Giải SBT Hóa học 11 Bài 21: Phenol
Giải SBT Hóa học 11 trang 74
Bài 21.1 trang 74 Sách bài tập Hóa học 11: Phenol là hợp chất hữu cơ, trong phân tử có
A. nhóm -OH và vòng benzene.
B. nhóm -OH liên kết trực tiếp với nguyên tử carbon của vòng benzene.
C. nhóm -OH liên kết trực tiếp với nguyên tử carbon no.
D. nhóm -OH liên kết trực tiếp với nguyên tử carbon no và có chứa vòng benzene.
Lời giải:
Đáp án đúng là: B
Phenol là hợp chất hữu cơ, trong phân tử có nhóm -OH liên kết trực tiếp với nguyên tử carbon của vòng benzene.
Bài 21.2 trang 74 Sách bài tập Hóa học 11: Cho các phát biểu sau về phenol:
(1) Phenol tan một phần trong nước ở điều kiện thường.
(2) Phenol tan vô hạn trong nước ở điều kiện thường.
(3) Phenol tan tốt trong nước khi đun nóng.
(4) Nhiệt độ nóng chảy của phenol cao hơn ethanol.
(5) Phenol có tính độc và có thể gây bỏng khi tiếp xúc với da nên cần phải cẩn thận khi sử dụng.
Số phát biểu đúng là
A. 2.
B. 3.
C. 4 .
D. 5 .
Lời giải:
Đáp án đúng là: C
Các phát biểu đúng là
(1) Phenol tan một phần trong nước ở điều kiện thường.
(3) Phenol tan tốt trong nước khi đun nóng.
(4) Nhiệt độ nóng chảy của phenol cao hơn ethanol.
(5) Phenol có tính độc và có thể gây bỏng khi tiếp xúc với da nên cần phải cẩn thận khi sử dụng.
Bài 21.3 trang 74 Sách bài tập Hóa học 11: Hợp chất hữu cơ X có chứa vòng benzene, có công thức phân tử là C7H8O. Số đồng phân cấu tạo của X là
A. 2.
B. 3.
C. 4.
D. 5.
Lời giải:
Đáp án đúng là: D
Bài 21.4 trang 74 Sách bài tập Hóa học 11: Phenol là hợp chất hữu cơ có tính
A. acid yếu.
B. base yếu.
C. acid mạnh.
D. base mạnh.
Lời giải:
Đáp án đúng là: A
Phenol là hợp chất hữu cơ có tính acid yếu.
Giải SBT Hóa học 11 trang 75
Bài 21.5 trang 75 Sách bài tập Hóa học 11:Phản ứng với chất/dung dịch nào sau đây của phenol chứng minh phenol có tính acid?
A. Na.
B. Dung dich NaOH.
C. Dung dịch bromine.
D. HNO3 đặc/ H2SO4 đặc.
Lời giải:
Đáp án đúng là: B
Gốc –C6H5 làm tính acid của phenol mạnh hơn so với alcohol: phenol phản ứng được với NaOH còn alcohol không có phản ứng đó:
C6H5OH + NaOH → C6H5ONa + H2O.
Bài 21.6 trang 75 Sách bài tập Hóa học 11: Nguyên nhân phản ứng thế bromine vào vòng thơm của phenol xảy ra dễ dàng hơn so với benzene là do
A. phenol tan một phần trong nước.
B. phenol có tính acid yếu.
C. ảnh hưởng của nhóm -OH đến vòng benzene trong phân tử phenol.
D. ảnh hưởng của vòng benzene đến nhóm -OH trong phân tử phenol.
Lời giải:
Đáp án đúng là: C
Nguyên nhân phản ứng thế bromine vào vòng thơm của phenol xảy ra dễ dàng hơn so với benzene là do ảnh hưởng của nhóm -OH đến vòng benzene trong phân tử phenol.
Bài 21.7 trang 75 Sách bài tập Hóa học 11: Khi nhỏ từ từ dung dịch bromine vào ống nghiệm chứa dung dịch phenol, hiện tượng quan sát được trong ống nghiệm là
A. nước brom bị mất màu và xuất hiện kết tủa trắng.
B. dung dịch trong suốt.
C. xuất hiện kết tủa trắng.
D. không xảy ra hiện tượng gì.
Lời giải:
Đáp án đúng là: A
Phương trình phản ứng:
Bài 21.8 trang 75 Sách bài tập Hóa học 11: Trong công nghiệp, phenol được điều chế chủ yếu từ chất nào sau đây?
A. Benzene.
B. Cumene.
C. Chlorobenzene.
D. Than đá.
Lời giải:
Đáp án đúng là: B
Trong công nghiệp, phenol được điều chế chủ yếu từ cumene.
Bài 21.9 trang 75 Sách bài tập Hóa học 11: Cho hợp chất phenol có công thức cấu tạo sau:
Tên gọi của phenol đó là
A. 2-methylphenol.
B. 3-methylphenol.
C. 4-methylphenol.
D. hydroxytoluene.
Lời giải:
Đáp án đúng là: C
Tên gọi của phenol đó là 4-methylphenol.
