Giải SBT Toán lớp 6 Ôn tập chương 2 trang 45, 46
Câu hỏi (Trắc Nghiệm)
Bài 1 trang 45 sách bài tập Toán lớp 6 Tập 1: Khẳng định nào trong các khẳng định sau là sai?
(A) Một số chia hết cho 9 thì luôn chia hết cho 3;
(B) Nếu hai số đều chia hết cho 9 thì tổng của hai số đó cũng chia hết cho 9;
(C) Nếu hai số đều không chia hết cho 9 thì tổng của hai số đó cũng không chia hết cho 9;
(D) Một số chẵn thì luôn chia hết cho 2.
Lời giải:
Xét đáp án C.
Ta lấy 1 ví dụ hai số đều không chia hết cho 9 là: 2 và 16
Nhưng tổng hai số là 2 + 16 = 18 chia hết cho 9.
Do đó khẳng định (C) là sai.
Bài 2 trang 45 sách bài tập Toán lớp 6 Tập 1: Số nào trong các số sau là số nguyên tố?
(A) 2 020; (B) 1 143; (C) 3 576; (D) 461.
Lời giải:

Cách 1: Tra bảng số nguyên tố nhỏ hơn 1000 ta thấy 461 là số nguyên tố.
Cách 2:
(A) Vì 2 020 có chữ số tận cùng là 0 nên 2020 ⁝ 2 do đó 2 020 là hợp số.
(B) Vì 1 143 có tổng các chữ số 1 + 1 + 4 + 3 = 9, vì 9 ⁝ 3 nên 1 143 là hợp số.
(C) Vì 3 576 có tổng các chữ số 3 + 5 + 7 + 6 = 21, vì 21 ⁝ 3 nên 3 576 là hợp số.
Bài 3 trang 45 sách bài tập Toán lớp 6 Tập 1: Số nào trong các số sau không là số nguyên tố?
(A) 17; (B) 97;
(C) 2 335; (D) 499.
Lời giải:
Vì 2 335 có chữ số tận cùng là 5 nên 2 335 chia hết cho 5. Nên ngoài hai ước là 1 và 2 335 còn có thêm ước là 5. Do đó 2 335 không là số nguyên tố.
Đáp án cần chọn là: C
Bài 4 trang 45 sách bài tập Toán lớp 6 Tập 1: Trong các số sau, số nào chia hết cho 9?
(A) 2 549; (B) 1 234;
(C) 7 895; (D) 9 459.
Lời giải:
(A). 2 549 có tổng các chữ số 2 + 5 + 4 + 9 = 20 ⋮̸ 9 nên 2 549 ⋮̸ 9
(B). 1 234 có tổng các chữ số 1 + 2 + 3 + 4 = 10 ⋮̸ 9 nên 1 234 ⋮̸ 9
(C). 7 895 có tổng các chữ số 7 + 8 + 9 + 5 = 29 ⋮̸ 9 nên 7 895 ⋮̸ 9
(D) 9 459 có tổng các chữ số 9 + 4 + 5 + 9 = 27 ⁝ 9 nên 9 459 ⁝ 9
Đáp án cần chọn là: D
Bài 5 trang 45 sách bài tập Toán lớp 6 Tập 1: Trong các số sau, số nào chia hết cho 9 nhưng không chia hết cho 5?
(A) 23 454; (B) 34 515;
(C) 54 321; (D) 93 240.
Lời giải:
Trong các số trên các số không chia hết cho 5 là: 23 454 và 54 321 vì không có chữ số tận cùng là 0 hoặc 5.
+) 23 454 có tổng các chữ số 2 + 3 + 4 + 5 + 4 = 18 ⁝ 9 nên 23 454 ⁝ 9
+) 54 321 có tổng các chữ số 5 + 4 + 3 + 2 + 1 = 15 ⋮̸ 9 nên 54 321 ⋮̸ 9
Đáp án cần chọn là: A
Bài 6 trang 45 sách bài tập Toán lớp 6 Tập 1: Trong các khẳng định sau, khẳng định nào sai?
(A) Ước chung của hai số tự nhiên a và b là ước của ước chung lớn nhất của chúng;
(B) Bội chung của hai số tự nhiên a và b là bội của bội chung nhỏ nhất của chúng;
(C) ƯCLN(a, b) là ước của BCNN(a, b);
(D) Nếu a không chia hết cho c và b không chia hết cho c thì BCNN(a; b) cũng không chia hết cho c.
Lời giải:
(D) Ta có: 5 không chia hết cho 10
4 không chia hết cho 10
BCNN(4; 5) = 20 nhưng lại chia hết cho 10. Do đó khẳng định D là sai.
Đáp án cần chọn là: D
- Bài tập
Bài 2.56 trang 45 sách bài tập Toán lớp 6 Tập 1: Các tổng sau là số nguyên tố hay hợp số?
a) 2. 7. 12 + 49. 53;
b) 3. 4. 5 + 2 020. 2 021. 2 022.
Lời giải:
a) Vì 7 ⁝ 7 nên (2. 7. 12) ⁝ 7
49 7 nên (49. 53) ⁝ 7
Do đó (2. 7. 12 + 49. 53) ⁝ 7 (áp dụng tính chất chia hết của một tổng)
Nên ngoài hai ước là 1 và chính nó, tổng trên còn có thêm ước là 7.
Vậy tổng trên là hợp số.
b) Vì 4 ⁝ 4 nên (3. 4. 5) ⁝ 4
2 020 ⁝ 4 nên (2 020. 2 021. 2 022) ⁝ 4
Do đó (3. 4. 5 + 2 020. 2 021. 2 022) ⁝ 4 (áp dụng tính chất chia hết của một tổng)
Nên ngoài hai ước là 1 và chính nó, tổng trên còn có thêm ước là 4.
Vậy tổng trên là hợp số.
Bài 2.57 trang 45 sách bài tập Toán lớp 6 Tập 1: Thực hiện phép tính rồi phân tích kết quả ra thừa số nguyên tố:
a) 122 : 6 + 2.7;
b) 5.42 – 36 : 32
Lời giải:
a) 122 : 6 + 2.7
= 144: 6 + 14
= 24 + 14
= 38

