: 78% nitrogen, 21% oxygen và 1% argon.

Lời giải:

Phân tử khối trung bình của không khí là.

Mkk¯=28,014.0,78+31,998.0,21+39,948.0,01=28,970

Hoặc Mkk¯=28,014.78+31,998.21+39,948.1100=28,970

Giá trị phân tử khối trung bình của không khí thường lấy bằng 29.

Bài 4.21 trang 12 Sách bài tập Hóa học 11: Tính khối lượng riêng (g / L) của không khí ở điều kiện chuẩn, giả thiết thành phần không khí: 78% nitrogen, 21% oxygen và 1% argon.

Lời giải:

Ở bài trên ta tính được phân tử khối trung bình của không khí là Mkk¯=28,970.

Ở điều kiện chuẩn, 1 mol không khí nặng 28,97 g và chiếm thể tích 24,79 L.

D=mV=28,97024,79=1,169 (g/L)

Bài 4.22 trang 12 Sách bài tập Hóa học 11: Trong công nghiệp, ammonia được sản xuất theo phản ứng pha khí:

   N2 g+3H2 g⇌to,xt2NH3 g     ΔrH∘

Cho biết các giá trị năng lượng liên kết : EbkJ⋅mol−1

Liên kết

N≡N H−H N−H

Eb

945

436

386

a) Tính nhiệt phản ứng ΔrH∘ của phản ứng ở điều kiện chuẩn, nhận xét về dấu và độ lớn của giá trị tìm được.

b) Tính nhiệt tạo thành ΔfH0 kJ⋅mol−1 của NH3 (k).

Lời giải:

a) ΔHro=942.1+432.3−386.6=−78 (kJ)

b) Nhiệt tạo thành của NH3(g) là biến thiên enthalpy của phản ứng:

12N2(g)+32H2(g)→NH3(g)   ΔfHo

   ΔfHo=ΔrHo2=−782=−39 (kJ/mol)         

Bài 4.23 trang 12 Sách bài tập Hóa học 11: Hỗn hợp X gồm N2 và H2 có ti lệ mol tương ứng là 1:3. Nung nóng X trong bình kín (450oC, xúc tác Fe) một thời gian, thu được hỗn hợp khí có số mol giảm 5% so với ban đầu. Tính hiệu suất của phản ứng tồng hợp NH3.

Lời giải:

Giả thiết số mol ban đầu: N2 = 1 mol, H2 = 3 mol.

 Tổng số mol khí ban đầu là 4 mol

                            N2(g)+3H2(g)⇌2NH3(g)

Ban đầu:               1           3                                  (mol)

Phản ứng:             x           3x            2x               (mol)

Cân bằng:             1-x      3-3x          2x               (mol)

Tổng số mol khí sau phản ứng là 1 – x + 3 – 3x + 2x = 4 – 2x

Số mol khí giảm so với ban đầu là 2x

Ta có: 2x=4.5100=0,2⇒x=0,1⇒H=0,11.100%=10%

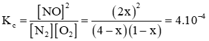
Bài 4.24 trang 12 Sách bài tập Hóa học 11: Cho cân bằng ở 1650oC:

N2 g+O2 g⇌2NOg KC=4⋅10−4

Thực hiện phản ứng trên với một hỗn hợp nitrogen và oxygen có tỉ lệ mol tương ứng là 4 : 1. Tính hiệu suất của phản ứng khi hệ cân bằng ở 1650oC.

Lời giải:

Giả sử số mol ban đầu: N2=4 mol, O2=1 mol.

 N2(g)       +        O2(g)       ⇌        2NO(g)

Ban đầu:               4                  1                                    (mol)

Cân bằng:             4 – x            1 – x            2x               (mol)

Cho cân bằng ở 1650oC

⇒x=0,02⇒H=0,021.100%=2%.

Bài 4.25 trang 12 Sách bài tập Hóa học 11: Sau mỗi chu trình tổng hợp ammonia đều thực hiện tách ammonia khỏi hỗn hợp khí gồm: nitrogen, hydrogen và ammonia. Sau đó, nitrogen và hydrogen lại được dẫn về thực hiện vòng tuần hoàn mới.

Cho biết nhiệt độ sôi nitrogen, hydrogen và ammonia lần lượt là -196oC, -253 oC  và -33oC.

Đề xuất phương pháp vật lí tách ammonia khơi hỗn hợp đó.

Lời giải:

Từ dữ kiện về nhiệt độ sôi cho thấy ammonia lỏng có nhiệt độ sôi cao nhất, ngược lại khí ammonia sẽ dễ bị hóa lỏng nhất.

Như vậy, nếu giảm nhiệt độ hỗn hợp xuống thấp hơn -33oC vài độ, ví dụ ở -40oC thì toàn bộ khí ammonia sẽ hóa lỏng và được tách ra. Trong khi đó, ở -40oC thì nitrogen và hydrogen vẫn ở trạng thái khí được dẫn về thực hiện vòng tuần hoàn mới.

Xem thêm các bài giải SBT Hóa học lớp 11 Kết nối tri thức hay, chi tiết khác:

Bài 3: Ôn tập chương 1

Bài 4: Nitrogen

Bài 5: Ammonia. Muối ammonium

Bài 6: Một số hợp chất của nitrogen với oxygen

Bài 7: Sulfur và sulfur dioxide

Bài 8: Sulfuric acid và muối sulfate

Lý thuyết Nitrogen

1. Trạng thái tự nhiên

Trong khí quyển Trái Đất, nitrogen là nguyên tố phổ biến nhất, chiếm 75,5% khối lượng (hoặc 78,1% thể tích ) và tập trung chủ yếu ở tầng đối lưu và trong vỏ Trái Đất thì nó tồn tại tập trung ở một số mỏ khoáng dưới dạng sodium nitrate.

Nguyên tố nitrogen có trong tất cả cơ thể động vật và thực vật và trong cả cơ thể người.

Nguyên tố nitrogen tồn tại trong tự nhiên với hai đồng vị bền là 14N (99,63%) và 15N (0.37%).

2. Cấu tạo nguyên tử, phân tử 

a. Cấu tạo nguyên tử 

Nguyên tố nitrogen ở ô số 7, nhóm VA, chu kì 2 trong bảng tuần hoàn. Nguyên tử nitrogen có độ âm điện lớn (3,04). Nitrogen là phi kim điển hình. 

b. Cấu tạo phân tử 

Phân tử nitrogen gồm hai nguyên tử, liên kết với nhau bằng liên kết ba (1 liên kết Ϭ và 2 liên kết π). Phân tử nitrogen có năng lượng liên kết lớn (945 kJ/mol) và không có cực.

3. Tính chất vật lí 

Ở điều kiện thường, nitrogen là chất khí, không màu, không mùi, không vị, khó hoá lỏng (hoá lỏng ở –196 °C), tan rất ít trong nước (1 lít nước hoà tan được 0,012 lit khí nitrogen). Khi nitrogen không duy trì sự chảy và sự hô hấp.

4. Tính chất hoá học 

Nitrogen khá trơ ở nhiệt độ thường, ở nhiệt độ cao, nitrogen trở nên hoạt động hơn. Nitrogen thể hiện cả tính oxi hoá và tính khử.

a. Tác dụng với hydrogen 

Quy trì Ở nhiệt độ cao, áp suất cao và có xúc tác, nitrogen hóa hợp trực tiếp với hydrogen, tạo thành ammonia. 

Phản ứng tổng hợp ammonia là quá trình trung gian quan trọng để sản xuất nitric acid, thuốc nổ, đạm nitrate, urea, ammophos…. 

b. Tác dụng với oxygen

Ở nhiệt độ cao trên 3000°C hoặc có tia lửa điện, nitrogen kết hợp với oxygen, tạo ra nitrogen monoxide (NO) 

N2(g) + O2(g) ⇌ 2NO(g) (điều kiện nhiệt độ)

Trong thực tế, phản ứng hoá hợp giữa nitrogen với oxygen thường xảy ra đồng thời với quá trình đốt cháy nhiên liệu ở nhiệt độ cao bằng không khi. Các hoạt động giao thông vận tải và sản xuất công nghiệp là nguyên nhân chính gây phát thải các oxide của nitrogen vào khí quyển. 

5. Ứng dụng

– Tác nhân làm lạnh.

– Tổng hợp ammoniac.

– Tạo khí quyển trơ.

– Bảo quản thực phẩm.

Tags : Tags Giải SBT Hóa học 11
Share
facebookShare on Facebook

Bài liên quan

Giải SGK Hóa học 11 Bài 15 (Kết nối tri thức): Alkane

Giải SBT Hóa 11 Bài 7 (Kết nối tri thức): Sulfur và sulfur dioxide

Giải SBT Hóa 11 Bài 23 (Kết nối tri thức): Hợp chất carbonyl

15 câu Trắc nghiệm Cân bằng trong dung dịch nước (Kết nối tri thức 2025) có đáp án – Hóa học lớp 11

15 câu Trắc nghiệm Ôn tập chương 4 (Kết nối tri thức 2025) có đáp án – Hóa học lớp 11

Giải SGK Hóa học 11 Bài 16 (Kết nối tri thức): Hydrocarbon không no

Giải SBT Hóa 11 Bài 8 (Kết nối tri thức): Sulfuric acid và muối sulfate

Giải SBT Hóa 11 Bài 24 (Kết nối tri thức): Carboxylic acid

0 Góp ý
Phản hồi nội tuyến
Xem tất cả bình luận

Mục lục

  1. Giải SGK Hóa học 11 Bài 1 (Kết nối tri thức): Khái niệm về cân bằng hoá học
  2. Giải SGK Hóa học 11 Bài 2 (Kết nối tri thức): Cân bằng trong dung dịch nước
  3. Giải SGK Hóa học 11 Bài 3 (Kết nối tri thức): Ôn tập chương 1
  4. Giải SGK Hóa học 11 Bài 4 (Kết nối tri thức): Nitrogen
  5. Giải SGK Hóa học 11 Bài 5 (Kết nối tri thức): Ammonia. Muối ammonium
  6. Giải SGK Hóa học 11 Bài 6 (Kết nối tri thức): Một số hợp chất của nitrogen với oxygen
  7. Giải SGK Hóa học 11 Bài 7 (Kết nối tri thức): Sulfur và sulfur dioxide
  8. Giải SGK Hóa học 11 Bài 8 (Kết nối tri thức): Sulfuric acid và muối sulfate
  9. Giải SGK Hóa học 11 Bài 9 (Kết nối tri thức): Ôn tập chương 2
  10. Giải SGK Hóa học 11 Bài 10 (Kết nối tri thức): Hợp chất hữu cơ và hoá học hữu cơ
  11. Giải SGK Hóa học 11 Bài 11 (Kết nối tri thức): Phương pháp tách biệt và tinh chế hợp chất hữu cơ
  12. Giải SGK Hóa học 11 Bài 12 (Kết nối tri thức): Công thức phân tử hợp chất hữu cơ
  13. Giải SGK Hóa học 11 Bài 13 (Kết nối tri thức): Cấu tạo hoá học hợp chất hữu cơ
  14. Giải SGK Hóa học 11 Bài 14 (Kết nối tri thức): Ôn tập chương 3
  15. Giải SGK Hóa học 11 Bài 15 (Kết nối tri thức): Alkane
  16. Giải SGK Hóa học 11 Bài 16 (Kết nối tri thức): Hydrocarbon không no
  17. Giải SGK Hóa học 11 Bài 17 (Kết nối tri thức): Arene (Hydrocarbon thơm)
  18. Giải SGK Hóa học 11 Bài 18 (Kết nối tri thức): Ôn tập chương 4
  19. Giải SGK Hóa học 11 Bài 19 (Kết nối tri thức): Dẫn xuất halogen
  20. Giải SGK Hóa học 11 Bài 20 (Kết nối tri thức): Alcohol

Copyright © 2026 Học tập lớp 12 - Sách Toán - Học Tập AI
  • Sitemap
  • Chính sách
  • Giới thiệu
  • Hướng dẫn
  • Kết quả
  • Liên hệ
Back to Top
Menu
  • Sitemap
  • Chính sách
  • Giới thiệu
  • Hướng dẫn
  • Kết quả
  • Liên hệ
wpDiscuz