Giải SBT Hóa học 11 trang 76
Bài 21.10 trang 76 Sách bài tập Hóa học 11: Phản ứng với chất/dung dịch nào sau đây chứng minh tính acid của phenol (C6H5OH) mạnh hơn ethanol?
A. Na.
B. Dung dịch NaOH.
C. Dung dịch bromine.
D. HNO3 đặc/ H2SO4 đặc.
Lời giải:
Đáp án đúng là: B
Phenol (C6H5OH) phản ứng với NaOH còn ethanol thì không.
C6H5OH + NaOH → C6H5ONa + H2O.
Bài 21.11 trang 76 Sách bài tập Hóa học 11: Phản ứng với chất/dung dịch nào sau đây chứng minh phenol (C6H5OH) có tính acid mạnh hơn nấc 2 của carbonic acid?
A. Na.
B. Dung dịch NaOH.
C. Dung dịch Na2CO3.
D. Dung dich Br2.
Lời giải:
Đáp án đúng là: C
Phương trình phản ứng:
C6H5ONa + CO2 + H2O → C6H5OH + NaHCO3.
Bài 21.12 trang 76 Sách bài tập Hóa học 11: Cho các chất có cùng công thức phân tử C7H8O sau:
Số chất vừa phản ứng được với Na, vừa phản ứng được với dung dịch NaOH là
A. 1.
B. 2.
C. 3.
D. 4.
Lời giải:
Đáp án đúng là: C
Chất vừa phản ứng được với Na, vừa phản ứng được với dung dịch NaOH là
Bài 21.13 trang 76 Sách bài tập Hóa học 11: Cho các phát biểu sau về phenol (C6H5OH):
a) Phenol là hợp chất hữu cơ trong phân tử có vòng benzene và nhóm -OH.
b) Do có nhóm -OH nên phenol tan vô hạn trong nước ở điều kiện thường tương tự ethanol.
c) Dung dịch phenol không làm đổi màu giấy quỳ tím, do đó phenol có tính acid yếu.
d) Phenol phản ứng được với dung dịch NaOH.
e) Phenol phản ứng được với Na2CO3 do có tính acid mạnh hơn nấc 2 của carbonic acid.
g) Phenol dễ tham gia phản ưng thế bromine và thế nitro hơn benzene do ảnh hưởng của nhóm -OH.
Các phát biểu đúng là
A. a, b, c, d.
B. a, c, d, g.
C. b, c, d, e.
D. c, d, e, g.
Lời giải:
Đáp án đúng là: D
(a) sai vì: Phenol là hợp chất hữu cơ, trong phân tử có nhóm -OH liên kết trực tiếp với nguyên tử carbon của vòng benzene.
(b) sai vì: Phenol tan ít trong nước ở điều kiện thường, tan vô hạn trong nước nóng.
Bài 21.14 trang 76 Sách bài tập Hóa học 11: Hãy xác định công thức cấu tạo của hợp chất hữu cơ X, biết X có công thức phân tử C7H8O, có chứa vòng benzene và phản ứng được với dung dịch NaOH.
Giải thích hiện tượng trong các thí nghiệm trên và viết các phương trình hoá học.
Lời giải:
X phản ứng được với dung dịch NaOH nên X thuộc loại hợp chất phenol. Các công thức cấu tạo thỏa mãn là:
Giải SBT Hóa học 11 trang 77
Bài 21.15 trang 77 Sách bài tập Hóa học 11: Picric acid (2,4,6-trinitrophenol) trước đây được sử dụng làm thuốc nổ. Để tồng hợp picric acid, người ta cho 47g phenol phản ứng với hỗn hợp HNO3 đặc/ H2SO4 đặc, dư. Tính khối lượng picric acid thu được, biết hiệu suất phản ứng là 65%.
Lời giải:
Số mol phenol:
Số mol picric acid tạo thành:
Khối lượng picric acid thu được:
Bài 21.16 trang 77 Sách bài tập Hóa học 11: Hợp chất hữu cơ X thuộc loại phenol, có công thức phân tử là C8H10O. Số đồng phân cấu tạo của X là bao nhiêu?
Lời giải:
Có 9 công thức cấu tạo thỏa mãn:
Bài 21.17 trang 77 Sách bài tập Hóa học 11: Trong phân tử phenol có sự ảnh hưởng qua lại giữa nhóm -OH và gốc –C6H5 : gốc –C6H5 làm tính acid của phenol mạnh hơn so với alcohol và nhóm -OH làm cho phản ứng thế nguyên tử hydrogen của vòng benzene dễ dàng hơn so với benzene. Hãy viết các phương trình phản ứng minh hoạ nhận định trên.
Lời giải:
– Gốc –C6H5 làm tính acid của phenol mạnh hơn so với alcohol: phenol phản ứng được với NaOH còn alcohol không có phản ứng đó:
C6H5OH + NaOH → C6H5ONa + H2O
– Nhóm -OH làm cho phản ứng thế nguyên tử hydrogen của vòng benzene dễ dàng hơn so với benzene: phenol phản ứng thế nguyên tử hydrogen trong vòng benzene với nước bromine ở điều kiện thường còn benzene thì không.
Bài 21.18 trang 77 Sách bài tập Hóa học 11: Thực hiện các thí nghiệm sau:
– Cho phenol vào ống nghię̂m, thêm nước và lắc đều ống nghiệm thấy dung dịch có màu trắng đục (Hình A ).
– Cho dung dịch NaOH vào ống nghiệm thấy dung dịch chuyển sang trong suốt (Hình B).
– Sục khí CO2 vào ống nghiệm thấy dung dịch chuyển màu trắng đụ̣c như ban đầu (Hình C).
Giải thích hiện tượng trong các thí nghiệm trên và viết các phương trình hoá học.
Lời giải:
– Khi cho phenol vào ống nghiệm A, do phenol tan kém trong nước nên dung dịch có màu trắng đục (dung dịch phenol bão hòa).
– Cho dung dịch NaOH vào ống nghiệm thấy dung dịch chuyển trong suốt do phản ứng của phenol với NaOH tạo muối tan:
C6H5OH + NaOH → C6H5ONa + H2O
– Khi sục khí CO2 vào ống nghiệm, CO2 phản ứng với phenolate tạo thành phenol:
C6H5ONa + CO2 + H2O → C6H5OH + NaHCO3.
Bài 21.19 trang 77 Sách bài tập Hóa học 11: Cho hợp chất hữu cơ có công thức cấu tạo sau:
Viết phương trình hoá học của phản ứng giữa hợp chất này với các chất sau:
a) Na.
b) Dung dịch NaOH;
c) Dung dịch Na2CO3;
d) Dung dịch bromine.
Lời giải:
Xem thêm các bài giải SBT Hóa học lớp 11 Kết nối tri thức hay, chi tiết khác:
Bài 20: Alcohol
Bài 21: Phenol
Bài 22: Ôn tập chương 5
Bài 23: Hợp chất carbonyl
Bài 24: Carboxylic acid
Bài 25: Ôn tập chương 6
Lý thuyết Phenol
1. Khái niệm
Phenol là những hợp chất hữu cơ trong phân tử có nhóm –OH liên kết trực tiếp với nguyên tử carbon của vòng benzene.
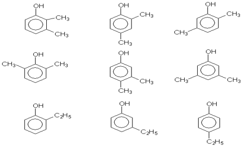
Hợp chất phenol đơn giản nhất có công thức là C6H5OH cũng có tên gọi riêng là phenol. Tên thông thường của một số phenol:

2. Đặc điểm cấu tạo của phenol

Trong phân tử phenol, do ảnh hưởng của vòng benzene nên liên kết C-H của phenol phân cực mạnh hơn so với alcohol, vì vậy phenol thể hiện tính acid yếu.
3. Tính chất vật lí
– Là chất có tính độc.
– Ở điều kiện thường, phenol là chất rắn không màu, nóng chảy ở 43°C, sôi ở 181,8oC.
– Ít tan trong nước ở điều kiện thường (độ tan trong nước ở 25°C: 8,42 g/100g nước), tan nhiều khi đun nóng (tan vô hạn ở 66°C); tan tốt trong các dung môi hữu cơ như ethanol, ether và acetone.
4. Tính chất hoá học
a. Phản ứng thế nguyên tử H của nhóm –OH (tính acid của phenol)
Trong dung dịch nước, phenol phân li theo cân bằng sau:
C6H5OH + H2O ⇌ C6H5O– + H3O+
Phenol là một acid yếu, dung dịch phenol không làm đổi màu quỳ tím và có thể phản ứng được với các kim loại kiềm, dung dịch base,…
b. Phản ứng thế ở vòng thơm
* Phản ứng bromine hóa:

Phenol phản ứng với nước bromine tạo sản phẩm thể 2,4,6-tribromophenol ở dạng kết tủa màu trắng. Do ảnh hưởng của nhóm –OH, phản ứng thể nguyên tử hydrogen ở vòng benzene của Br 2,4,6-tribromophenol (kết tủa trắng) phend xảy ra dễ dùng hơn so với benzene.
* Phản ứng nitro hóa:
Phenol phản ứng với dung dịch nitric acid đặc trong dung dịch sulfuric acid đặc tạo thành sản phẩm 2,4,6-trinitrophend (picric acid).

5. Ứng dụng
– Sản xuất mĩ phẩm.
– Sản xuất tơ sợi.
– Sản xuất chất dẻo.
– Sản xuất phẩm nhuộm.
– Sản xuất dược phẩm.
– Sản xuất thuốc sát trùng.
– Sản xuất thuốc diệt cỏ.
6. Điều chế
Phenol được tổng hợp từ cumene (isopropylbenzene) bằng phản ứng oxi hoá bởi oxygen rồi thuỷ phân trong môi trường acid thu được hai sản phẩm là phenol và acetone:
