Giải bài tập Toán 6 Bài tập ôn tập cuối năm
Video giải Toán 6 Bài tập ôn tập cuối năm – Kết nối tri thức
Số và đại số
Bài 1 trang 108 Toán lớp 6 Tập 2: Số tự nhiên n có sáu chữ số phân biệt, hai chữ số cạnh nhau luôn là hai số tự nhiên liên tiếp. Hãy tìm số n, biết rằng trong sáu chữ số của nó, chữ số 4 có giá trị bằng 4 000. Em tìm được mấy số như vậy?
Lời giải:
Vì chữ số 4 có giá trị bằng 4 000 nên chữ số 4 nằm ở hàng nghìn.
Gọi số tự nhiên có sáu chữ số phân biệt là

Vì chữ số hàng nghìn nên c = 4.
Hai chữ số cạnh nhau là hai số tự nhiên liên tiếp nên d = 3 hoặc d = 5
Ta có bảng các chữ số:
|
a |
b |
c |
d |
e |
f |
|
6 |
5 |
4 |
3 |
2 |
1 |
|
2 |
3 |
4 |
5 |
6 |
7 |
Vậy ta có hai số thỏa mãn bài toán là 654 321; 234 567.
Bài 2 trang 108 Toán lớp 6 Tập 2: Hai bạn An và Bình mua một số sách. Khi trả tiền, Bình nhận thấy An đưa cho người bán hàng 2 tờ 100 nghìn đồng, 4 tờ 10 nghìn đồng và 6 tờ 1 nghìn đồng. Hãy biểu diễn số tiền sách (đơn vị nghìn đồng) mà An đã trả dưới dạng tổng giá trị các chữ số của nó rồi so sánh với số tờ các loại tiền mà An dùng để trả và nêu nhận xét.
Lời giải:
Biểu diễn số tiền sách dưới dạng tổng các giá trị các chữ số của nó là :
2. 100 000 + 4. 10 000 + 6. 1 000 = 246 000 (đồng)
Số tờ các loại tiền mà An dùng là:
2 + 4 + 6 = 10 (tờ)
Nhận xét: Tổng số tờ tiền và tổng giá trị của số tờ tiền khác nhau.
Bài 3 trang 108 Toán lớp 6 Tập 2: Tính giá trị của các biểu thức sau rồi phân tích kết quả ra thừa số nguyên tố:
a) 160 – (23 . 52 – 6 . 25);
b) 37.3 + 225: 152;
c) 5 871 : 103 – 64: 25;
d) (1 + 2 + 3 + 4 + 5 + 6 + 7 + 8).52 – 850: 2.
Lời giải:
a) 160 – (23 . 52 – 6 . 25)
= 160 – (8. 25 – 6. 25)
= 160 – [25. (8 – 6)]
= 160 – 25. 2
= 160 – 50
= 110.
+) Phân tích 110 ra thừa số nguyên tố:

Vậy 110 = 2. 5. 11
b) 37.3 + 225: 152
= 37. 3 + 225: 225
= 111 + 1
= 112.
+) Phân tích 112 ra thừa số nguyên tố:

Vậy 112=24.7
c) 5 871 : 103 – 64: 25
= 5 871: 103 – 64: 32
= 57 – 2
= 55.
+) Phân tích 55 ra thừa số nguyên tố:

Vậy 55 = 5. 11
d) (1 + 2 + 3 + 4 + 5 + 6 + 7 + 8).52 – 850: 2
= [(2 + 8) + (3 + 7) + (4 + 6) + (1 + 5)]. 25 – 425
= (10 + 10 + 10 + 6). 25 – 425
= (3. 10 + 6). 25 – 425
= (30 + 6). 25 – 425
= 36. 25 – 425
= 900 – 425
= 475.
+) Phân tích 475 ra thừa số nguyên tố:

Vậy 475=52.19
Bài 4 trang 108 Toán lớp 6 Tập 2: Một phân xưởng có 30 công nhân. Dự kiến mỗi giờ mỗi công nhân làm được 100 sản phẩm. Khi đó phân xưởng sẽ hoàn thành một đơn hàng trong 24 giờ. Hãy viết biểu thức số biểu thị (không cần tính giá trị của biểu thức):
a) Tổng số sản phẩm mà phân xưởng phải hoàn thành theo đơn hàng;
b) Số sản phẩm mà mỗi công nhân phải làm để hoàn thành đơn hàng.
Lời giải:
a) Mỗi giờ phân xưởng làm được số sản phẩm là:
30. 100 (sản phẩm)
Tổng số sản phẩm mà phân xưởng phải hoàn thành theo đơn hàng là:
24. 30. 100 (sản phẩm)
b) Biểu thức số biểu thị số sản phẩm mà mỗi công nhân phải làm để hoàn thành đơn hàng là :
24 ,100 (sản phẩm)
Bài 5 trang 108 Toán lớp 6 Tập 2: Khoảng 3 000 người tham gia một lễ kỉ niệm. Nếu họ xếp hàng 7, hàng 8, hàng 9 hay hàng 10 thì đều còn dư ra 6 người. Hỏi chính xác có bao nhiêu người tham gia?
Lời giải:
Giả sử chính xác số người tham gia lễ kỉ niệm là n (
)
Vì nếu xếp hàng 7 còn dư 6 người nên n chia 7 dư 6 hay (n – 6) chia hết cho 7.
Vì nếu xếp hàng 8 còn dư 6 người nên n chia 8 dư 6 hay (n – 6) chia hết cho 8.
Vì nếu xếp hàng 9 còn dư 6 người nên n chia 9 dư 6 hay (n – 6) chia hết cho 9.
Vì nếu xếp hàng 10 còn dư 6 người nên n chia 10 dư 6 hay (n – 6) chia hết cho 10.
Do đó (n – 6) chia hết cho 7; 8; 9; 10.
Suy ra (n – 6) thuộc BC(7; 8; 9; 10)

Vậy chính xác có 2 526 người tham gia lễ kỉ niệm.
Bài 6 trang 108 Toán lớp 6 Tập 2: Tính giá trị của các biểu thức sau (tính hợp lí, nếu có thể):

Lời giải:


c) (13,6 – 37,8). ( – 3,2)
= – (37,8 – 13, 6). (-3,2)
= (-24,2). (-3,2)
= 24,2. 3,2
= 77,44
d) (- 25,4) . (18,5 + 43,6 – 16,8) : 12,7
= (-25,4). 45,3: 12, 7
= (- 1 150,62): 12,7
= – ( 1 150,62 : 12, 7)
= – 90,6
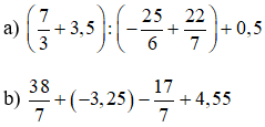
Bài 7 trang 108 Toán lớp 6 Tập 2: Tính giá trị của các biểu thức sau (tính hợp lí, nếu có thể):

Lời giải:

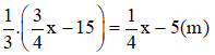
Bài 8 trang 108 Toán lớp 6 Tập 2: Tìm x, biết:

Lời giải:


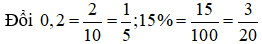
Bài 9 trang 109 Toán lớp 6 Tập 2: Bốn thửa ruộng thu hoạch được tất cả 10,5 tấn thóc. Số thóc thu hoạch ở ba thửa ruộng đầu lần lượt bằng 0,2; 15% và 2/7 tổng số thóc thu được ở cả bốn thửa ruộng.
Tính số thóc thu được ở thửa ruộng thứ tư.
Lời giải:

Số thóc thu được ở ba thửa ruộng đầu bằng:

Số thóc thu được ở thửa ruộng thứ tư bằng:

Số tấn thóc thu được ở thửa ruộng thứ tư là:

Vậy số thóc thu được ở ruộng thứ tư là 3,825 tấn.
Bài 10 trang 109 Toán lớp 6 Tập 2: Một người bán một tấm vải. Ngày thứ nhất, người đó bán được 25% tấm vải và 15 m; ngày thứ hai bán được 1/3 số vải còn lại sau ngày thứ nhất và còn lại 28 m. Hỏi tấm vải đó dài bao nhiêu mét?
Lời giải:

Gọi chiều dài tấm vải là x (mét, x > 0)
Ngày thứ nhất người đó bán được:

Số mét vải còn lại sau ngày thứ nhất là:

Ngày thứ nhất người đó bán được:

Số mét vải còn lại sau cả hai ngày bán là:

Theo giả thiết sau hai ngày bán còn 28m nên ta có:

Vậy tấm vải đó dài 76m.
Hình học và đo lường
Bài 11 trang 109 Toán lớp 6 Tập 2: Có tất cả bao nhiêu đường thẳng đi qua ít nhất 2 trong 5 điểm dưới đây? Em hãy kể tên các đường thẳng đó.

Lời giải:
Có 5 đường thẳng đó là: AB; CB; DB; EB; AE.

Bài 12 trang 109 Toán lớp 6 Tập 2: Một mảnh đất hình chữ nhật có kích thước 50 m x 30 m. Trên mảnh đất đó, người ta làm một lối đi xung quanh rộng 2 m, diện tích còn lại dùng để trồng rau. Hỏi diện tích trồng rau là bao nhiêu mét vuông?
Lời giải:
Lối đi xung quanh rộng 2m nên diện tích trồng rau là diện tích hình chữ nhật mà mỗi kích thước chiều dài và chiều rộng giảm 2 + 2 = 4 (m) so với hình chữ nhật ban đầu.

Chiều dài mảnh đất trồng rau là:
50 – 4 = 46 (m)
Chiều rộng mảnh đất trồng rau là:
30 – 4 = 26 (m)
Diện tích trồng rau là:
46. 26 = 1 196 (m2)
Vậy diện tích trồng rau là 1 196 m2
Bài 13 trang 109 Toán lớp 6 Tập 2: a) Em hãy vẽ một tam giác tuỳ ý rồi dùng thước đo góc để đo các góc của tam giác đó;
b) Tính tổng số đo của ba góc vừa đo và so sánh với kết quả của các bạn khác.
Lời giải:
a)

Sử dụng thước đo độ ta thấy: 
b) Tổng ba góc vừa đo được là: 800 +400 +600 = 1800
Khi so sánh với các bạn trong lớp thì ta đều có tổng ba góc là 1800

Thống kê và xác suất
Bài 14 trang 109 Toán lớp 6 Tập 2: Hai người cùng chơi một trò chơi như sau: mỗi người chơi lần lượt quay một tấm bìa có gắn một mũi tên ở tâm (như hình vẽ bên).
Lời giải:
Nếu mũi tên chỉ vào số chẵn thì người chơi đầu thắng, nếu mũi tên chỉ vào số lẻ thì người chơi sau thắng.
a) Em và bạn quay miếng bìa 20 lần. Ghi lại xem trong 20 lần chơi có bao nhiêu lần em thắng, bao nhiêu lần bạn em thắng;
b) Tính xác suất thực nghiệm của các sự kiện Em thắng, Bạn em thắng:
c) Vẽ biểu đỗ cột biểu diễn số lần thắng của mỗi người.

Lời giải.
a) Trong 20 lần chơi có 12 lần em thắng , bạn em thắng 8 lần ;
b) Xác suất thực nghiệm của sự kiện Em thắng là: 
Xác suất thực nghiệm của sự kiện Bạn em thắng là: 
c)

Xem thêm các bài giải SGK Toán lớp 6 Kết nối tri thức hay, chi tiết khác:
Bài tập ôn cuối chương 9
Kế hoạch chi tiêu cá nhân và gia đình
Hoạt động thể thao nào được yêu thích nhất trong hè
Vẽ hình đơn giản với phần mềm GeoGebra