Vậy 38 = 2. 19
b) 5.42 – 36 : 32
= 5. 16 – 36: 9
= 80 – 4
= 76

Vậy 76 = 22.19
Bài 2.58 trang 45 sách bài tập Toán lớp 6 Tập 1: Số học sinh khối lớp 6 của một trường trong khoảng từ 200 đến 300 học sinh, khi xếp thành các hàng 10; 12 và 15 người đều thừa 5 em. Tính số học sinh khối lớp 6.
Lời giải:
Gọi x là số học sinh khối lớp 6 của trường (học sinh; x ∈ N, 200 ≤ x ≤ 300)
Khi xếp thành hàng 10 thừa 5 em thì x chia 10 dư 5 hay (x – 5) ⁝ 10
Khi xếp thành hàng 12 thừa 5 em thì x chia 12 dư 5 hay (x – 5) ⁝ 12
Khi xếp thành hàng 15 thừa 5 em thì x chia 15 dư 5 hay (x – 5) ⁝ 15
Do đó (x – 5) là bội chung của 10; 12 và 15
Ta có: 10 = 2. 5; 12 = 22.3; 15 = 3. 5
BCNN(10; 12; 15) = 22.3.5 = 60
Khi đó (x – 5) ∈ B(60) = {0; 60; 120; 180; 240; 300; 360;…}
Ta có bảng sau:
x – 5
0
60
120
240
300
360
x
5
65
125
245
305
365
Vì số học sinh trong trường khoảng từ 200 đến 300 học sinh nên 200 ≤ x ≤ 300.
Do đó x = 245
Vậy số học sinh trong trường là 245 em.
Bài 2.59 trang 46 sách bài tập Toán lớp 6 Tập 1: Cho A = 27 220 + 31 005 + 510. Không thực hiện phép tính, hãy xét xem A có:
a) chia hết cho 2 không?
b) chia hết cho 5 không?
c) Chia hết cho 3 không?
d) chia hết cho 9 không?
Lời giải:
a) Vì 27 220 ⁝ 2; 510 ⁝ 2 nhưng 31 005 ⋮̸ 2 nên tổng (27 220 + 31 005 + 510) ⋮̸ 2 (áp dụng tính chất chia hết của một tổng) hay A ⋮̸ 2
Vậy A không chia hết cho 2.
b) Vì 27 220 ⁝5; 31 005 ⁝ 5; 510 ⁝ 5 nên tổng (27 220 + 31 005 + 510) ⁝ 5 (áp dụng tính chất chia hết của một tổng) hay A ⁝ 5
Vậy A chia hết cho 5.
c) Vì 31 005 ⁝ 3; 510 ⁝ 3 nhưng 27 220 ⋮̸ 3 nên tổng (27 220 + 31 005 + 510) ⋮̸ 3 (áp dụng tính chất chia hết của một tổng) hay A ⋮̸ 3.
Vậy A không chia hết cho 3.
d) Vì A không chia hết cho 3 nên A cũng không chia hết cho 9.
Bài 2.60 trang 46 sách bài tập Toán lớp 6 Tập 1: Hai số có BCNN là 23.34.53 và ƯCLN là 32.5. Biết một trong hai số là 23.32.5, tìm số còn lại.
Lời giải:
Ta có tích của hai số cần tìm chính là tích của ƯCLN và BCNN của hai số đó.
Gọi hai số đó là a và b.
Ta có: a. b = ƯCLN(a, b). ƯCLN(a, b)
Mà ƯCLN(a, b) = 32.5; BCNN(a, b) = 23.34.53
Do đó: a. b = (32.5). (23.34.53) = 23.(32.34).(5.53) = 23.36.54
Biết một trong hai số là 23.32.5, ta giả sử a = 23.32.5
Khi đó: (23.32.5). b = 23.36.54
b = (23.36.54): (23.32.5)
b = (23 : 23).(36 : 32).(54 : 5)
b = 36-2.54-1
b = 34.53
Vậy số còn lại là 34.53.
Bài 2.61 trang 46 sách bài tập Toán lớp 6 Tập 1: Nếu ta nhân số 12 345 679 với một số a bất kì có một chữ số, rồi nhân kết quả đó với 9 thì ta được số có 9 chữ số, mỗi chữ số đều là a, chẳng hạn khi a = 3 thì
12 345 679. 3 = 37 037 037;
37 037 037. 9 = 333 333 333.
Em hãy giải thích tại sao.
Lời giải:
Ta nhân số 12 345 679 với một số a bất kì có một chữ số, rồi nhân kết quả đó với 9, ta được: 12 345 679. a. 9 = (12 345 679. 9). a
+) Ta có: 12 345 679. 9 = 12 345 679. (10 – 1) = 12 345 679. 10 – 12 345 679. 1
= 123 456 790 – 12 345 679 = 111 111 111
Do đó: 12 345 679. a. 9 = (12 345 679. 9). a = 111 111 111. a =
(do a có một chữ số)Bài 2.62 trang 46 sách bài tập Toán lớp 6 Tập 1: Tìm các số tự nhiên n sao cho 6 ⁝ (n+1).
Lời giải:
Vì nên (n + 1) ∈ Ư(6) = {1; 2; 3; 6}
Ta có bảng sau:
n + 1
1
2
3
6
n
0
1
2
5
Vì n là số tự nhiên nên n ∈ {0; 1; 2; 5}
Vậy n ∈ {0; 1; 2; 5}.
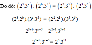
Bài 2.63 trang 46 sách bài tập Toán lớp 6 Tập 1: Biết hai số 23.3a và 2b.35 có ước chung lớn nhất là 22.35 và bội chung nhỏ nhất là 23.36. Hãy tìm giá trị của các số tự nhiên a và b.
Lời giải:
Gọi x = 23.3a và y = 2b.35
Ta có tích của hai số là tích của ƯCLN và BCNN của hai số đó.
Ta có: x. y = ƯCLN(x, y). BCNN(x, y)
Vì ước chung lớn nhất của hai số là và bội chung nhỏ nhất của hai số là 23.36.

Vì thế 3 + b = 5. Suy ra b = 5 – 3 = 2
a + 5 = 11. Suy ra a = 11 – 5 = 6
Vậy a = 6; b = 2.
Bài 2.64 trang 46 sách bài tập Toán lớp 6 Tập 1: Thực hiện các phép tính sau:

Lời giải:
a) Ta có 14 = 2. 7; 21 = 3. 7
BCNN(14, 21) = 2. 3. 7 = 42
Ta có thể chọn mẫu chung của hai phân số
là 42Khi đó:

b)
Ta có: 15 = 3. 5; 12 = 22.3
BCNN(15, 12) = 22.3.5 = 60
Ta có thể chọn mẫu chung của hai phân số
là 60Khi đó:






